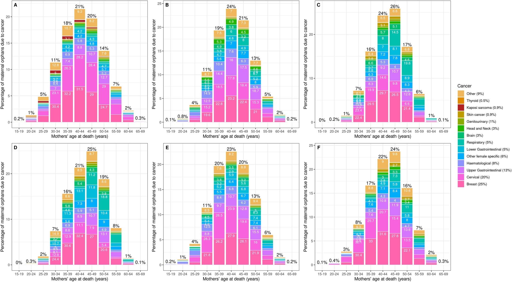
Extended Data Fig. 1: Distribution of maternal age at death when new maternal cancer orphans occurred, and of the type of cancer-related death within each age-at-death band.
From: Global and regional estimates of orphans attributed to maternal cancer mortality in 2020

Data for six world regions: (a) Africa, (b) Asia, (c) Europe, (d) Northern America, (e) Latin American and the Caribbean and (f) Oceania.