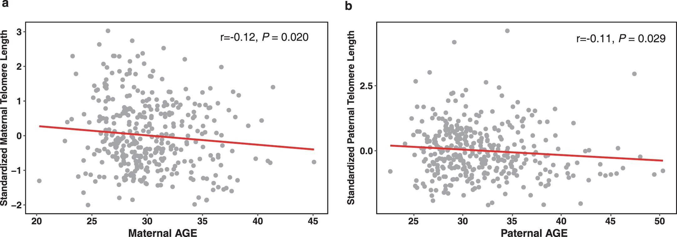
Extended Data Fig. 1: The correlation between LTL and age.
From: Leukocyte telomere length in children born following blastocyst-stage embryo transfer

a,b The correlation between maternal LTL and maternal age (a), and paternal LTL and paternal age (b). Pearson’s correlation test was performed to calculate Pearson’s r and two-sided P-value. Abbreviations: LTL, leukocyte telomere length.