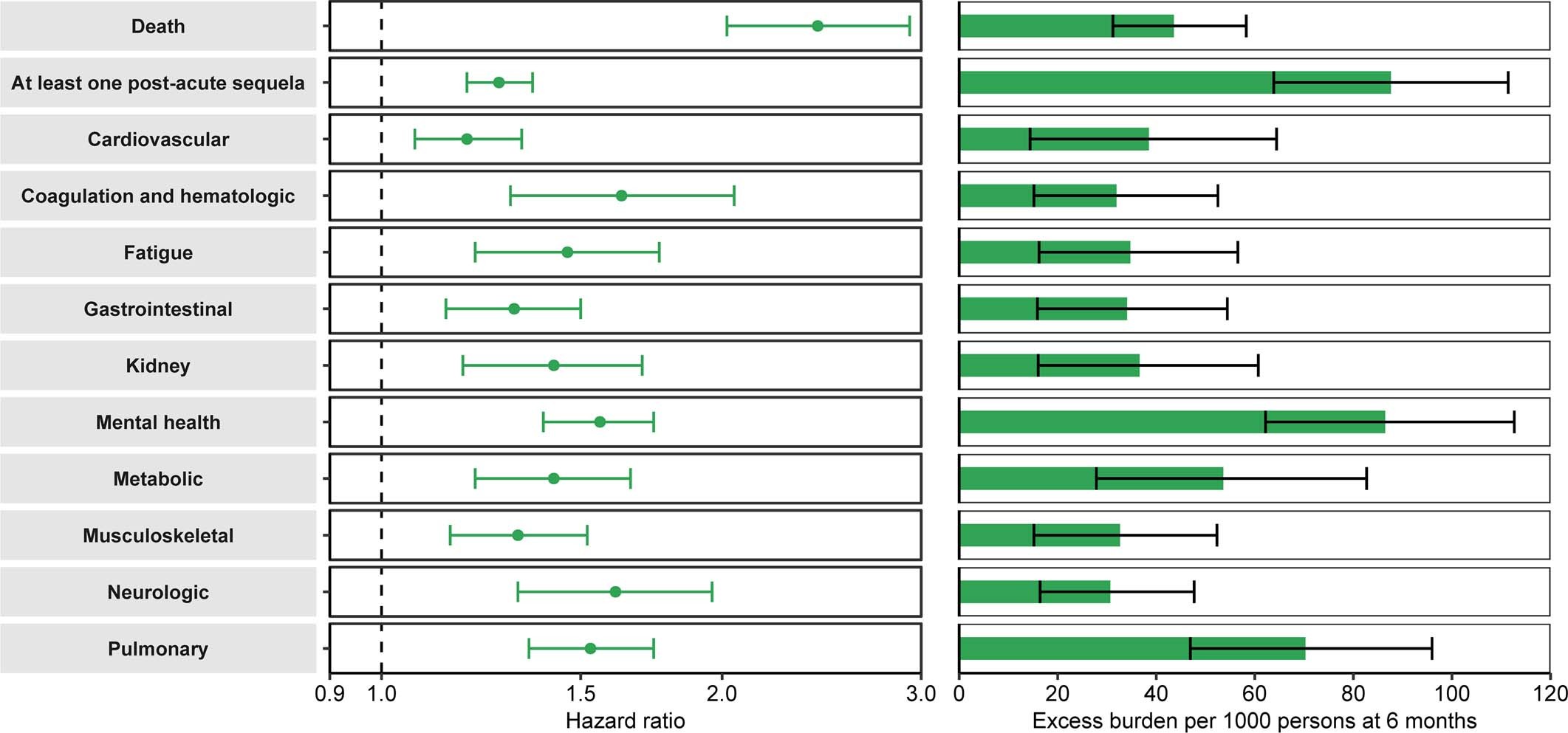
Extended Data Fig. 7: Risk and 6-month excess burden of post-acute sequelae in those hospitalized during the acute phase with breakthrough SARS-CoV-2 infection compared to seasonal influenza.

Risk and 6-month excess burden of death, at least one post-acute sequela, and post-acute sequelae by organ system are plotted. Incident outcomes were assessed from 30 days after the positive SARS-CoV-2 test to end of follow-up. Results are in comparison of those hospitalized with breakthrough SARS-CoV-2 infection (n = 3,667) to those who were hospitalized with seasonal influenza (n = 14,337). Adjusted hazard ratios (dots) and 95% confidence intervals (error bars) are presented, as are estimated excess burden (bars) and 95% confidence intervals (error bars). Burdens are presented per 1000 persons at 6 months of follow-up.