Abstract
The Guineo-Congolian region, extending from Guinea in West Africa to the central part of Africa, is considered an important biodiversity hotspot in the Afrotropics. Aside from the underreporting and underestimation of freshwater ecosystems, the challenges regarding incorrect coordinates and taxonomical inaccuracies in freshwater species occurrence data pose another major hurdle that may hinder freshwater conservation efforts in the hotspot. Hence, for any biogeographic analysis, species distribution modelling or conservation initiative, it is crucial to use datasets that are, to the largest possible extent, free of spatial and taxonomic errors. We present the final output of 8,809 occurrences consisting of 4 phyla, eight classes, 32 orders, and 1,104 species. We also added the Hydrography90m stream network attributes to the macroinvertebrate occurrence records, such that the data spans across 2,890 sub-catchments and Strahler stream orders 1–12. These records are considered valid and can be used for biogeographic analysis of freshwater macroinvertebrates in this important yet understudied freshwater biodiversity hotspot.
Similar content being viewed by others
Background & Summary
Freshwater biodiversity has been progressively declining over the past few decades at a higher rate than its terrestrial and marine equivalents1,2,3,4. The rate of freshwater species extinction over the years has led scientists to suggest that we are now living in the freshwater biodiversity crisis era5,6. Many freshwater species are globally threatened; for example, fish are the vertebrates with the highest rate of extinction in the 20th century7, and freshwater mussels are among the most threatened species globally8. To be more precise, the Afrotropics, Indio-Pacific, and Neotropics are experiencing the greatest declines in freshwater biodiversity worldwide9. Despite increasing global awareness, freshwater biodiversity in the Afrotropics still receives less conservation attention9,10,11. This is despite the fact that about 80% of the world’s freshwater macroinvertebrates are reportedly found in the tropics12,13, the majority of which are poorly documented9. This makes the need to conserve freshwater biodiversity in the region all the more urgent. Several calls to bend the curve of global freshwater biodiversity decline have been made in response to the current scenario1,2,4,14. The need to bend the curve cannot be overemphasised if the United Nations’ Sustainable Development Goal 15-Target 15.1 (UN SDG 15, inland biodiversity) for 203015 is to be achieved. To achieve this goal and freshwater biodiversity conservation, adequate information about the many inland taxonomic groups and their geographic distributions is crucial9,16.
The Guineo-Congolian zoogeographical region is one of the defining features of the Afrotropical realm, which comprises the Gulf of Guinea islands as well as the tropical rainforest belt across West and Central Africa. It can be subdivided into the upper and lower sub-regions and is bordered to the north, east, and south by the African region17. The Guinean Freshwater Biodiversity Hotspot begins in Guinea and extends eastward to other parts of West Africa along the Gulf of Guinea, passing through the countries of Sierra Leone, Liberia, Côte d’Ivoire, Ghana, Togo, Benin, Nigeria, the southwest region of Cameroon, Sao Tome and Principe, and the Equatorial Guinea offshore islands18. The Congo Basin extends from the coast of the Atlantic Ocean in the west and spans through Cameroon, the Congo Republic, the Democratic Republic of Congo, Gabon, and the Central African Republic19. Altogether, the two forests are described as the Guineo-Congolian region17. The upper sub-region extends from Guinea into Benin18, while the lower sub-region extends from Nigeria to the central part of Africa18,19. The region is reported to harbour several endemic and threatened macroinvertebrates, e.g., dragonflies, molluscs, and crustaceans20,21,22.
Currently, this crucial African biodiversity hotspot lacks a comprehensive database of freshwater macroinvertebrates that covers all of the essential taxa in the countries that make up the region. Since many taxa (such as dragonflies, mayflies, stoneflies, and caddisflies) alternate between freshwater and forest ecosystems23, freshwater macroinvertebrates are not only an essential bioindicator of healthy freshwater ecosystems but also of healthy (riparian) forest ecosystems24,25,26. Thus, in order to achieve UN SDG 1515 with regard to the Guineo-Congolian region, a sufficient understanding of the geographic distribution of the region’s freshwater macroinvertebrates is essential.
To address this challenge, we compiled geographic occurrence data of freshwater macroinvertebrates from fourteen countries in the west and central parts of Africa, excluding Sao Tome and Principe, for which there was no record. We present data from published articles through personal field surveys and the Global Biodiversity Information Facility (GBIF) database from 1880 to 2024 across seven countries in the Upper Guineo-Congolian sub-region (Guinea, Sierra Leone, Liberia, Cote d’Ivoire, Ghana, Togo, and Benin) and seven countries in the Lower Guineo-Congolian sub-region (Nigeria, Cameroon, Equatorial Guinea, the Congo Republic, the Democratic Republic of the Congo, the Central African Republic, and Gabon). Given that, until now, the whole extent of the Guineo-Congolian region was considered a biodiversity hotspot, with no detailed information on how spatially distributed macroinvertebrate taxa are in the region, our new dataset provides a valuable basis to address the spatial distribution of 1,104 macroinvertebrate species, including rare and threatened species, for a more accurate delineation of freshwater biodiversity hotspots in this region. The data hence contributes to closing the knowledge gap regarding the spatial distribution of freshwater macroinvertebrates in the Guineo-Congolian biodiversity hotspot by supporting spatial freshwater biodiversity research in this region.
