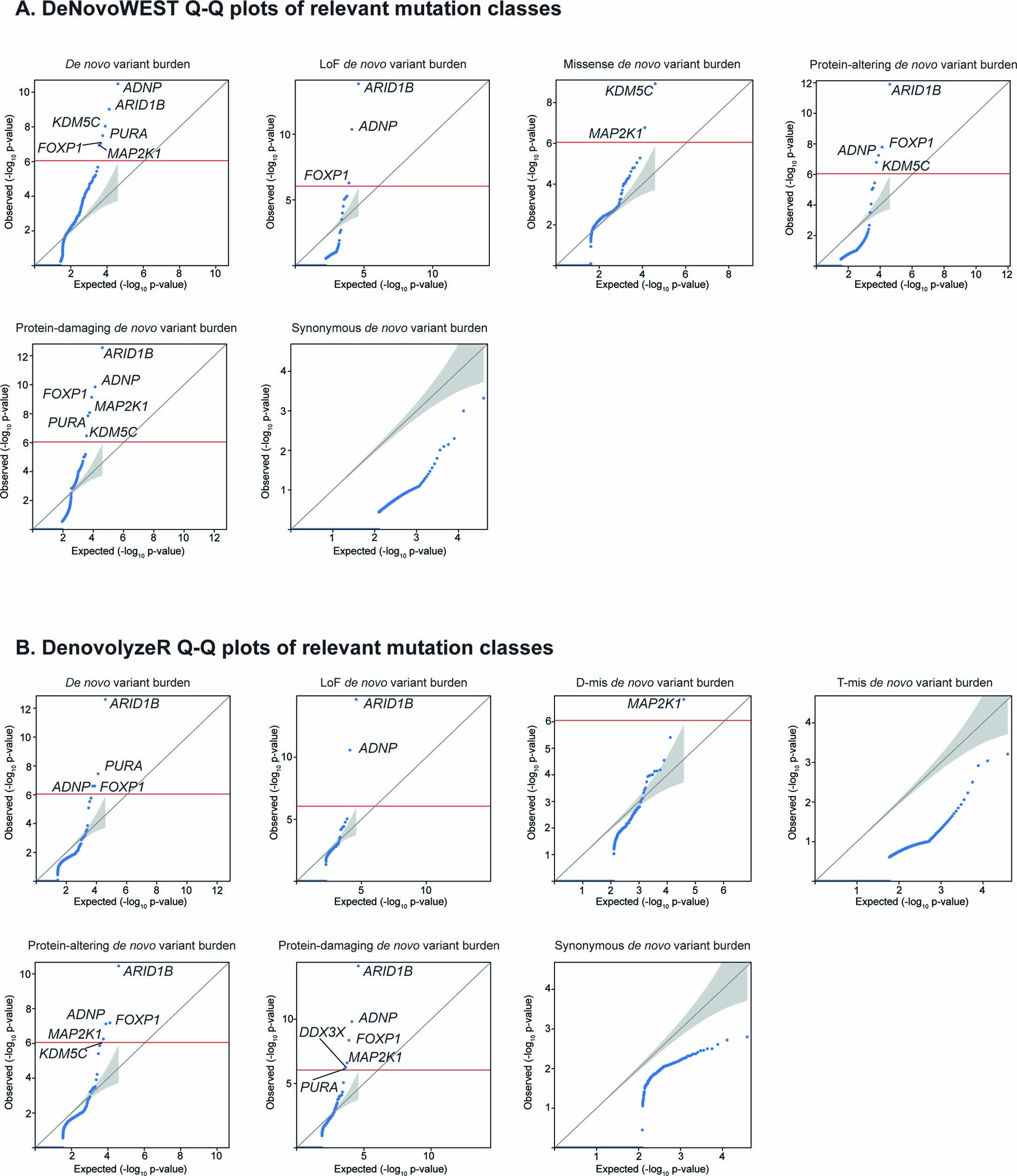
Extended Data Fig. 3: Quantile-quantile (Q-Q) plot comparing observed versus expected p-values.

(a) DeNovoWEST derived plots for de novo variants (DNVs) in each gene in 617 AC cases. ADNP, ARIDB1, KDM5C, PURA, FOXP1, and MAP2K1 exhibit exome-wide significant enrichment for all DNVs in AC cases. ARID1B, ADNP, and FOXP1 exhibit significant enrichment of loss-of-function (LoF) DNVs comprising premature termination, frameshift, or splice-site variants. KDM5C and MAP2K1 exhibit significant enrichment of missense variants. ARID1B, FOXP1, ADNP, and KDM5C exhibit significant enrichment of protein-altering variants, including missense and predictive LoF DNVs. ARID1B, ADNP, FOXP1, MAP2K1, PURA, and KDM5C exhibit significant enrichment of protein-damaging variants, including D-mis and LoF DNVs. There is no significant enrichment of synonymous DNVs among the 617 cases. Grey areas within graphs represents 95% confidence interval for expected values. (b) DenovolyzeR derived plots for DNVs in each gene in 617 AC cases. ARID1B, PURA, ADNP, and FOXP1 exhibit exome-wide significant enrichment for all DNVs in AC cases. ARID1B and ADNP exhibit significant enrichment of LoF DNVs. MAP2K1 exhibits significant enrichment of damaging-missense (D-mis) variants (MetaSVM = ‘D’ or MPC > 2 damaging missense). ARID1B, ADNP, FOXP1, MAP2K1, and KDM5C exhibit significant enrichment of protein-altering variants. ARID1B, ADNP, FOXP1, MAP2K1, and DDX3X exhibit significant enrichment of protein-damaging variants. There is no significant enrichment of tolerated-missense (T-mis) DNVs or synonymous DNVs among the 617 cases. The grey areas within graphs represents 95% confidence interval centered around the observed = expected line.