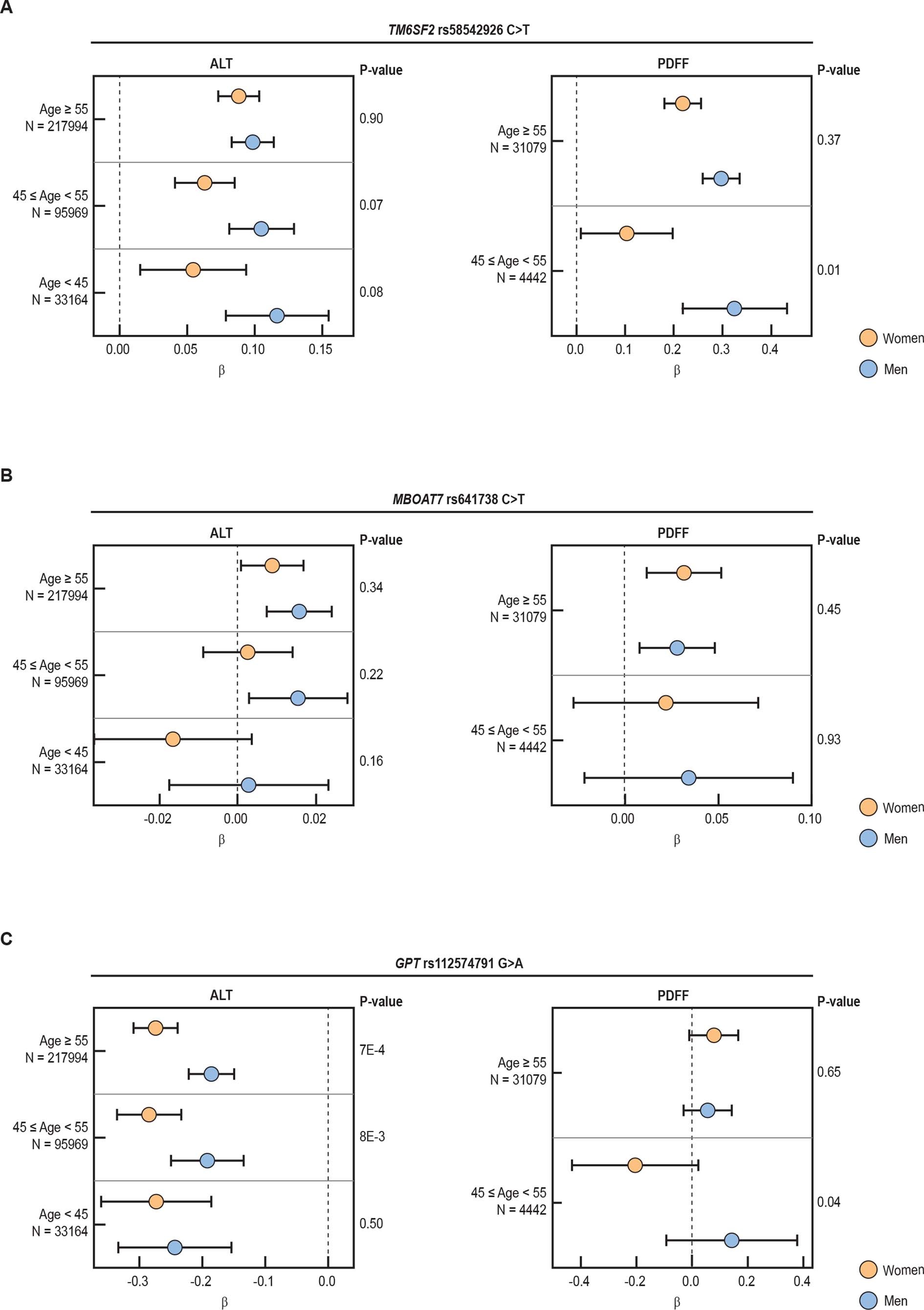
Extended Data Fig. 3: Impact of other genetic risk variants on ALT levels and hepatic fat in UKBB Cohort stratified for sex and age.

Forest plot of association (estimates ± 95% c.i.) between TM6SF2 p.E167K (Panel A), MBOAT7 rs641738 (Panel B) and GPT p.R107K (Panel C) variants with sex on ALT and hepatic fat (MRI-PDFF) levels in individuals in UKBB Cohort (n = 347,127) after stratification for age (<45: pre-menopausal, 45-55: perimenopausal, ≥55 post-menopausal). The impact of the genetic variants was estimated by generalized linear regression models, under an additive genetic model, and were adjusted for age, BMI, T2D and recruitment modality.