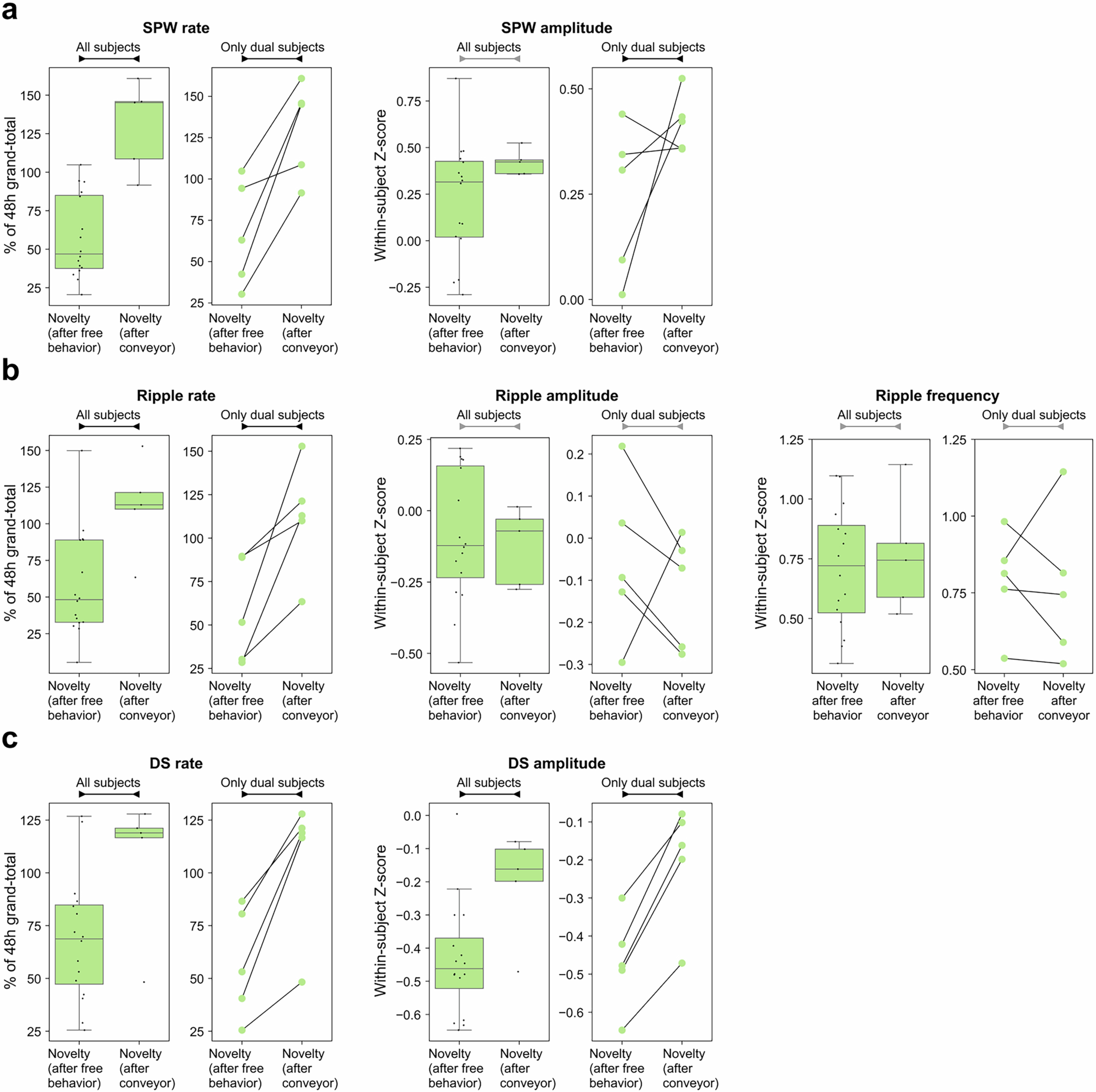
Extended Data Fig. 5: Comparison of sharp wave, ripple and dentate spike properties during sleep deprivation with novel objects after free behavior versus after forced locomotion.
From: A hippocampal ‘sharp-wave sleep’ state that is dissociable from cortical sleep

In novelty experiments, subjects are sleep deprived using novel objects after a night of free behavior. In dual experiments, subjects are sleep deprived using novel objects after forced locomotion (conveyor). a, Comparing the first hour of novel object exposure in both cases shows that SPW rate and amplitude are higher after forced locomotion. b-c, As for SPW rate and amplitude, ripple rate, DS rate, and DS amplitude are higher after forced locomotion. Boxplots show all subjects (n = 16), including the subset (n = 11), who did not experience novel object exposure after forced locomotion. Boxplots show medians and quartiles. Whiskers are drawn to the farthest datapoint within 1.5× IQRs from the nearest hinge. Black bars represent significant differences, assessed using asymptotic likelihood ratio tests on mixed effects models (see Supplementary Table 1 for p-values and effect sizes, and Supplementary Information for confidence intervals; see Methods for details). Pair plots show only subjects who received both kinds of novel object exposure within the same experiment (that is, ‘dual’ experiments) (n = 5).