Abstract
Global environmental changes may cause dramatic insect declines but over century-long time series of certain species’ records are rarely available for scientific research. The Menetries’ Tiger Moth (Arctia menetriesii) appears to be the most enigmatic example among boreal insects. Although it occurs throughout the entire Eurasian taiga biome, it is so rare that less than 100 specimens were recorded since its original description in 1846. Here, we present the database, which contains nearly all available information on the species’ records collected from 1840s to 2020. The data on A. menetriesii records (N = 78) through geographic regions, environments, and different timeframes are compiled and unified. The database may serve as the basis for a wide array of future research such as the distribution modeling and predictions of range shifts under climate changes. It represents a unique example of a more than century-long dataset of distributional, ecological, and phenological data designed for an exceptionally rare but widespread boreal insect, which primarily occurs in hard-to-reach, uninhabited areas of Eurasia.
Measurement(s) | specimen record • biological parameters of specimen • environmental characteristics • sampling date • habitat image • specimen image |
Technology Type(s) | digital curation |
Factor Type(s) | year • month • ten-day period • day • geographic location • altitude • habitat • landscape type • presence of waterbody • ecoregion • developmental stage • sex • individual condition |
Sample Characteristic - Organism | Menetries’ Tiger Moth Arctia menetriesii (Insecta: Lepidoptera: Erebidae) |
Sample Characteristic - Environment | taiga biome • high-altitude environment |
Sample Characteristic - Location | Northern Eurasia |
Similar content being viewed by others
Background & Summary
Recent climate changes and habitat loss significantly influence the distribution and abundance of invertebrates at different spatial scales, from local and regional to the global1,2,3,4,5. The order Lepidoptera (butterflies and moths) is among most imperiled insect groups worldwide6,7,8,9, sharing high rates of decline and even extinction10,11,12,13. The tiger moths are a monophyletic clade (tribe Arctiini) belonging to the family Erebidae14,15,16,17. This group contains a number of large and colorful species, many of which are rare and endangered14. Tropical areas of Asia, Australasia, Africa, and South America represent a hotspot of tiger moths’ species richness globally18,19,20,21,22,23,24,25, while a few species are distributed in boreal forest and Arctic tundra biomes26,27,28,29,30,31.
The Menetries’ Tiger Moth Arctia menetriesii (Eversmann, 1846) may be considered the rarest and most enigmatic species among boreal representatives of the tribe Arctiini32,33. This species has a continuous range expanding throughout the entire Eurasian taiga biome from Finland to the Sakhalin Island and northeastern China26,32,34 (Fig. 1a). Despite its enormous range, Menetries’ Tiger Moth occurs very rarely, and less than 100 specimens were recorded since its initial description in 184632,35,36 (Fig. 2a–e). It could primarily be found in hard-to-reach, uninhabited areas of the continent, harboring primeval woodlands32 (Fig. 1b–d). Earlier, this species was placed within its own monotypic genus, Borearctia Dubatolov, 198433 but it was recently transferred to the genus Arctia Schranck, 1802 based on a comprehensive multi-locus phylogenetic research14. Host plants and life history of A. menetriesii were discussed in a few works36,37,38,39 and are rather poorly known.
Localities and habitats of Arctia menetriesii. (a) Map of records listed in the database52. The size of circles indicates the uncertainty of the geographic co-ordinates (see Legend). The color areas represent three regions discussed in this study as follows: yellow Europe (records from Finland, Northern European Russia, and the Urals); red Siberia (records from Western and Eastern Siberia in Russia, and East Kazakhstan); and green the Far East (records from the Russian Far East and northeastern China). The map was created using ESRI ArcGIS 10 software (https://www.esri.com/arcgis); the topographic base of the map was created with Natural Earth Free Vector and Raster Map Data (https://www.naturalearthdata.com) and Global Self-consistent Hierarchical High-resolution Geography, GSHHG v. 2.3.7 (https://www.soest.hawaii.edu/wessel/gshhg). (Map: Mikhail Y. Gofarov). (b–d) Examples of habitat images linked to the database: (b) half-open bog surrounded by primeval coniferous forest, Kuhmo, Finland (Photo: Risto Haverinen); (c) primeval coniferous taiga forest in the Negusyakh River valley, Yugansky State Nature Reserve, Western Siberia, Russia (Photo: Evgeny G. Strelnikov); (d) primeval coniferous taiga forest near the Bolshoy Anay River, Baikalo-Lensky Nature Reserve, Eastern Siberia, Russia (Photo: Oleg E. Berlov).
Number of records and examples of specimen images of Arctia menetriesii. (a) Cumulative number of records throughout the entire species’ range over the past 120 years (1900–2020)52. (b-e) Examples of imago specimen images linked to the database:52 Image AM-075_SP-01_SYS: “Songoria” [=East Kazakhstan], before 1846, holotype ♂ [coll. ZIN] (Photo: Sergey Y. Sinev) (b); Image AM-071_SP-01_ESK: the top of Arsenyeva Mt., Sikhote-Alin Mts, Far East, Russia, 20.vii.1948, ♀, Kononov & Kurentzov leg. [coll. FSCEATB FEB RAS] (Photo: Evgeny S. Koshkin) (c); Image AM-028_SP-01_OEB: Chechui River near the mouth of Rassokha River, Irkutsk Oblast, Siberia, Russia, 22.vii.1969, ♀, Pleshanov leg. [coll. of E. & O. Berlov, Irkutsk, Russia] (Photo: Oleg E. Berlov) (d); Image AM-035_SP-04_SYG: Onokhoy, Uda River valley, Republic of Buryatia, Siberia, Russia, 11.vii.2012, ♀, Gordeev leg. [coll. IGEB] (Photo: Sergey Y. Gordeev) (e).
