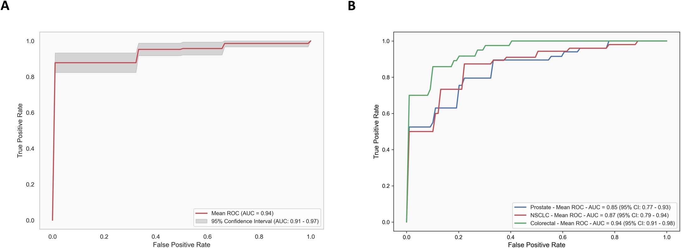
Extended Data Fig. 3: Classification of cancer plasma based on H3K4me3 cfChIP-seq profiles.
From: Liquid biopsy epigenomic profiling for cancer subtyping

(a) Receiver operating characteristic (ROC) curves for logistic regression-based classification of cancer plasma vs. healthy plasma, using as features the promoter H3K4me3 signal at a set of tissue-specific genes defined in the Human Protein Atlas (HPA) database24 (Methods). The classifier considered genes that were annotated as ‘tissue enriched’ or ‘tissue enhanced’ as well as ‘Not detected in immune cells’ in the HPA database. AUC, area under the curve. (b) ROC curves for classification of three cancer types with the most examples in the cohort.