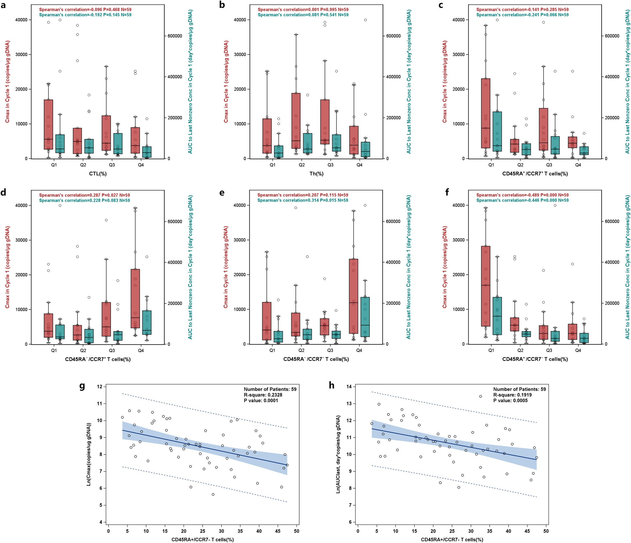
Extended Data Fig. 5: Association between frequencies of T cell subsets and Cmax or AUClast of CAR copies after first infusion in GC/GEJ patients with monotherapy.
From: Claudin18.2-specific CAR T cells in gastrointestinal cancers: phase 1 trial final results

The association between Cmax or AUClast of CAR copies after first infusion and the frequencies of, (a) CD3+CD4−CD8+ (cytotoxic T lymphocytes, CTLs) cells, (b) CD3+CD4+CD8− (Th) cells, (c) CD45RA+/CCR7+ (naive T and stem cell-like memory T, TN/SCM) cells, (d) CD45RA−/CCR7+ (central memory T, TCM) cells, (e) CD45RA−/CCR7− (effector memory T, TEM) cells, and (f) CD45RA+/CCR7− (terminally differentiated effector T, TEFF) cells in CT041 product were tested by Spearman Correlation Analysis and p-value was calculated from a Student’s t distribution. Linear regression analyses were performed for the correlation among the frequencies of CD45RA+/CCR7− cells and Cmax (g) or AUClast (h). Shaded bands show the 95% CIs of predicted probability, and lines present the predicted probability of Cmax and AUClast from linear regression analyses. Note: For Fig. 5a–f, Cmax and AUClast were analyzed by quartile of T cell subsets, i.e, Patients were divided into 4 groups based on the quartiles of T cell subset (the 4 groups are the minimum to quartile 1 (Q1), Q1 to median(Q2), median to Q3, and Q3 to maximum). The horizontal lines and the boxes show the medians and IQR, whiskers show the minimum observation above the lower fence (1.5 IQR below the 25th percentile) and the maximum observation below upper fence (1.5 IQR above the 75th percentile). The circular dots represent individual T cell subset level parameters for patients.