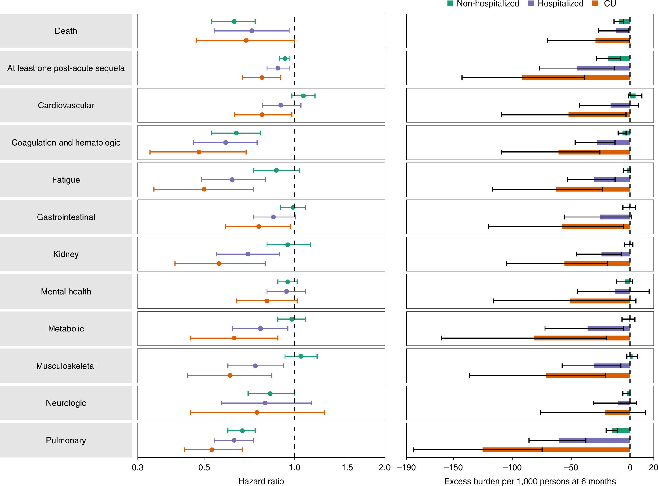
Fig. 4: Risk and 6-month excess burden of post-acute sequelae in those with BTI compared to those with SARS-CoV-2 infection without prior vaccination by acute phase care setting.

Risk and 6-month excess burden of death, at least one post-acute sequela and post-acute sequelae by organ system are plotted by care setting of the acute phase of the disease (not hospitalized, hospitalized and admitted to ICU). Incident outcomes were assessed from 30 days after the positive SARS-CoV-2 test to the end of follow-up. Results for a given care setting are in comparison of BTI (non-hospitalized n = 30,273; hospitalized n = 3,667; and admitted to ICU n = 811) to the SARS-CoV-2 infection without prior vaccination group (non-hospitalized n = 100,700; hospitalized n = 12,774; and admitted to ICU n = 2,982) with the same care setting during the acute phase of the disease. Adjusted HRs (dots) and 95% CIs (error bars) are presented, as are estimated excess burden (bars) and 95% CIs (error bars). Burdens are presented per 1,000 persons at 6 months of follow-up.