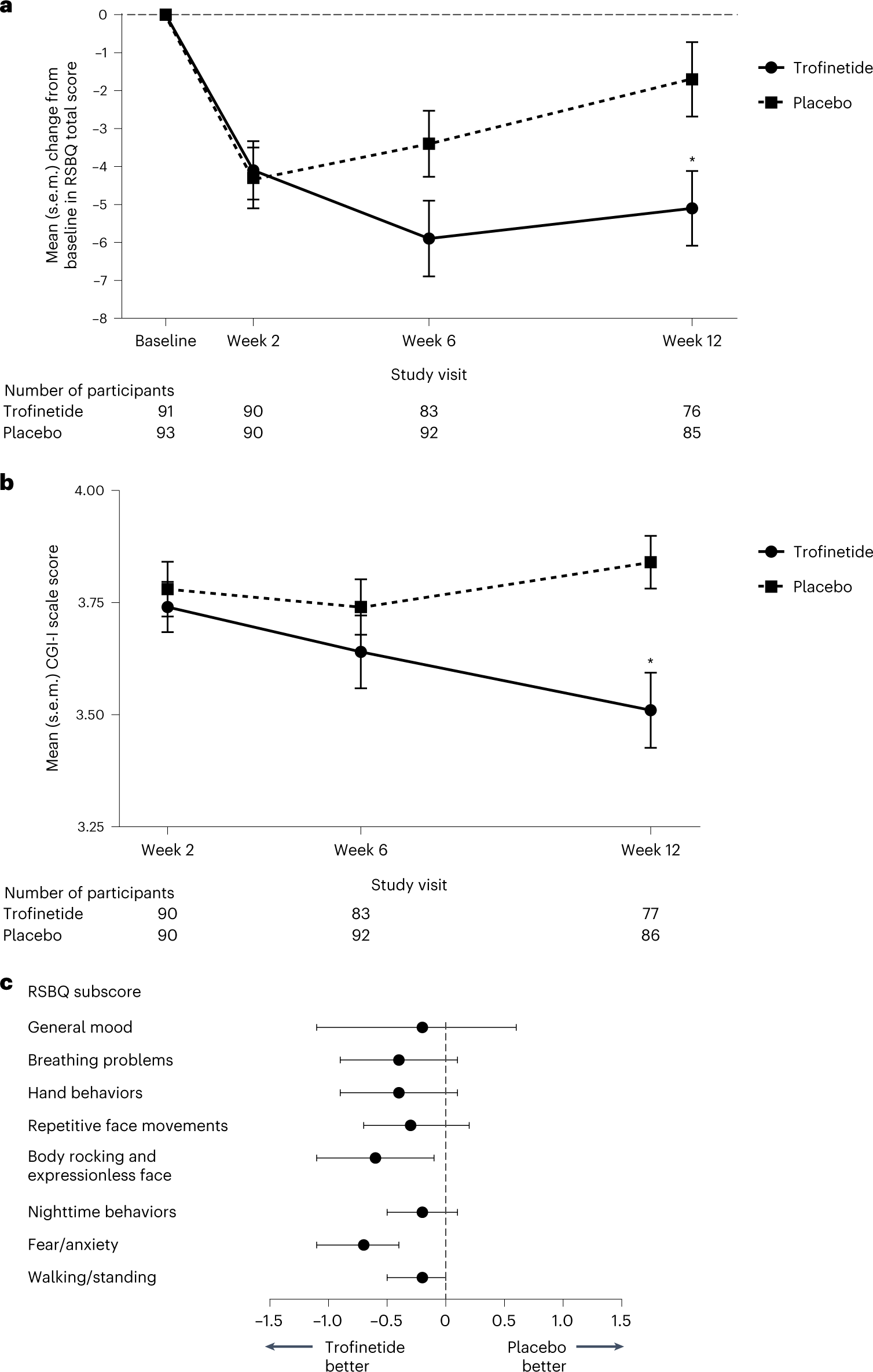
Fig. 2: RSBQ total scores, CGI-I scale scores and RSBQ subscores.
From: Trofinetide for the treatment of Rett syndrome: a randomized phase 3 study

a, Mean (s.e.m.) change from baseline in RSBQ total score at each study visit in the full analysis set. b, Mean (s.e.m.) CGI-I scale score at each study visit in the full analysis set. c, LSM treatment differences with 95% CIs for the change in RSBQ subscores from baseline to week 12. In a,b, data are presented as mean values ± s.e.m.; asterisks at week 12 denote significance based on the LSM treatment difference from the MMRM analysis in which adjustments were made for multiple comparisons (two-sided P = 0.0175 and Cohen’s d effect size = 0.37 for the RSBQ change from baseline to week 12 and two-sided P = 0.0030 and Cohen’s d effect size = 0.47 for the CGI-I scale score at week 12). In c, data are presented as LSM treatment difference, and whiskers represent the lower and upper limits of the 95% CI; CI widths have not been adjusted for multiplicity. Sample size for each RSBQ subscore analysis: trofinetide (n = 76) and placebo (n = 85).