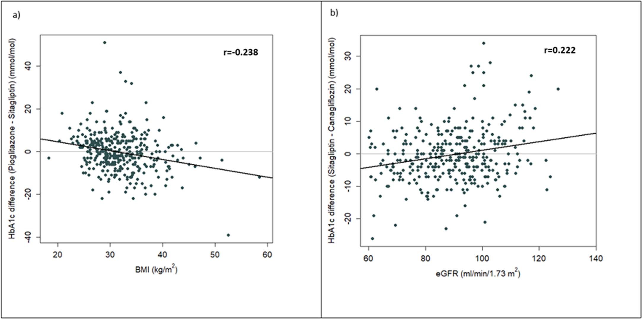
Extended Data Fig. 2

Scatterplots showing a) difference in on-treatment HbA1c between pioglitazone and sitagliptin (negative values favour pioglitazone, positive values favour sitagliptin) against BMI, and b) difference in on-treatment HbA1c between sitagliptin and canagliflozin (negative values favour sitagliptin, positive values favour canagliflozin) against eGFR. Line of best fit shown for each plot.