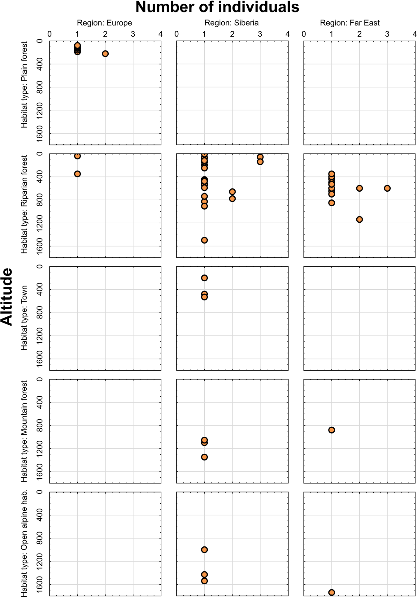
Fig. 5

Scatterplot showing number of collected individuals of Arctia menetriesii plotted against altitude of the collecting locality and categorized by habitat type and region. The scatterplot was created using v. Statistica 13.3 (StatSoft®, TIBCO Software Inc., CA, USA) based on the Menetries’ Tiger Moth Range and Ecology Database (1840s-2020)52.