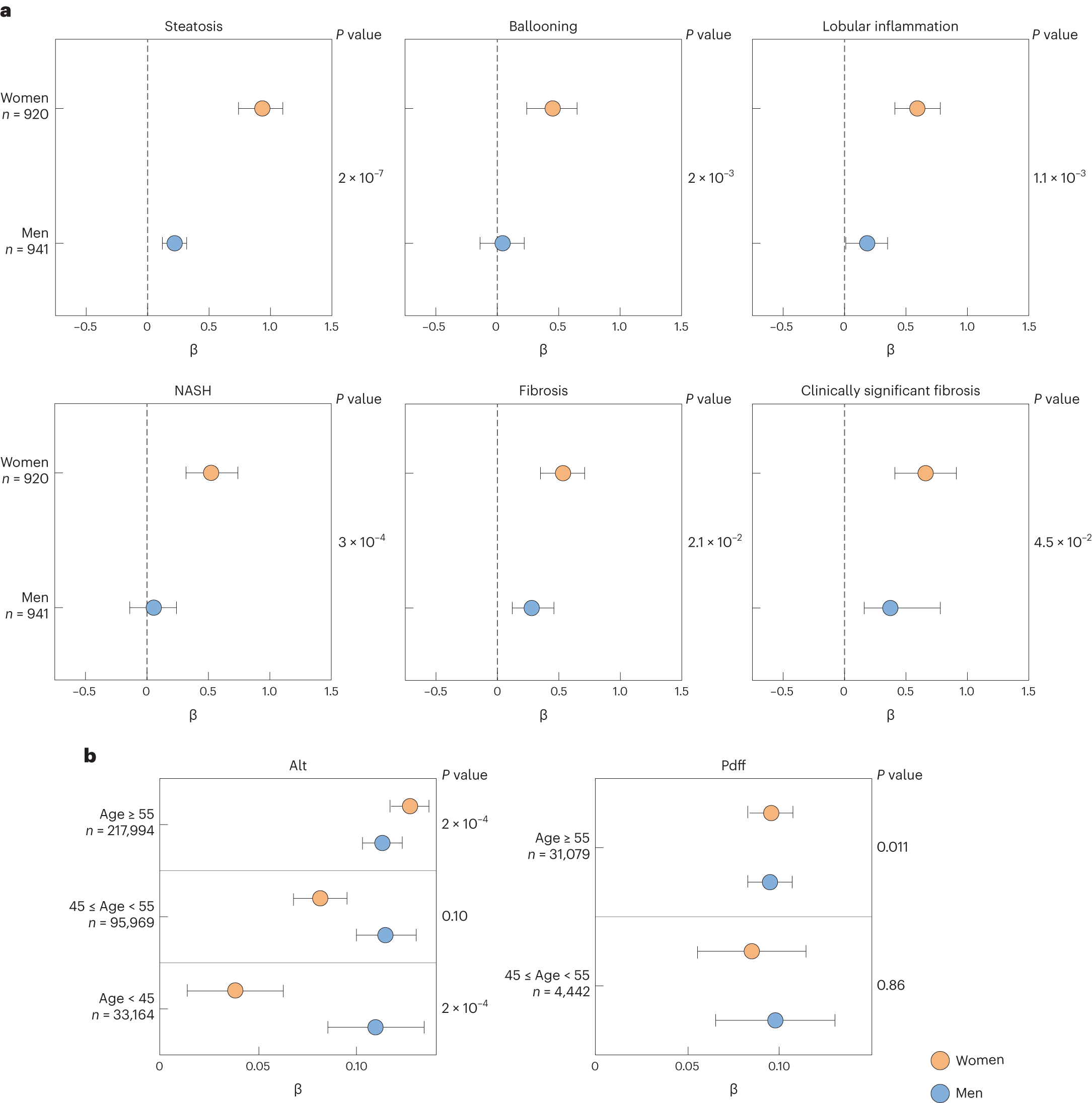
Fig. 1: Impact of PNPLA3 p.I148M variant on FLD susceptibility in women and men.

a, Forest plot of association (estimates ± 95% confidence interval (CI)) between PNPLA3 p.I148M variant and histological features of FLD in patients included in the Liver Biopsy Cohort stratified by sex (n = 1,861). b, Forest plot of association (estimates ± 95% CI) between PNPLA3 p.I148M variant with ALT levels and hepatic fat concentration as measured by MRI–PDFF in the UK Biobank cohort (n = 347,127), after further stratification for age (<45 years: premenopausal, 45–55 years: perimenopausal, ≥55 years: postmenopausal). The impact of the variant was estimated using generalized linear regression models, under an additive genetic model for the PNPLA3 variant, and were adjusted for age, BMI, T2D and recruitment modality. P values refer to the PNPLA3 p.I148M × sex interaction term (Table 1).