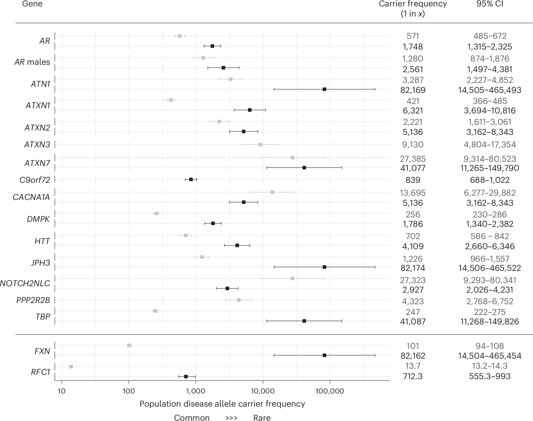
Fig. 2: Forest plot with combined overall disease allele carrier frequency in the combined 100K GP and TOPMed datasets N = 82,176 (N individuals may vary slightly between loci owing to data quality and filtering; Supplementary Table 7).
From: Increased frequency of repeat expansion mutations across different populations

The squares show the estimated disease allele carrier frequency, and the bars show the 95% confidence interval (CI) values. Details of the statistical models are described in Methods. For autosomal dominant loci (AR, ATN1, ATXN1, ATXN2, ATXN3, ATXN7, C9orf72, CACNA1A, DMPK, HTT, JPH3, NOTCH2NLC, PPP2R2B and TBP), the gray and black boxes show premutation/reduced penetrance and full-mutation allele carrier frequencies. For recessive loci (FXN and RFC1) the gray and black boxes show mono- and biallelic carrier frequencies, respectively.