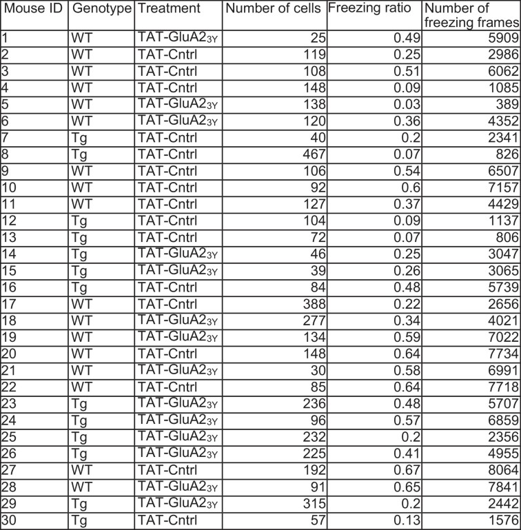
Extended Data Table 1 Summary data from calcium imaging mice
From: Higher-order interactions between hippocampal CA1 neurons are disrupted in amnestic mice

From: Higher-order interactions between hippocampal CA1 neurons are disrupted in amnestic mice