The holotype specimen of this species (Fig. 2c,d) is imprecisely labelled as being collected from a broad historical region, the Songoria (currently eastern Kazakhstan; most likely somewhere within the Tarbagatai or Saur Mountains)33,35,40,41. Next records come from Finland37,42,43, Yakutia44, North Manchuria34, and Sakhalin34 in the 1910s-1920s. Kurentzov44 presented the first range map of A. menetriesii with eight records known to date (1965). Later, several authors listed additional records from the Urals and Asiatic Russia28,32,33,39,45,46,47,48. The species was considered extinct in Finland49 but was rediscovered in 200350,51. Dubatolov26 published a more detailed range map with 40 records (37 precise points and three vague localities) but, unfortunately, any data on certain records has not been listed. Our team started to compile information of A. menetriesii records in the early 1990s. The first georeferenced dataset was published in 201332. This compilation contained the data on 43 records, including three samples from vague localities such as Lake Baikal32.
The present study describes our final compilation, the Menetries’ Tiger Moth Range and Ecology Database (1840s-2020)52, which contains nearly all available information on this extremely rare species collected since its original description (Fig. 3). In total, the database comprises geographic, environmental, and temporal information on 78 records of A. menetriesii (Online-only Table 1, Figs. 4–6). Here, we consider individual specimens as separate records with unique IDs, even if these specimens were collected simultaneously from the same locality. All the records were delineated into three larger geographic regions: Europe (Finland, Northern European Russia, and the Urals), Siberia (Western and Eastern Siberia in Russia, and East Kazakhstan), and the Far East (Russian Far East and northeastern China) (Fig. 1a). Available images of habitats and samples are linked to the database via file names (examples: Figs. 1b–d and 2b–e). The database is a unique example of a more than century-long dataset of distributional, ecological, and phenological data designed for a rare boreal moth, having a broad trans-Eurasian range.
Structure of the Menetries’ Tiger Moth Range and Ecology Database (1840s-2020)52. The field names are decoded in Online-only Table 1. The blocks containing environmental, temporal, and biological categories are green, blue, and red, respectively. The linked data (images) is highlighted by dashed orange frame. Living female moth: image AM-035_SP-01_SYG.jpeg linked to the database, Onokhoy settlement, Uda River valley, Republic of Buryatia, Russia. (Graphics: Ivan N. Bolotov; Photo: Sergey Y. Gordeev).
3D contour plots of the number of collected individuals of Arctia menetriesii against geographic variables (altitude and geographic co-ordinates) of the localities based on the Menetries’ Tiger Moth Range and Ecology Database (1840s-2020):52 (a) number of collected individuals vs latitude and altitude; and (b) number of collected individuals vs longitude and altitude. The white circles indicate the species’ localities. The color areas and corresponding legend show the spline interpolation of the number of collected individuals per locality. In particular, the yellow to green areas indicate the lack of records, the orange to red areas indicate the prevalence of singleton records, and the darker red areas indicate the possibility to find more than one specimen per locality under these conditions. The white dashed line separates approximate areas corresponding to Europe and Asia. The 3D plots were created using v. Statistica 13.3 (StatSoft®, TIBCO Software Inc., CA, USA).
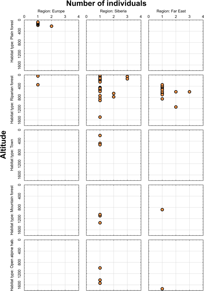
Scatterplot showing number of collected individuals of Arctia menetriesii plotted against altitude of the collecting locality and categorized by habitat type and region. The scatterplot was created using v. Statistica 13.3 (StatSoft®, TIBCO Software Inc., CA, USA) based on the Menetries’ Tiger Moth Range and Ecology Database (1840s-2020)52.
Scatterplot showing number of collected individuals of Arctia menetriesii plotted against altitude of the collecting locality and categorized by habitat type and the presence of waterbody at the locality. The scatterplot was created using Statistica v. 13.3 (StatSoft®, TIBCO Software Inc., CA, USA) based on the Menetries’ Tiger Moth Range and Ecology Database (1840s-2020)52.
The present work was also motivated by a broader aim linked to historical and recent rapid defaunation processes on Earth53,54 and, more precisely, to the so-called insect apocalypse in the Anthropocene2,3,5. A plethora of recent surveys revealed that there is a drastic decline in insect (and moths in particular) abundance and biomass over the past few decades11,55,56. The causal mechanisms and drivers of this phenomenon are poorly understood57,58,59 but, at first glance, could be linked to agricultural intensification, pesticide use, urbanization, habitat loss, and climate warming3,60,61. Conversely, it was shown that many insect species show no declines and that the most dramatic examples of declines come from highly populated agricultural areas of the Northern Hemisphere10,62.
