Abstract
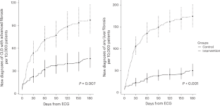
Advanced chronic liver disease (CLD) affects 2–5% of the general population, and accessible screening tools are needed in primary care. Here we conducted a pragmatic trial to assess whether an electrocardiogram (ECG)-based machine learning (ECG-ML) model enables early detection of advanced CLD. In this trial, 98 primary care teams were cluster randomized to intervention (access to ECG-ML results; 123 clinicians) or usual care (122 clinicians). Clinicians in the intervention arm were notified of a positive ECG-ML result, indicating higher risk of advanced CLD. The primary endpoint was new diagnosis of CLD with advanced fibrosis within 180 days of ECG, confirmed by sequential liver disease assessments. A total of 15,596 adults underwent 12-lead ECGs as part of routine care and met inclusion criteria (N = 8,034 intervention and N = 7,562 control). The intervention significantly increased new diagnoses of advanced CLD in the overall cohort (1.0% versus 0.5% in the control arm; odds ratio (OR) 2.09, 95% confidence interval (CI) 1.22–3.55, P = 0.007). Among ECG-ML-positive patients, advanced CLD was more frequent in the intervention arm (4.4% versus 1.1%; OR 4.37, 95% CI 1.94–9.88, P < 0.001). The intervention also increased the detection of any fibrosis (secondary endpoint) in the overall cohort (1.7% versus 0.5%; OR 3.17, 95% CI 1.86–5.40, P < 0.001) and among ECG-ML-positive patients (8.4% versus 1.1%; OR 8.03, 95% CI 3.50–18.4, P < 0.001). The diagnostic yield below epidemiological estimates probably reflects variable clinician adherence to artificial intelligence-driven recommendations. These results demonstrate that an ECG-based machine learning model, followed by targeted testing based on risk factors, may aid case finding of advanced CLD in routine primary care. ClinicalTrials.gov registration: NCT05782283.
This is a preview of subscription content, access via your institution
Access options
Access Nature and 54 other Nature Portfolio journals
Get Nature+, our best-value online-access subscription
$32.99 / 30 days
cancel any time
Subscribe to this journal
Receive 12 print issues and online access
$259.00 per year
only $21.58 per issue
Buy this article
- Purchase on SpringerLink
- Instant access to the full article PDF.
USD 39.95
Prices may be subject to local taxes which are calculated during checkout





Data availability
The dataset is not publicly available as it comprises electronic health records consented for research use exclusively by Mayo Clinic investigators. Publicly sharing the data without additional consent or ethical approval could compromise patient privacy and violate the original ethical guidelines. Investigators interested in conducting additional analyses for noncommercial use may submit a request to the corresponding author (D.A.S.) and will be conducted in collaboration with Mayo Clinic. Requests will typically be processed within 90 days.
Code availability
The ECG-AI algorithm, previously published, cannot be made publicly available owing to proprietary intellectual property protections (patent US20230218238A1). Furthermore, it cannot be implemented in routine clinical practice until Food and Drug Administration approval is obtained. However, the algorithm is available upon request for use in research studies and can be provided by the corresponding author (D.A.S.).
Change history
10 February 2026
A Correction to this paper has been published: https://doi.org/10.1038/s41591-026-04261-5
References
Huang, D. Q. et al. Global epidemiology of cirrhosis—aetiology, trends and predictions. Nat. Rev. Gastroenterol. Hepatol. 20, 388–398 (2023).
Ginès, P. et al. Liver cirrhosis. Lancet 398, 1359–1376 (2021).
Schwarz, M. et al. Late-stage presentation with decompensated cirrhosis is alarmingly common but successful etiologic therapy allows for favorable clinical outcomes. PLoS ONE 18, e0290352 (2023).
Patel, K. M. et al. Missed and delayed diagnoses of chronic liver disease in primary care patients with cirrhosis. Dig. Dis. Sci. https://doi.org/10.1007/s10620-024-08601-8 (2024).
