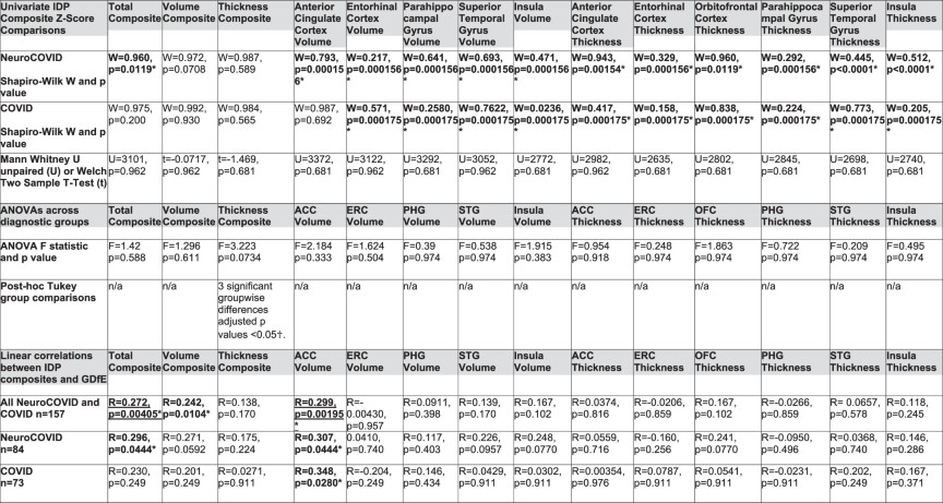
Extended Data Table 4 Univariate associations for composite IDP z-scores in NeuroCOVID and COVID groups, utilising two-sided Mann Whitney U unpaired if nonnormal distribution, or two-sided Welch Two Sample T-Test if normal distribution. Linear correlations between composite IDP z-scores and Global DfE (GDfE) Score in overall cohort, NeuroCOVID group and COVID group. ANOVA across COVID group and NeuroCOVID subgroups for composite IDP z-scores. All p-values adjusted using Benjamini-Hochberg procedure for False Discovery Rate (adjusted for n=14 for each IDP composite test, based on 14 tests in each group).♱The three significant groupwise differences found in post-hoc tukey group comparisons for the Thickness IDP composite were found between the Neuropsychiatric and Cerebrovascular subgroups (mean difference 0.871, adjusted p=0.0251), Neuropsychiatric and Encephalopathy and Delirium Group (mean difference 0.936, adjusted p=0.0119), and Neuropsychiatric and Peripheral subgroups (mean difference 0.769, adjusted p=0.0395)