Based on these considerations, A. menetriesii may be used as a model organism to address the long-term distribution and abundance shifts in larger boreal insects, having a broad trans-Eurasian range. Hence, the Menetries’ Tiger Moth Range and Ecology Database (1840s-2020)52 could serve as the reliable basis for a variety of future research such as distributional and phenological modeling and predictions of range shifts under various climate change scenarios.
Methods
Original field research
The authors of this paper were looking for A. menetriesii specimens during their fieldworks starting from the early 1990s (ca. 30-year period). The fieldworks covered Finland (R.H., K.N., H.S.), Northern European Russia and the Urals (I.N.B., M.Y.G., Y.S.K, G.S.P, V.M.S., H.S.), Western Siberia (E.G.S.), Eastern Siberia (O.E.B., S.Y.G., S.S.S., H.S.), and the Russian Far East (E.S.K., Y.I.B.). The samples were collected by hands or by an entomological net. Here, we present eight unpublished records collected by ourselves. Additionally, a few own records were published in our earlier works28,32,36,38,39.
Collection lots and published data
First, data on collected specimens of Menetries’ Tiger Moth were obtained from a wide array of museum and private collections in Finland, Germany, Lithuania, and Russia. Specimens of A. menetriesii are available in not less than 12 museum collections as follows: Museum Witt [MWM], München, Germany; Finnish Museum of Natural History [MZH], Zoology Unit, Helsinki, Finland; Institute of General and Experimental Biology of the Siberian Branch of the Russian Academy of Sciences [IGEB], Ulan-Ude, Russia; Russian Museum of Biodiversity Hotspots [RMBH], Federal Center for Integrated Arctic Research, the Ural Branch of the Russian Academy of Sciences, Arkhangelsk, Russia; Siberian Institute of Plant Physiology and Biochemistry of the Siberian Branch of the Russian Academy of Sciences [SIFIBR], Irkutsk, Russia; Sakhalin Regional Museum [SARM], Yuzhno-Sakhalinsk, Russia; Siberian Zoological Museum [SZMN], Institute of Animal Systematics and Ecology of the Siberian Branch of the Russian Academy of Sciences, Novosibirsk, Russia; Tobolsk Regional Museum [TORM], Tobolsk, Russia; Zoological Institute of the Russian Academy of Sciences [ZIN], Saint Petersburg, Russia; Zoological Museum of the Moscow University [ZMMU], Moscow, Russia; Federal Scientific Center of the East Asia Terrestrial Biodiversity of the Far East Branch of the Russian Academy of Sciences [FSCEATB FEB RAS], Vladivostok, Russia; and Institute for Biological Problems of Crylitozone of the Siberian Branch of the Russian Academy of Sciences [IBPC], Yakutsk, Russia. Additional samples of this rare species are kept in at least 10 private collections as follows: Finland Research Collection of R. Haverinen, Helsinki, Finland; private collection of T. & K. Nupponen, Espoo, Finland; private collections of H. Saarenmaa, M. Tähtinen, J. Tiittanen, K. Silvonen & R. Leinonen, Helsinki, Finland; private collection of V. Višinskas, Vilnius, Lithuania; private collection of A. Korshunov, Kemerovo, Russia; private collection of E. & O. Berlov, Irkutsk, Russia; private collection of Y. Sidelnikov, Khabarovsk, Russia; private collection of E. Koshkin, Khabarovsk, Russia; private collection of A. Timchenko, Moscow, Russia; and private collection of Yasunori Kishida, Tokyo, Japan. Here, we present 10 unpublished collection records, as well as corrected or expanded data on five published records.
Second, we searched for published records of A. menetriesii through online tools such as Web of Science, Scopus, and Google Scholar using the scientific name of this species (in combination with both generic names: Borearctia and Arctia) and its English, Finnish, and Russian common names (“Menetries’ Tiger Moth”, “idänsiilikäs”, and “медведица Менетрие”, respectively) as keywords. Additional data was collected from references cited in the works we have found. None of the public records was found in the iNaturalist online portal (https://www.inaturalist.org).
We consider that the Menetries’ Tiger Moth Range and Ecology Database (1840s-2020)52 represents a nearly complete resource on available records of A. menetriesii. Perhaps, a few additional specimens may be found in museum and private collections in China (not checked by us), and some singletons in private collections of Russian and European amateurs may have been overlooked. However, we estimate that the amount of records overlooked by us (if any) may not be higher than 8–12 (10–15% of the total number of records in our database) due to an exceptional rarity of this species.