Thiele, M. et al. Screening for liver fibrosis: lessons from colorectal and lung cancer screening. Nat. Rev. Gastroenterol. Hepatol. 21, 517–527 (2024).
Ginès, P. et al. Screening for liver fibrosis in the general population: a call for action. Lancet Gastroenterol. Hepatol. 1, 256–260 (2016).
Ginès, P. et al. Population screening for liver fibrosis: toward early diagnosis and intervention for chronic liver diseases. Hepatology 75, 219–228 (2022).
Serra-Burriel, M. et al. Development, validation, and prognostic evaluation of a risk score for long-term liver-related outcomes in the general population: a multicohort study. Lancet 402, 988–996 (2023).
Newsome, P. N. et al. FibroScan-AST (FAST) score for the non-invasive identification of patients with non-alcoholic steatohepatitis with significant activity and fibrosis: a prospective derivation and global validation study. Lancet Gastroenterol. Hepatol. 5, 362–373 (2020).
Ginès, P. et al. Screening for fibrosis to diagnose liver diseases early: the LIVERSCREEN project. Nat. Med. 29, 774–775 (2023).
Møller, S. & Henriksen, J. H. Cardiovascular complications of cirrhosis. Gut 57, 268–278 (2008).
Gaskari, S. A., Honar, H. & Lee, S. S. Therapy insight: cirrhotic cardiomyopathy. Nat. Clin. Pract. Gastroenterol. Hepatol. 3, 329–337 (2006).
Ahn, J. C. et al. Development of the AI-cirrhosis-ECG score: an electrocardiogram-based deep learning model in cirrhosis. Am. J. Gastroenterol. 117, 424–432 (2022).
Rattan, P. et al. Training and performance of an electrocardiogram-enabled machine learning model for detection of advanced chronic liver disease. Am. J. Gastroenterol. https://doi.org/10.14309/ajg.0000000000003433 (2025).
Attia, Z. I. et al. Prospective evaluation of smartwatch-enabled detection of left ventricular dysfunction. Nat. Med. 28, 2497–2503 (2022).
Yao, X. et al. Artificial intelligence-enabled electrocardiograms for identification of patients with low ejection fraction: a pragmatic, randomized clinical trial. Nat. Med. 27, 815–819 (2021).
Attia, Z. I. et al. Screening for cardiac contractile dysfunction using an artificial intelligence-enabled electrocardiogram. Nat. Med. 25, 70–74 (2019).
Noseworthy, P. A. et al. Artificial intelligence-guided screening for atrial fibrillation using electrocardiogram during sinus rhythm: a prospective non-randomised interventional trial. Lancet 400, 1206–1212 (2022).
Abeysekera, K. W. M. et al. Implementation of a liver health check in people with type 2 diabetes. Lancet Gastroenterol. Hepatol. 9, 83–91 (2024).
American Diabetes Association Professional Practice Committee 10. Cardiovascular Disease and Risk Management: Standards of Care in Diabetes–2024. Diabetes Care 47, S179–S218 (2024).
Rydén, L. et al. ESC guidelines on diabetes, pre-diabetes, and cardiovascular diseases developed in collaboration with the EASD: the task force on diabetes, pre-diabetes, and cardiovascular diseases of the European Society of Cardiology (ESC) and developed in collaboration with the European Association for the Study of Diabetes (EASD). Eur. Heart J. 34, 3035–3087 (2013).
Ajmera, V. et al. A prospective study on the prevalence of NAFLD, advanced fibrosis, cirrhosis and hepatocellular carcinoma in people with type 2 diabetes. J. Hepatol. 78, 471–478 (2023).
Ciardullo, S., Monti, T. & Perseghin, G. High prevalence of advanced liver fibrosis assessed by transient elastography among US adults with type 2 diabetes. Diabetes Care 44, 519–525 (2021).
Wongtrakul, W., Niltwat, S., Charatcharoenwitthaya, N., Karaketklang, K. & Charatcharoenwitthaya, P. Global prevalence of advanced fibrosis in patients with type 2 diabetes mellitus: a systematic review and meta-analysis. J. Gastroenterol. Hepatol. https://doi.org/10.1111/jgh.16666 (2024).
