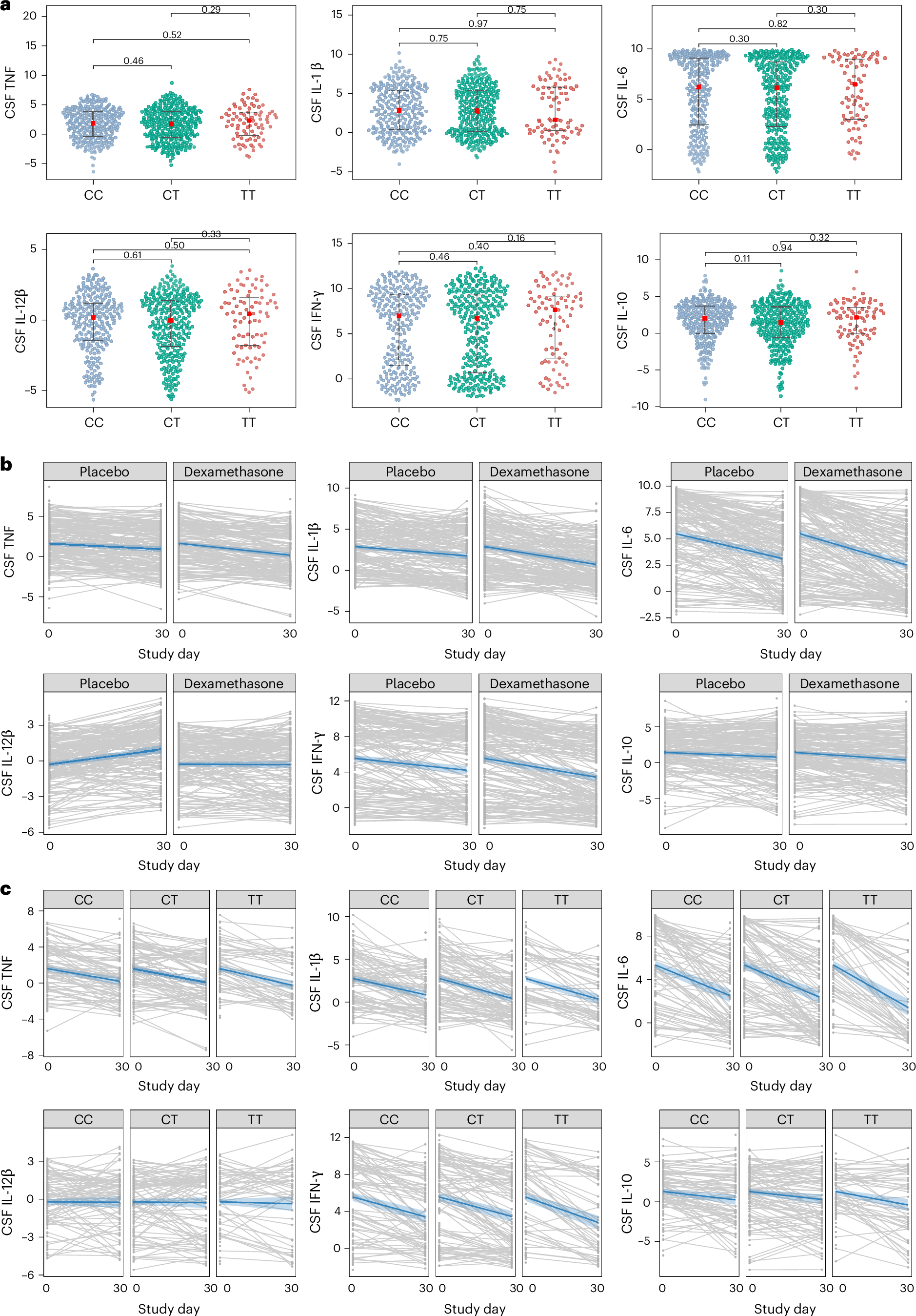
Fig. 2: CSF cytokine concentrations at baseline according to LTA4H genotype, changes in CSF cytokine concentrations over time in CC- and CT-genotype participants randomized to dexamethasone or placebo and changes in cytokine concentrations over time in dexamethasone-treated CC-, CT- and TT-genotype participants.

a, The distribution of CSF cytokine levels (normalized protein expression (NPX), log2 normalized expression) across different genotypic groups (CC, CT and TT). Each subplot represents a distinct cytokine: TNF, IL-1β, IL-6, IL-12β, IFN-γ and IL-10. The violin plots illustrate the data distribution for each genotype, with individual data points shown as dots. Each red central point indicates the median cytokine level within each group, and the horizontal black bars indicate the interquartile range. Pairwise comparisons between genotype groups were performed using the Wilcoxon rank-sum test (two-sided), with the corresponding P values displayed. The cytokine data are shown for a total of 638 participants (262 of CC genotype, 295 of CT genotype and 81 of TT genotype), for each cytokine subpanel. Eight participants (of 646 individuals who underwent proteomic profiling) did not have proteomic profiling data at baseline. b, CSF cytokine changes over 30 days, by placebo and dexamethasone arms. The solid blue lines show the fit mean cytokine levels at each timepoint, with shaded 95% Bayesian credible intervals obtained via Markov Chain Monte Carlo (MCMC) estimation from the longitudinal submodel of the Bayesian joint model. Rates of change of CSF cytokines for CC- and CT-genotype participants were as follows: for TNF, placebo −0.023, dexamethasone −0.049; for IL-1β, placebo −0.038, dexamethasone −0.072; for IL-6, placebo −0.078, dexamethasone −0.098; for IL-12β, placebo 0.041, dexamethasone −0.002; for IFN-γ, placebo −0.044, dexamethasone −0.070; for IL-10, placebo −0.021, dexamethasone −0.035. The cytokine data are shown for 281 participants allocated to dexamethasone (data shown for 278 participants at day 0 and 175 participants at day 30) and for 283 participants allocated to placebo (data shown for 279 participants at day 0 and 166 participants at day 30) for each cytokine subpanel. c, CSF cytokine changes over 30 days in dexamethasone-treated participants, by LTA4H genotype. The solid blue lines show the fit mean cytokine levels at each timepoint, with shaded 95% Bayesian credible intervals obtained via MCMC estimation from the longitudinal submodel of the Bayesian joint model. The cytokine data are shown for 363 dexamethasone-treated participants: for 136 participants of CC genotype (134 participants at day 0 and 83 participants at day 30), for 145 participants of CT genotype (144 participants at day 0 and 92 participants at day 30) and for 82 participants of TT genotype (81 participants at day 0 and 50 participants at day 30).