Data processing
The collecting localities were georeferenced and verified using the Google Earth tool (https://www.google.com/intl/ru/earth). The same tool was used to assess the altitude of each locality, which was rounded to the nearest tenth. The altitude of mountain localities was additionally checked using available topographic maps and the ACE2 global digital elevation model63. More than half of the localities were precisely georeferenced (±10…500 m; N = 50; 64.1% of the total number of records). Other part of the localities share less precise co-ordinates (±1…10 km; N = 22; 28.2% of the total number of records). Four records (AM-075, AM-076, AM-077, and AM-078) were ascribed for vague localities34,35, and their co-ordinates listed in the database are approximate (±100…200 km). Finally, two records (AM-036 and AM-053) were left without co-ordinates because their localities were too vague for referencing purposes (the entire Lake Baikal and an unknown mountain in Yakutia, respectively).
Unfortunately, the holotype specimen of A. menetriesii (AM-075) is also among the group of rather uncertain records. The label of the holotype reads as “Songoria” (Fig. 2b). The original description states that “Haec Eupreria, ab illustrissimo D. Ménétriés ad describendum mihi communicata, campos Songariae inhabitat”35. In this case, Songoria most likely means the so-called Songoria rossica [=Russian Dzhungaria; currently East Kazakhstan]. This region contains desert areas and the Tarbagatai and Saur mountain ranges. Based on available data on the habitat spectrum of this species, it became clear that the holotype was collected somewhere in the mountains.
The Tarbagatai Mountains as the most probable type locality of the species first appeared in the Palearctic Lepidoptera catalogue of Staudinger and Rebel in 1901 but with a question mark40. Subsequent researchers in Finland and Russia followed the catalogue, placing the type locality within that mountain range37,41,42,64. Later, Dubatolov assumed that the type locality might be somewhere within the Saur Range33, which represents the eastern extremity of the Tarbagatai. In a subsequent work, Dubatolov listed the type locality as follows: “Mountains around Lake Zaysan, East Kazakhstan Region, Kazakhstan”65. This large lake is situated between the Southern Altai and Tarbagatai mountains. As a conclusion, the type locality of A. menetriesii cannot be identified with certainty but it is most likely somewhere within the Tarbagatai – Saur mountain system in East Kazakhstan. We therefore placed it in the middle of this range but with a high uncertainty level (±200 km).
Each georeferenced locality was assigned to the corresponding Bailey’s Ecoregion Division and Province66 using ESRI ArcGIS 10 software (https://www.esri.com/arcgis). The Bailey’s Ecoregion maps were downloaded from the UN Environment World Conservation Monitoring Centre (UNEP-WCMC), Cambridge, United Kingdom (https://www.unep-wcmc.org/resources-and-data/baileys-ecoregions-of-the-world). Ecoregion divisions are coded as follows: tundra (TD); Subarctic (SD); Subarctic regime mountains (SM); prairie (PD); prairie regime mountains (PM); warm continental regime mountains (WM); and hot continental regime mountains (HM). Ecoregion provinces are numbered as follows: (1) Arctic tundra; (2) continental and extreme continental light deciduous taiga; (3) continental dark evergreen needle-leaf taiga; (4) eastern oceanic taiga; (5) moderate continental dark evergreen needle-leaf taiga; (6) forest-creeping trees-tundra of extreme continental climate; (7) forest-tundra of moderately continental and continental climate; (8) open woodland-creeping trees-tundra; (9) open woodland-tundra; (10) continental steppe-forest-tundra and steppe-forest meadows; (11) oceanic forest-creeping trees; (12) forest-alpine meadows; and (13) small-leafed and coniferous wooded steppes of continental climate.
The WWF’s Global 200 Project established a system of Earth’s ecoregions and biomes67,68, which is widely used in biogeographic, ecological, and conservation surveys69,70. We therefore placed each georeferenced locality within these categories using ESRI ArcGIS 10 software (https://www.esri.com/arcgis).
All types of habitat were converged into five larger categories: mountain forest; plain forest; riparian forest (forest patches in river valley, stream valley or on lake shore); alpine meadows and tundra (open alpine habitats); and town (urban environments). For example, two specimens (AM-006 and AM-007) were collected in a half-open bog site surrounded by coniferous forest in Kuhmo, Finland. This habitat was assigned to the plain forest category. In each case, the original information on habitat and available data on plant cover at the collecting site could be seen in the “SAMPLE_DATA” field52.
The Julian calendar date of a historical sample (AM-043) collected in Russia before 1918 was changed to the Gregorian calendar (actual) date but both the historical and the actual date could be seen in the “SAMPLE_DATA” field52.
Data Records
The Menetries’ Tiger Moth Range and Ecology Database (1840s-2020) can be downloaded from figshare52. The main database is presented in XLSX format (ArcMenDB_1840_2020.xlsx). The corresponding reference list and museum collection codes are available as separate PDF files (ArcMenDB_RefList.pdf and ArcMenDB_Museum_ID.pdf, respectively). These files and the ZIP-archive with images (ArcMenDB_Images.zip) can be downloaded together with the database.
Each field name of the database is decoded and explained in Online-only Table 1. The database structure is illustrated in Fig. 3. A unique code (RECOR_ID) is assigned for each record listed in the database. Available label and field observation data on each sample of A. menetriesii is presented in the “SAMPLE_DATA” column (as a brief description). The sources of information for a given specimen are cited in the “REFS” (=References) column, while the full references for each record are listed in the “FULL_REFS” column. The complete list of references can also be downloaded as a separate PDF file (see above).
