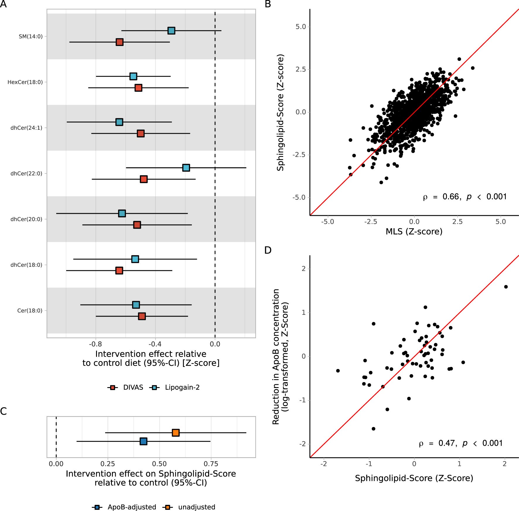
Extended Data Fig. 3: Replication of diet effects on a reduced, sphingolipid-based score (Sphingolipid-Score) in the LIPOGAIN-2 trial.

a, Comparison of intervention effects on sphingolipids that are part of the MLS and available in the LIPOGAIN-2 trial (n = 60). Center = beta coefficient, whiskers = 95% confidence interval. b, Scatter plot and Spearman correlation between MLS and Sphingolipid-Score in the EPIC-Potsdam cohort. Two-sided test, p value < 2.2*10−16. c, Observed effect of LIPOGAIN-2 intervention on Sphingolipid-Score (n = 60). The Sphingolipid-Score was scaled by the observed effect in the DIVAS trial, therefore a change in one unit indicates the same effect as observed in DIVAS. Center = beta coefficient, whiskers = 95% confidence interval. d, Scatter plot and Spearman correlation between change in apolipoprotein B and Sphingolipid-Score in the LIPOGAIN-2 trial. Two-sided test, p-value = 0.00015. Shown values are post-intervention levels adjusted for baseline levels, age, sex, BMI, and intervention.