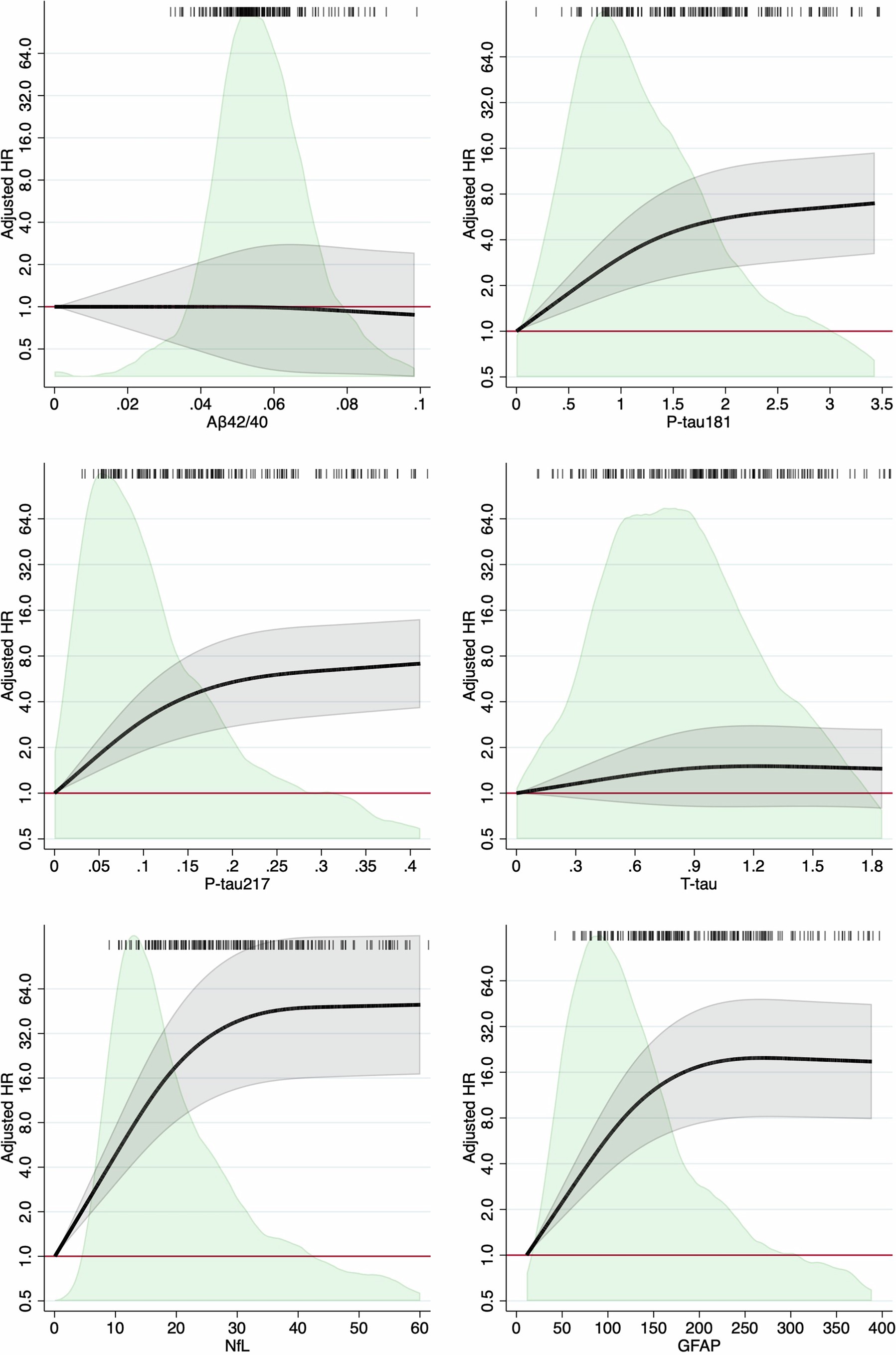
Extended Data Fig. 1: Association between baseline biomarker levels and hazard ratios (HR) for Alzheimer’s disease (AD) dementia with 95% confidence intervals, in the dementia-free analytical sample.
From: Blood-based biomarkers of Alzheimer’s disease and incident dementia in the community

HRs are derived from Cox regression survival models. Models are adjusted for age, sex, education, ischemic heart disease, atrial fibrillation, heart failure, cerebrovascular diseases, chronic kidney diseases, obesity, anaemia, hypertension, APOE genotype. Legend: Green shadow areas represent the distribution of the biomarker levels in the entire population, spikes the incident dementia cases, black line the HR, grey shadow areas confidence intervals, red line the reference (HR = 1).