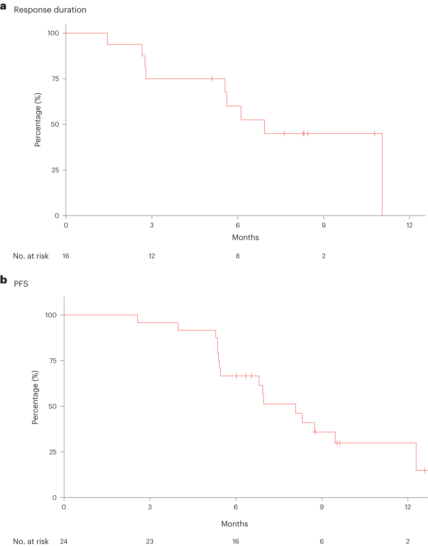
Fig. 3: Duration of response and PFS for KRAS G12C inhibitor-naive patients.
From: Divarasib plus cetuximab in KRAS G12C-positive colorectal cancer: a phase 1b trial

a, Kaplan–Meier plot for duration of response for the 16 KRAS G12C inhibitor-naive patients who experienced a CR or PR. b, Kaplan–Meier plot for median PFS for all 24 KRAS G12C inhibitor-naive patients.