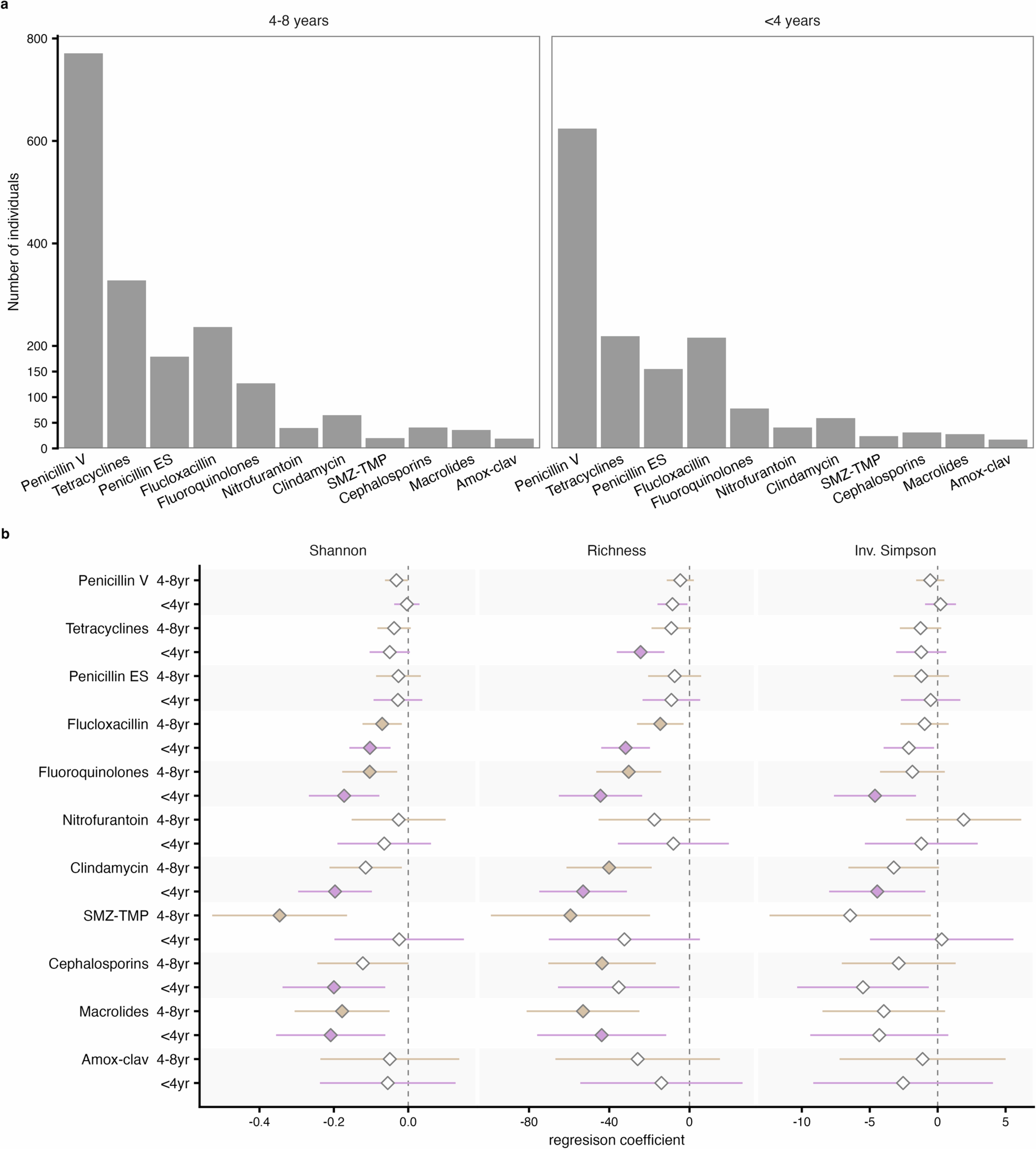
Extended Data Fig. 3: Single antibiotic course and its associations with gut microbiome species diversity.

a. Number of individuals exposed to a single antibiotic course <4 and 4-8 years before fecal sampling. b. Associations between antibiotic use and gut microbiome species diversity (Shannon index, species richness, and inverse Simpson index) in participants who had 1 or no antibiotic course in the 8 years before fecal sampling in the three cohorts (SCAPIS, MOS, and SIMPLER, total n = 7,664). Associations were investigated using regression models adjusted for age, sex, smoking, education, country of birth, site-specific analysis plate, BMI, Charlson Comorbidity Index, polypharmacy, and use of proton-pump inhibitors, metformin, selective serotonin reuptake inhibitors, statins, beta blockers, and antipsychotics, followed by meta-analyses of the regression coefficients. The x-axis and the diamonds display the meta-analyzed regression coefficients; error bars represent 95% confidence intervals. Filled shapes indicate significant associations (FDR < 5%). Amox-clav: amoxicillin-clavulanic acid. Penicillin ES: extended-spectrum penicillins; SMZ-TMP: sulfamethoxazole-trimethoprim.