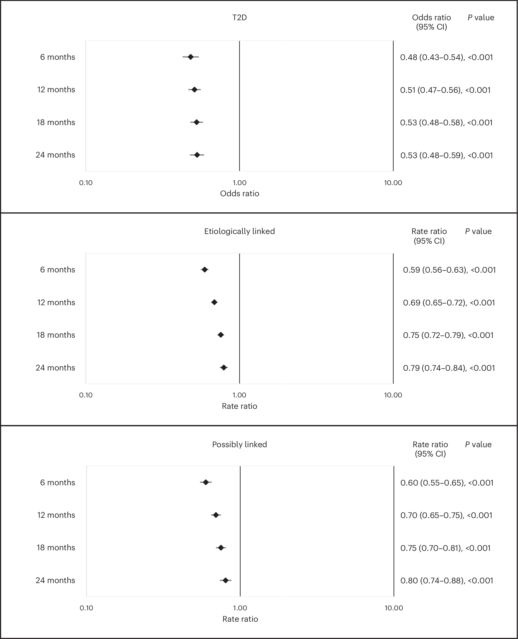
Fig. 2: Primary analysis: adjusted estimates of incidence of T2D and LTC-L and LTC-PL at 6-month, 12-month, 18-month and 24-month follow-up periods with 95% CIs.

Data are presented as odds ratios (diabetes) and rate ratios (LTC-L and LTC-PL) with 95% confidence intervals (CIs). P values are two-sided and were determined by logistic regression (diabetes) and negative binomial regression (LTC-L and LTC-PL), with no adjustments for multiple tests. n (intervention and control) = 56,940 and 56,315 at 6 months, 38,140 and 39,773 at 12 months, 22,497 and 26,600 at 18 months and 11,821 and 14,594 at 24 months.