Fig. 7
From: Chromosome-level reference genome and annotation of the Arctic fish Anisarchus medius

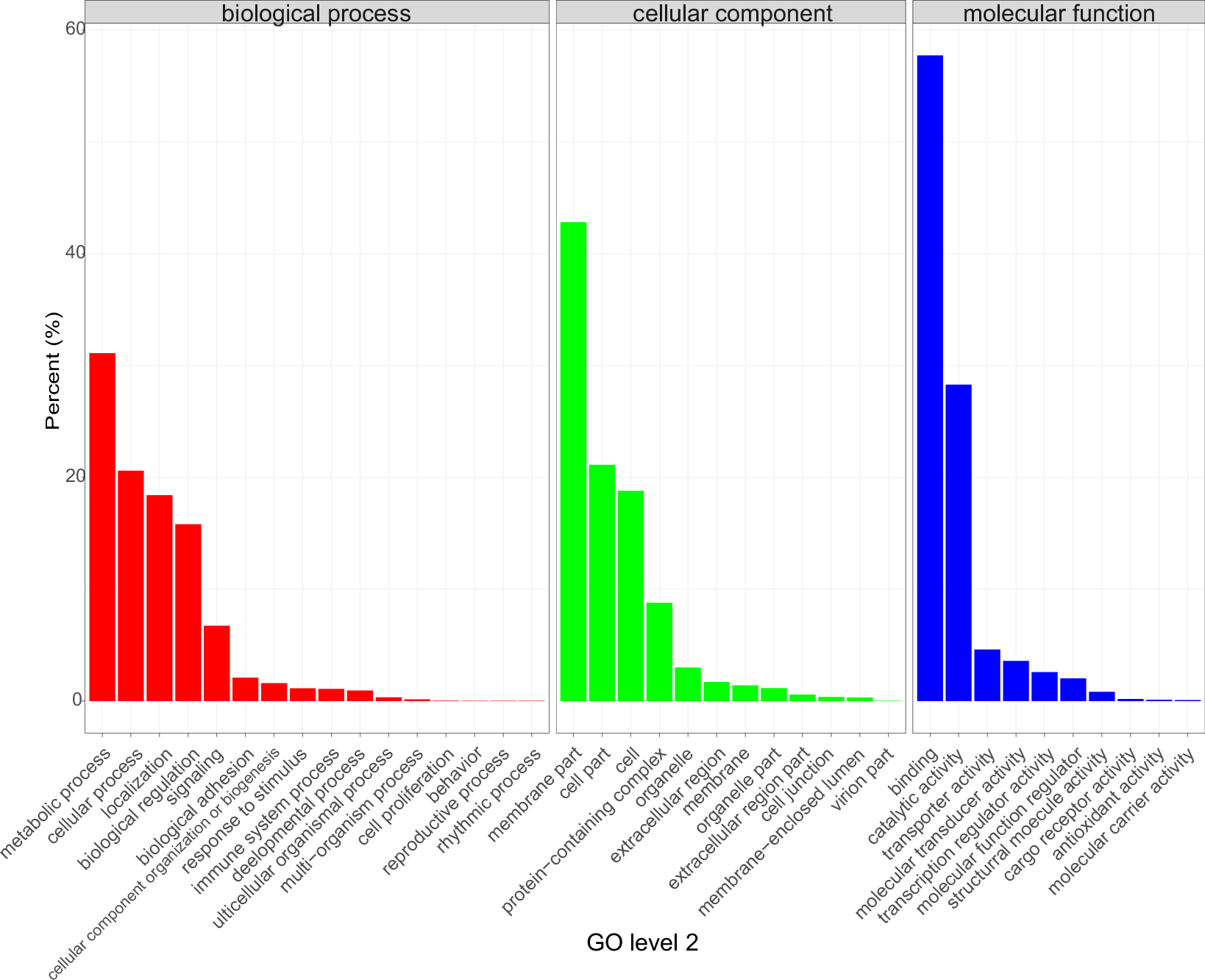
Protein-coding gene annotations for Gene Ontology (GO) in A. medius genome.
From: Chromosome-level reference genome and annotation of the Arctic fish Anisarchus medius

Protein-coding gene annotations for Gene Ontology (GO) in A. medius genome.