Information in the database is clustered into three large blocks: “Environment”, “Timeframe”, and “Biology” (Fig. 3). The “Environment” block contains geographic and environmental data on collecting localities such as the co-ordinates, their uncertainty, altitude, region, country, ecoregions (Bailey’s and WWF Global 200), habitat type, and the presence/absence of a waterbody. Available habitat images (format: JPEG and TIFF) are linked to this block via file names. The “Timeframe” block presents information on the day, ten-day-period, month, and year of a given record, as well as in which (odd or even) year it was collected. Finally, the “Biology” block contains information on a given specimen as follows: developmental stage (larva, imago, etc.), sex (imaginal records only), and condition (living or died). Available specimen images (both living and collection specimens; format: JPEG and TIFF) are linked to this block via file names.
Each parameter, factor levels, and linked data used in the database are described in Online-only Table 1. Furthermore, in this table we list the number of records, for which this parameter/factor/linked data is available. In total, the database contains 78 records but some of them lack certain data points as follows: co-ordinates (2), altitude (6), habitat (7), presence/absence of a waterbody (8), Bailey’s Ecoregion (2), The Global 200 Biome/Ecoregion (2), collecting day (17), ten-day period (14), month (11), year (7), sex (20), and condition (3). The habitat and specimen images are available for 10 and 29 records, respectively.
The geographic coverage of the database can be seen in Fig. 4a,b. The color areas on this figure indicate the approximate level of probability to find A. menetriesii specimens under certain geographic conditions based on the spline interpolation of the number of collected individuals per locality. The set of available georeferenced localities expands from 42.4°N to 71.9°N by latitude, from 24.4°E to 143.3°E by longitude, and from 10 to 1740 m by altitude. From the majority of the localities, singleton specimens were collected. However, there are eight localities with two or three recorded specimens in each, indicating the presence of permanent populations in these sites (one in Europe and seven in Siberia and the Far East; Fig. 4b). The environmental coverage of the database in relation to the altitude of collecting localities and the number of collected individuals is visualized in Figs. 5–6. Most non-singleton samples were collected from lowland to upland riparian forests of Siberia and the Far East between 0 and 1,200 m altitude (Fig. 5). Furthermore, the vast majority of specimens, including almost all non-singleton records, was sampled near a river or stream (Fig. 6).
Technical Validation
Experienced entomologists verified all the records and ecological data included to the database. Furthermore, we used only records that were based on collected specimens. None of the doubtful records such as those based solely on visual observations has been included. We cited and list corresponding references for records obtained from reliable published sources, while the museum storage was listed for every collection sample, if available. An uncertainty of geographic co-ordinates for each locality was estimated. Finally, all the authors carefully checked the complete database for possible technical failures and errors.
Code availability
No code was used in this study.
References
Urban, M. C. Accelerating extinction risk from climate change. Science 348, 571–573 (2015).
Goulson, D. The insect apocalypse, and why it matters. Curr. Biol. 29, R967–R971 (2019).
Wagner, D. L. Insect declines in the Anthropocene. Annu. Rev. Entomol. 65, 457–480 (2020).
Heikkinen, R. K. et al. Assessing the vulnerability of European butterflies to climate change using multiple criteria. Biodivers. Conserv. 19, 695–723 (2010).
Montgomery, G. A. et al. Is the insect apocalypse upon us? How to find out. Biol. Conserv. 241, 108327 (2020).
Hufnagel, L. & Kocsis, M. Impacts of climate change on Lepidoptera species and communities. Appl. Ecol. Environ. Res. 9, 43–72 (2011).
Geyle, H. M. et al. Butterflies on the brink: identifying the Australian butterflies (Lepidoptera) most at risk of extinction. Austral Entomol. 60, 98–110 (2021).
Merckx, T., Huertas, B., Basset, Y. & Thomas, J. A global perspective on conserving butterflies and moths and their habitats. Key Topics in Conservation Biology 2, 237–257 (2013).
New, T. R. Moths (Insecta: Lepidoptera) and conservation: background and perspective. J. Insect Conserv. 8, 79–94 (2004).
Wagner, D. L., Fox, R., Salcido, D. M. & Dyer, L. A. A window to the world of global insect declines: Moth biodiversity trends are complex and heterogeneous. Proc. Natl. Acad. Sci. USA 118, e2002549117 (2021).
Van Langevelde, F. et al. Declines in moth populations stress the need for conserving dark nights. Glob. Chang. Biol. 24, 925–932 (2018).
Green, K. et al. Australian Bogong moths Agrotis infusa (Lepidoptera: Noctuidae). 1951–2020: decline and crash. Austral Entomol. 60, 66–81 (2021).
Sánchez‐Bayo, F. & Wyckhuys, K. A. Further evidence for a global decline of the entomofauna. Austral Entomol. 60, 9–26 (2021).
Rönkä, K., Mappes, J., Kaila, L. & Wahlberg, N. Putting Parasemia in its phylogenetic place: a molecular analysis of the subtribe Arctiina (Lepidoptera). Syst. Entomol. 41, 844–853 (2016).