Ahn, J. C. et al. Applications of the AI-cirrhosis-ECG (ACE) score for improving prediction of decompensation and liver-related outcomes in cirrhosis: a multi-cohort study. JHEP Rep. 7, 101356 (2025).
Harman, D. J. et al. Direct targeting of risk factors significantly increases the detection of liver cirrhosis in primary care: a cross-sectional diagnostic study utilising transient elastography. BMJ Open 5, e007516 (2015).
Caballería, L. et al. High Prevalence of liver fibrosis among European adults with unknown liver disease: a population-based study. Clin. Gastroenterol. Hepatol. 16, 1138–1145.e5 (2018).
Patel, K. et al. Accuracy of blood-based biomarkers for staging liver fibrosis in chronic liver disease: a systematic review supporting the AASLD practice guideline. Hepatology https://doi.org/10.1097/hep.0000000000000842 (2024).
Graupera, I. et al. Low accuracy of FIB-4 and NAFLD fibrosis scores for screening for liver fibrosis in the population. Clin. Gastroenterol. Hepatol. 20, 2567–2576.e6 (2022).
Adams, L. A., Thiele, M. & Tsochatzis, E. A. Detecting at-risk steatotic liver disease and liver fibrosis in the community. Hepatology https://doi.org/10.1097/hep.0000000000001400 (2025).
Majumdar, A., Campos, S., Gurusamy, K., Pinzani, M. & Tsochatzis, E. A. Defining the minimum acceptable diagnostic accuracy of noninvasive fibrosis testing in cirrhosis: a decision analytic modeling study. Hepatology 71, 627–642 (2020).
Tamaki, N. et al. Two-step strategy, FIB-4 followed by magnetic resonance elastography, for detecting advanced fibrosis in NAFLD. Clin. Gastroenterol. Hepatol. 21, 380–387.e3 (2023).
Ford, I. & Norrie, J. Pragmatic trials. N. Engl. J. Med. 375, 454–463 (2016).
Kjaergaard, M. et al. Screening for fibrosis promotes lifestyle changes: a prospective cohort study in 4796 individuals. Clin. Gastroenterol. Hepatol. 22, 1037–1047.e9 (2024).
Avitabile, E. et al. Liver fibrosis screening increases alcohol abstinence. JHEP Rep. 6, 101165 (2024).
Rogal, S. et al. Impact of alcohol use disorder treatment on clinical outcomes among patients with cirrhosis. Hepatology 71, 2080–2092 (2020).
Harrison, S. A. et al. A phase 3, randomized, controlled trial of resmetirom in NASH with liver fibrosis. N. Engl. J. Med. 390, 497–509 (2024).
Poynard, T. et al. Prospective direct comparison of non-invasive liver tests in outpatients with type 2 diabetes using intention-to-diagnose analysis. Aliment. Pharmacol. Ther. 58, 888–902 (2023).
Wen, A. et al. Desiderata for delivering NLP to accelerate healthcare AI advancement and a Mayo Clinic NLP-as-a-service implementation. NPJ Digit. Med. 2, 130 (2019).
Olofson, A. et al. Detection of Undiagnosed Liver Cirrhosis via Artificial Intelligence-Enabled Electrocardiogram (DULCE): rationale and design of a pragmatic cluster randomized clinical trial. Contemp. Clin. Trials Commun. 45, 101494 (2025).
Sanyal, A. J. et al. Prospective study of outcomes in adults with nonalcoholic fatty liver disease. N. Engl. J. Med. 385, 1559–1569 (2021).
Mózes, F. E. et al. Performance of non-invasive tests and histology for the prediction of clinical outcomes in patients with non-alcoholic fatty liver disease: an individual participant data meta-analysis. Lancet Gastroenterol. Hepatol. 8, 704–713 (2023).
