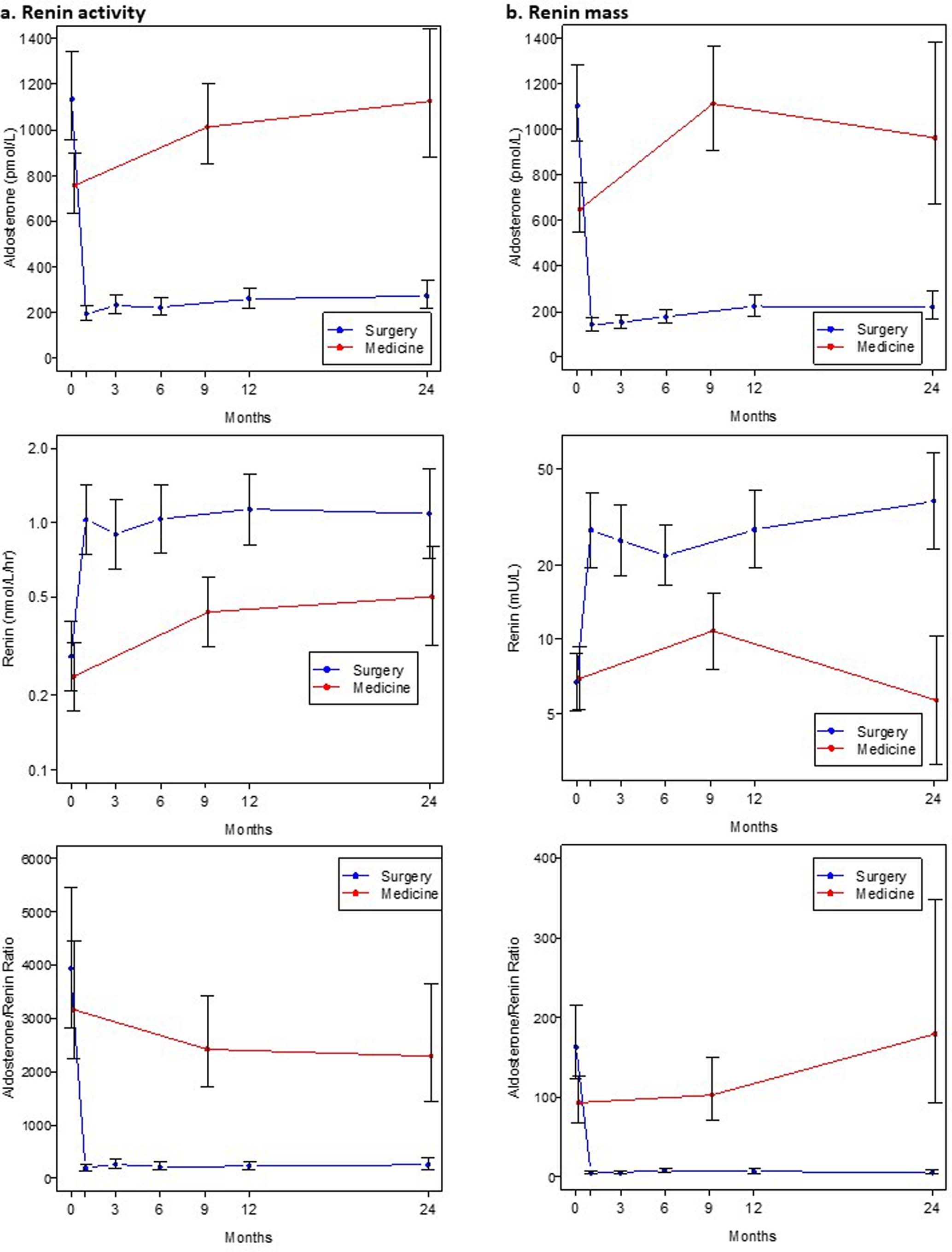
Extended Data Fig. 3: Pre- and post-intervention outcomes.

Change in aldosterone, renin and ARR observed at baseline (time 0) and after surgery and medical therapy, divided into cohorts where a. Renin activity (SBH) and b. Renin mass was measured (GSTT and CUH). A similar trend is observed in both cohorts. Data are least squares means from mixed effects models, adjusted for baseline covariates. Error bars show 95% CI. 0 months indicate baseline visit. For aldosterone levels with renin mass: Surgical group: n = 64 at 0 months, n = 51 at 6 months, n = 27 at 12 months, n = 15 at 24 months. Medical group: n = 50 at 0 months, n = 32 at 9 months, n = 9 at 24 months. For renin as renin mass: Surgical group: n = 64 at 0 months, n = 53 at 6 months, n = 28 at 12 months, n = 16 at 24 months. Medical group: n = 51 at 0 months, n = 32 at 9 months, n = 10 at 24 months. For ARR calculated using renin mass: Surgical group: n = 64 at 0 months, n = 51 at 6 months, n = 27 at 12 months, n = 15 at 24 months. Medical group: n = 50 at 0 months, n = 32 at 9 months, n = 9 at 24 months. For aldosterone levels with renin activity: Surgical group: n = 41 at 0 months, n = 40 at 6 months, n = 35 at 12 months, n = 18 at 24 months. Medical group: n = 40 at 0 months, n = 40 at 9 months, n = 16 at 24 months. For renin as renin activity: Surgical group: n = 41 at 0 months, n = 41 at 6 months, n = 36 at 12 months, n = 18 at 24 months. Medical group: n = 42 at 0 months, n = 40 at 9 months, n = 16 at 24 months. For ARR calculated using renin activity: Surgical group: n = 41 at 0 months, n = 40 at 6 months, n = 35 at 12 months, n = 18 at 24 months. Medical group: n = 40 at 0 months, n = 40 at 9 months, n = 16 at 24 months. SBH, St Bartholomew’s Hospital; GSTT, Guy’s and St Thomas’ Hospital; CUH, Cambridge University Hospital.