Witt, T. J., Speidel, W., Ronkay, G., Ronkay, L. & László, G. M. Subfamilia Arctiinae in Noctuidae Europaeae. Volume 13. Lymantriinae and Arctiinae including phylogeny and check list of the quadrifid Noctuoidea of Europe (eds. Witt, T. J. & Ronkay, L.) 81-216 (Entomological Press, 2011).
Dowdy, N. J. et al. A deeper meaning for shallow‐level phylogenomic studies: nested anchored hybrid enrichment offers great promise for resolving the tiger moth tree of life (Lepidoptera: Erebidae: Arctiinae). Syst. Entomol. 45, 874–893 (2020).
Zahiri, R. et al. Molecular phylogenetics of Erebidae (Lepidoptera, Noctuoidea). Syst. Entomol. 37, 102–124 (2012).
Holloway, J. D. The Moths of Borneo 6: family Arctiidae, subfamilies: Syntominae, Euchromiinae, Arctiinae; Noctuidae misplaced in Arctiidae (Camptoma, Aganinae) (Southdene Sdn. Bhd., 1988).
Černý, K. & Pinratana, A. Arctiidae. Moths of Thailand 6, 1–283 (2009).
Černý, K. A review of the subfamily Arctiinae (Lepidoptera: Arctiidae) from the Philippines. Entomofauna 32, 29–92 (2011).
Bucsek, K. Erebidae, Arctiinae (Lithosiini, Arctiini) of Malay Peninsula – Malaysia (Institut of Zoology SAS, 2012).
Bolotov, I. N., Kondakov, A. V. & Spitsyn, V. M. A review of tiger moths (Lepidoptera: Erebidae: Arctiinae: Arctiini) from Flores Island, Lesser Sunda Archipelago, with description of a new species and new subspecies. Ecol. Montenegrina 16, 1–15 (2018).
Dubatolov, V. V. New genera and species of Arctiinae from the Afrotropical fauna (Lepidoptera: Arctiidae). Nachr. Entomol. Ver. Apollo 27, 139–152 (2006).
Ferro, V. G., Melo, A. S. & Diniz, I. R. Richness of tiger moths (Lepidoptera: Arctiidae) in the Brazilian Cerrado: how much do we know? Zoologia (Curitiba) 27, 725–731 (2010).
Schmidt, B. C. A new genus and two new species of arctiine tiger moth (Noctuidae, Arctiinae, Arctiini) from Costa Rica. Zookeys 9, 89–96 (2009).
Dubatolov, V. V. Tiger-moths of Eurasia (Lepidoptera, Arctiidae) (Nyctemerini by Rob de Vos and V. V. Dubatolov). Neue Ent. Nachr. 65, 1–106 (2010).
Fibiger, M. et al. Lymantriinae and Arctiinae, including phylogeny and check list of the quadrifid Noctuoidea of Europe. Noctuidae Europaeae 13, 1–448 (2011).
Koshkin, E. S. Moths (Lepidoptera, Macroheterocera, excluding Geometridae and Noctuidae s.l.) of the Bureinsky State Nature Reserve and adjacent territories (Khabarovsk Krai, Russia) [In Russian]. Amur. Zool. J. 12, 412–435 (2020).
Kullberg, J., Filippov, B. Y., Spitsyn, V. M., Zubrij, N. A. & Kozlov, M. V. Moths and butterflies (Insecta: Lepidoptera) of the Russian Arctic islands in the Barents Sea. Polar Biol. 42, 335–346 (2019).
Bolotov, I. N. et al. The distribution and biology of Pararctia subnebulosa (Dyar, 1899) (Lepidoptera: Erebidae: Arctiinae), the largest tiger moth species in the High Arctic. Polar Biol. 38, 905–911 (2015).
Bolotov, I. N. et al. New occurrences, morphology, and imaginal phenology of the rarest Arctic tiger moth Arctia tundrana (Erebidae: Arctiinae). Ecol. Montenegrina 39, 121–128 (2021).
Bolotov, I. N., Gofarov, M. Y., Kolosova, Y. S. & Frolov, A. A. Occurrence of Borearctia menetriesii (Eversmann, 1846) (Erebidae: Arctiinae) in Northern European Russia: a new locality in a disjunct species range. Nota Lepidopterol. 36, 65–75 (2013).
Dubatolov, V. V. Borearctia gen. n., a new genus for the tiger moth Callimorpha menetriesi (Ev.) (Lepidoptera, Arctiidae) [In Russian]. Entomol. Rev. 63, 157–161 (1984).
Hori, H. An unrecorded species of the Arctiidae [In Japanese]. Kontyu 1, 86 (1926).
Eversmann, E. Lepidoptera quaedam nova in Rossia observata. Bulletin de la Société Impériale des Naturalistes de Moscou 19, 83–88 (1846).
Koshkin, E. S. Life history of the rare boreal tiger moth Arctia menetriesii (Eversmann, 1846) (Lepidoptera, Erebidae, Arctiinae) in the Russian Far East. Nota Lepidopterol. 44, 141–151 (2021).
Krogerus, H. D. Vorkommen von Callimorpha menetriesi Ev. in Fennoskandien, nebst Beschriebungen der verschiedenen Entwicklungsstadien [In German]. Not. Entomol. 24, 79–86 (1944).