Thiele, M. et al. Accuracy of the enhanced liver fibrosis test versus fibrotest, elastography, and indirect markers in detection of advanced fibrosis in patients with alcoholic liver disease. Gastroenterology 154, 1369–1379 (2018).
de Franchis, R., Bosch, J., Garcia-Tsao, G., Reiberger, T. & Ripoll, C. Baveno VII—renewing consensus in portal hypertension. J. Hepatol. 76, 959–974 (2022).
Rinella, M. E. et al. AASLD practice guidance on the clinical assessment and management of nonalcoholic fatty liver disease. Hepatology 77, 1797–1835 (2023).
Liang, J. X. et al. An individual patient data meta-analysis to determine cut-offs for and confounders of NAFLD-fibrosis staging with magnetic resonance elastography. J. Hepatol. 79, 592–604 (2023).
Furlan, A. et al. Comparison of 2D shear wave elastography, transient elastography, and MR elastography for the diagnosis of fibrosis in patients with nonalcoholic fatty liver disease. Am. J. Roentgenol. 214, W20–W26 (2020).
Devarbhavi, H. et al. Global burden of liver disease: 2023 update. J. Hepatol. 79, 516–537 (2023).
Younossi, Z. M. et al. Prevalence and predictors of cirrhosis and portal hypertension in the United States. Hepatology https://doi.org/10.1097/hep.0000000000001243 (2025).
Acknowledgements
Funding from the Mayo Clinic MAX Innovation Award, UL1TR002377. D.A.S. is funded by National Institutes of Health AA26974 and DK130181. D.A.S. has consulted for Mallinckrodt, Evive, Resolution Therapeutics, BioVie, AstraZeneca, Iota and PharmaIN. The funders had no role in study design, data collection and analysis, decision to publish or preparation of the manuscript.
Author information
Authors and Affiliations
Contributions
Conceptualization by D.A.S., Z.I.A., P.A.N. and D.R. Methodology by D.A.S., B.A.K., R.J.L., K.L., P.R., A.O., J.C.A. and Z.I.A. Data curation by D.A.S., A.C., B.A.K., R.J.L., P.R. and J.C.A. Writing of the original draft by D.A.S., A.C., B.A.K. and R.J.L. Writing, reviewing and editing by all authors. All authors read and approved the final manuscript.
Corresponding author
Ethics declarations
Competing interests
The ECG-enabled machine learning model to detect advanced CLD was licensed by Mayo Clinic to Anumana. D.A.S., P.R., J.C.A., P.A.F., P.S.K., Z.I.A., P.A.N. and V.H.S. may benefit financially from its commercialization (patent US20230218238A1). Z.I.A. is a member of the scientific advisory board for Anumana, an AI company, and is a consultant for Anumana, AliveCor and XAI.health. P.A.F. is a member of the scientific advisory board for Anumana, an AI company. The other authors declare no competing interests.
Peer review
Peer review information
Nature Medicine thanks Juan Abraldes, Pere Gines, Peng Wei and the other, anonymous, reviewer(s) for their contribution to the peer review of this work. Primary Handling Editor: Lorenzo Righetto, in collaboration with the Nature Medicine editorial team.
Additional information
Publisher’s note Springer Nature remains neutral with regard to jurisdictional claims in published maps and institutional affiliations.
Supplementary information
Supplementary Information (download PDF )
Supplementary Figs. 1 and 2, Tables 1–3 and figure legend.
Rights and permissions
Springer Nature or its licensor (e.g. a society or other partner) holds exclusive rights to this article under a publishing agreement with the author(s) or other rightsholder(s); author self-archiving of the accepted manuscript version of this article is solely governed by the terms of such publishing agreement and applicable law.
About this article
Cite this article
Simonetto, D.A., Rushlow, D., Liu, K. et al. Detection of undiagnosed liver cirrhosis via AI-enabled electrocardiogram: a pragmatic, cluster-randomized clinical trial. Nat Med 32, 160–167 (2026). https://doi.org/10.1038/s41591-025-04058-y
Received:
Accepted:
Published:
Version of record:
Issue date:
DOI: https://doi.org/10.1038/s41591-025-04058-y