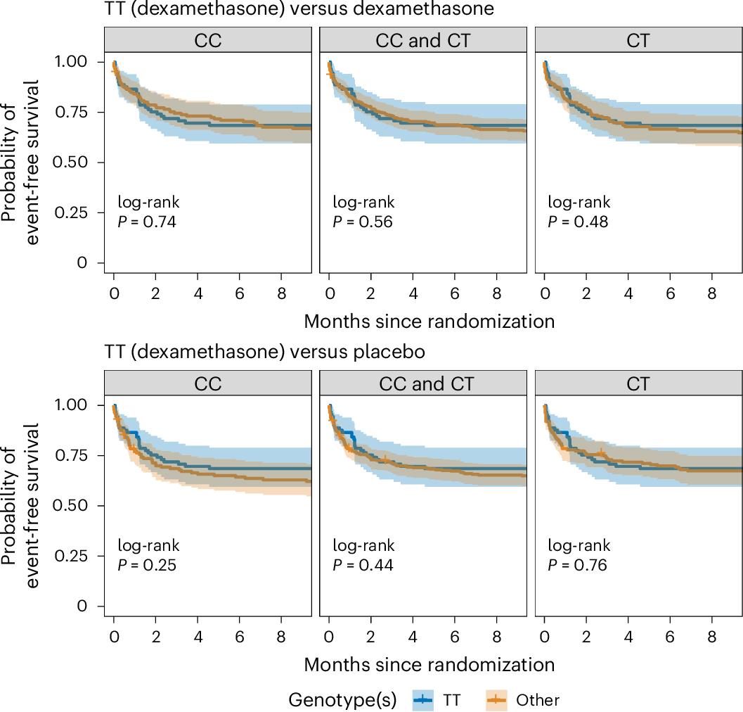
Fig. 4: Death or new neurological events for all genotypes.

A comparison of TT-genotype individuals receiving dexamethasone with CC, CC and CT, and CT-genotype individuals receiving dexamethasone. This is followed by comparison of TT-genotype individuals receiving dexamethasone with CC, CC and CT, and CT-genotype individuals receiving placebo. The solid lines represent the estimated probability of event-free survival in each stratum. The colored shading represents the 95% CIs. Analyses are performed for the following populations: TT-genotype participants receiving dexamethasone, 89; CC-genotype participants receiving dexamethasone, 146; CT-genotype participants receiving dexamethasone, 159; CC-genotype participants receiving placebo, 145; and CT-genotype participants receiving placebo, 163.