Saarenmaa, H. Conservation ecology of Borearctia menetriesii [online]. http://www.bormene.myspecies.info/en (2011-2021).
Berlov, O. E. & Bolotov, I. N. Record of Borearctia menetriesii (Eversmann, 1846) (Lepidoptera, Erebidae, Arctiinae) larva on Aconitum rubicundum Fischer (Ranunculaceae) in Eastern Siberia. Nota Lepidopterol. 38, 23–27 (2015).
Staudinger, O. & Rebel, H. Catalog der Lepidopteren des palaearctischen Faunengebietes. Vol. 1. Th. Famil. Papilionidae-Hepialidae (R. Friedländer & Sohn, 1901).
Filipiev, I. Lepidoptera [In Russian]. Russkoe Entomologicheskoe Obozrenie 16, 376–378 (1916).
Fabritius, G. R. Anmärkningsvärda fynd av fjärilar, bland dessa den för Europa nya Callimorpha menetriesii Ev. [In Finnish]. Meddeland. Soc. Fauna Fl. Fenn. 40, 47–49 (1914).
Carpelan, J. Callimorpha menetriesii Ev. återfunnen [In Finnish]. Meddeland. Soc. Fauna Fl. Fenn. 48, 108–109 (1921).
Kurentzov, A. I. Zoogeography of the Amur Region [In Russian] (Nauka Publisher, 1965).
Dubatolov, V. V. Tiger moths (Lepidoptera, Arctiidae: Arctiinae) of South Siberian mountains (report 2) [In Russian] in Arthropods and Helminths, Fauna of Siberia Series (ed. Zolotarenko, G. S.) 139–169 (Nauka Publisher, 1990).
Klitin, A. K. New record of the tiger moth Borearctia menetriesii on Sakhalin Island [In Russian]. Bulletin of Sakhalin Museum 16, 269–271 (2009).
Nupponen, K. & Fibiger, M. Additions to the checklist of Bombycoidea and Noctuoidea of the Volgo-Ural region. Part II. (Lepidoptera: Lasiocampidae, Erebidae, Nolidae, Noctuidae). Nota Lepidopterol. 35, 33–50 (2012).
Koshkin, E. S. Preliminary results of the examination of the fauna of Higher Moths (Macroheterocera, excluding Geometridae and Noctuidae) of the upper Bureya River basin (Khabarovsk Region) [In Russian]. Proceedings of Grodekovsky Museum (Nature of the Far East) 24, 65–75 (2010).
Marttila, O., Saarinen, K., Haahtela, T. & Pajari, M. Idänsiilikäs Borearctia menetriesi (Eversmann, 1846) [In Finnish] in Suomen kiitäjät ja kehrääjät [Macrolepidoptera of Finland] 265–266 (Kirjayhtymä Oy, 1996).
Lappi, E., Mikkola, K. & Ryynänen, J. Idänsiilikäs Borearctia menetriesii, tervetuloa takaisin! [Welcome back Borearctia menetriesii] [In Finnish]. Baptria 29, 28–29 (2004).
Silvonen, K. Borearctia Dubatolov, 1985 [online]. Kimmo’s Lepidoptera Site, Finland. http://www.kolumbus.fi/~kr5298/lnel/a/bormenet.htm (2010).
Bolotov, I. N. et al. Menetries’ Tiger Moth Range and Ecology Database (1840s-2020). figshare https://doi.org/10.6084/m9.figshare.15000399 (2022).
Dirzo, R. et al. Defaunation in the Anthropocene. Science 345, 401–406 (2014).
Young, H. S., McCauley, D. J., Galetti, M. & Dirzo, R. Patterns, causes, and consequences of anthropocene defaunation. Annu. Rev. Ecol. Evol. Syst. 47, 333–358 (2016).
Conrad, K. F., Warren, M. S., Fox, R., Parsons, M. S. & Woiwod, I. P. Rapid declines of common, widespread British moths provide evidence of an insect biodiversity crisis. Biol. Conserv. 132, 279–291 (2006).
Sánchez-Bayo, F. & Wyckhuys, K. A. G. Worldwide decline of the entomofauna: A review of its drivers. Biol. Conserv. 232, 8–27 (2019).
Simmons, B. I. et al. Worldwide insect declines: An important message, but interpret with caution. Ecol. Evol. 9, 3678–3680 (2019).
Didham, R. K. et al. Interpreting insect declines: seven challenges and a way forward. Insect Conserv. Diver. 13, 103–114 (2020).
Boyes, D. H., Evans, D. M., Fox, R., Parsons, M. S. & Pocock, M. J. Is light pollution driving moth population declines? A review of causal mechanisms across the life cycle. Insect Conserv. Diver. 14, 167–187 (2021).
Raven, P. H. & Wagner, D. L. Agricultural intensification and climate change are rapidly decreasing insect biodiversity. Proc. Natl. Acad. Sci. USA 118, e2002548117 (2021).
Wagner, D. L., Grames, E. M., Forister, M. L., Berenbaum, M. R. & Stopak, D. Insect decline in the Anthropocene: Death by a thousand cuts. Proc. Natl. Acad. Sci. USA 118, e2023989118 (2021).
