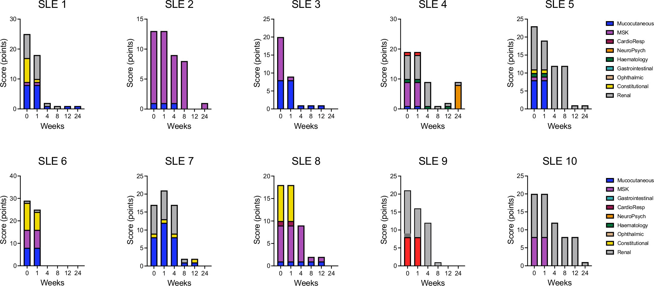
Extended Data Fig. 7: Individual BILAG courses.
From: CD19 CAR-T cells for treatment-refractory autoimmune diseases: the phase 1/2 CASTLE basket trial

Graphs show the courses of British Isles Lupus Assessment (BILAG) scores in the 10 patients with systemic lupus erythematosus (SLE); 12 points is corresponding BILAG-A (very severe disease activity requiring immunosuppressive treatment and high doses of glucocorticoids), 8 points is corresponding BILAG-B (moderate disease activity requiring hydroxychloroquine treatment and lower doses of glucocorticoids), 1 point is corresponding BILAG-C (low disease activity requiring non-steroidal ant-inflammatory drugs or analgesics) and 0 points is corresponding BILAG-D and BILAG-E (no current disease activity or never involved); MSK, musculoskeletal involvement.