Schowalter, T. D., Pandey, M., Presley, S. J., Willig, M. R. & Zimmerman, J. K. Arthropods are not declining but are responsive to disturbance in the Luquillo Experimental Forest, Puerto Rico. Proc. Natl. Acad. Sci. USA 118, e2002556117 (2021).
Berry, P. A. M., Smith, R. G. & Benveniste, J. ACE2: the new global digital elevation model in Gravity, Geoid and Earth Observation (ed. Mertikas, S. P.) 231–237 (Springer, 2010).
Kurentzov, A. I. My travels [In Russian] (Far Eastern Publishing House, 1973).
Dubatolov, V. V. A catalogue of type specimens of Palaearctic tiger moths (Lepidoptera, Arctiidae, Arctiinae) preserved in the collection of the Zoological Institute of Russian Academy of Sciences (St. Petersburg) [In Russian]. Entomol. Rev. 75, 338–356 (1996).
Bailey, R. G. Explanatory Supplement to Ecoregions Map of the Continents. Environ. Conserv. 16, 307–309 (1989).
Olson, D. M. & Dinerstein, E. The Global 200: Priority ecoregions for global conservation. Ann. Mo. Bot. Gard. 89, 199–224 (2002).
Olson, D. M. et al. Terrestrial Ecoregions of the World: A New Map of Life on Earth. BioScience 51, 933–938 (2001).
Beaumont, L. J. et al. Impacts of climate change on the world’s most exceptional ecoregions. Proc. Natl. Acad. Sci. USA 108, 2306–2311 (2011).
Smith, J. R. et al. A global test of ecoregions. Nat. Ecol. Evol. 2, 1889–1896 (2018).
Acknowledgements
The Ministry of Science and Higher Education of the Russian Federation partly supported this work (project No. FUUW-2022–0056 to I.N.B., M.Y.G., and A.V.K., project No. 121021500060-4 to E.S.K., project No. 121030900138-8 to S.Y.G., project No. 075-15-2021-1069 to S.Y.S., and project No. FUUW-2022-0039 to Y.S.K and V.M.S.). The Research and Educational Center “Russian Arctic: new materials, technologies and research methods” supported A.V.K. The Northern Arctic Federal University covered an open access fee for this article. We are grateful to Matti Ahola (Reisjärvi, Finland), Pekka Alestalo (Helsinki, Finland), Evgeny A. Beljaev (Vladivostok, Russia), Vladimir V. Dubatolov (Novosibirsk, Russia), Alexander I. Ermakov (Yekaterinburg, Russia), Pavel Yu. Gorbunov (Yekaterinburg, Russia), Dmitry V. Goshko (Moscow, Russia), Axel Hausmann (Munich, Germany), Yasunori Kishida (Tokyo, Japan), Vladimir S. Kononenko (Vladivostok, Russia), Oleg V. Korsun and Nadezhda O. Korsun (Chita, Russia), Pasi Sihvonen (Kirkkonummi, Finland), Kimmo Silvonen (Espoo, Finland), Pavel S. Sitnikov (Tyumen, Russia), and Marko Tähtinen (Espoo, Finland) for their generous help during this study.
Author information
Authors and Affiliations
Contributions
I.N.B. designed the database and collected published records. E.S.K., K.N., H.S., Y.I.B., O.E.B., S.Y.G., R.H., A.V.K., S.Y.S., S.S.S., E.G.S., and A.V.T. provided additional data and images on original, published, public museum, and private collection records. M.Y.G. prepared the map. I.N.B. wrote a first draft of the paper with input from E.S.K., V.V.G., Y.S.K, G.S.P, V.M.S., R.H., K.N., and H.S. All the co-authors reviewed and discussed the final version of the database, linked data, and the manuscript.
Corresponding author
Ethics declarations
Competing interests
The authors declare no competing interests.
Additional information
Publisher’s note Springer Nature remains neutral with regard to jurisdictional claims in published maps and institutional affiliations.
Online-only Table
Rights and permissions
Open Access This article is licensed under a Creative Commons Attribution 4.0 International License, which permits use, sharing, adaptation, distribution and reproduction in any medium or format, as long as you give appropriate credit to the original author(s) and the source, provide a link to the Creative Commons license, and indicate if changes were made. The images or other third party material in this article are included in the article’s Creative Commons license, unless indicated otherwise in a credit line to the material. If material is not included in the article’s Creative Commons license and your intended use is not permitted by statutory regulation or exceeds the permitted use, you will need to obtain permission directly from the copyright holder. To view a copy of this license, visit http://creativecommons.org/licenses/by/4.0/.
About this article
Cite this article
Bolotov, I.N., Gofarov, M.Y., Koshkin, E.S. et al. A nearly complete database on the records and ecology of the rarest boreal tiger moth from 1840s to 2020. Sci Data 9, 107 (2022). https://doi.org/10.1038/s41597-022-01230-8
Received:
Accepted:
Published:
Version of record:
DOI: https://doi.org/10.1038/s41597-022-01230-8