Methods
We collated geographic occurrence data for freshwater macroinvertebrates in the Guineo-Congolian region from two main sources: published articles and the Global Biodiversity Information Facility (GBIF, https://www.gbif.org) platform. We collated data from published articles through search engines such as Google Scholar and PubMed. We narrowed the search to 15 countries and used the following keywords “freshwater + macroinvertebrates + <country name>”. For instance, we used ‘freshwater + macroinvertebrates + Cameroon’ to search for published findings on the occurrence records in Cameroon. In addition, we specified the following macroinvertebrate orders in the search: Ephemeroptera, Plecoptera, Trichoptera, Odonata, Unionida, and Decapoda (for instance, ‘freshwater + Ephemeroptera + Cote d’Ivoire’). We also collated data for Ephemeroptera, Plecoptera, Trichoptera, Odonata, and Unionida from the GBIF (https://doi.org/10.15468/dl.juf33a) database27. Using the rgbif R-package28,29, we extracted data for 27 parameters which include information about taxonomic categories, geographical information, sampling time, sampling location, and source. Since Hemiptera, Coleoptera, and Gastropoda are not exclusively freshwater taxa, we used the families that are predominantly freshwater inhabitants to extract species occurrences for the taxa from the GBIF database (https://doi.org/10.15468/dl.pbdums for Hemiptera and Coleoptera30, and https://doi.org/10.15468/dl.rsbw7w for Gastropoda31. The exclusively freshwater hemipteran and coleopteran families of the region include Noteridae, Hydraenidae, Hygrobiidae, Dytiscidae, Hydrophilidae, Naucoridae, Notonectidae, Gerridae, Gyrinidae, Psephenidae, Nepidae, Veliidae, Pleidae, Micronectidae, Belostomatidae, and Mesoveliidae32,33,34,35,36,37. Also, we collated data from the GBIF database for Platyhelminthes38 (https://doi.org/10.15468/dl.k28vsg) and Decapoda39 (https://doi.org/10.15468/dl.9n98gd). In addition, we used the regional freshwater biodiversity records22, which also contain the mollusc genera Lymnaea, Ferrissia, Biomphalaria, Indoplanorbis, Bulinus, Aplexa, and Physa as clues for extracting freshwater gastropod occurrences from the GBIF database. Altogether, we collected data on a variety of macroinvertebrate taxa, i.e., Annelida, Platyhelminthes, Decapoda, Odonata, Ephemeroptera, Plecoptera, Trichoptera, Hemiptera, Coleoptera, Gastropoda, and Bivalvia (Table 1). Altogether, data from published articles consist of ~11% of the occurrence records, while data from the GBIF platform consist of ~89%. Using the hydrographr R-package40, we extracted the corresponding sub-catchment ID, the Strahler stream order and the elevation of the Hydrography90m stream network41 for all occurrences (see the code in “Hydrography90m_data.r”).
Data Records
The file “GuineoCongolian_spdata.xls” contains a total of 8,809 occurrence records including the taxa, country code, coordinates, sampling location, sampling date, and the attributes of the Hydrography90m stream network (sub-catchment ID, elevation and Strahler stream order). We provide this file after removing duplicate occurrences, the correction of species’ spelling errors regarding their taxonomy, and after cleaning the coordinates. We also provide the original file such that potential users can apply custom data cleaning procedures if needed (“Guineo_Congolian_raw_data.xls”). All data42 are available at https://doi.org/10.18728/igb-fred-899.0.
In all, final occurrence records consist of four phyla, eight classes, 32 orders, and 1,104 species (Table 1). For the sake of data management, the macroinvertebrates are also classified into different groups (Table 2) that are often reported in the literature20,22,43,44. Hymenoptera and Lepidoptera, which are insect taxa, though rarely reported in the region, were also included in the major taxonomic groups. The macroinvertebrate occurrence spans across 2,890 catchments and 12 stream orders. The number of occurrence records and species richness decreased progressively from stream order 1 to 12 (Table 3). The occurrence records for the headwater streams was approximately 73% of the total records, and they also had the highest species richness compared with the medium streams and the largest streams and rivers.
We supply the database in a single 2.37MB csv-file (“GuineoCongolian_spdata.csvs”), comprising 34 columns and 8,809 rows. The spatial map of freshwater macroinvertebrate distribution in the hotspot is shown in Fig. 1. The online, interactive map can also be visualised via https://glowabio.org/project/guineo-congolian_biodiversity/).
The map of freshwater macroinvertebrates in the Guineo-Congolian biodiversity hotspot, with blue points representing the 8,809 occurrence records. Coloured areas represent drainage basins of the Hydrography90m dataset. The online, interactive map can be accessed via https://glowabio.org/project/guineo-congolian_biodiversity/.
Technical Validation
In some instances, especially for the published articles, the coordinates of species occurrences did not spatially match with the mentioned river, stream, or lake. In such instances, we used the GEOLocate Software (https://www.geo-locate.org/web/WebGeoref.aspx) to verify the specific location by using clues such as the name of the water body or nearby human settlement45. Once verified through the GEOLocate software, we supplied the coordinates for such occurrences. Also, we converted coordinates that were expressed in degrees, minutes and seconds, in published articles and unpublished field records, to decimal degree latitudes or longitudes. To ensure a taxonomic correctness of all species, we used the taxize R-package (https://github.com/ropensci/taxize). The preferred data sources for this function were Encyclopedia of Life, Zoobank registered names, and the GBIF backbone taxonomy. We further cleaned the taxized dataset using the CoordinateCleaner R-package46 (see also the code in “Species_data_compilation_cleaning_r”) by removing all duplicated records, and all records within 1 km (i) of country centroids, (ii) capital centroids, (iii) of zoo and herbaria, (iv) all sea records.
Usage Notes
We provide a checklist of freshwater invertebrates in the Guineo-Congolian region with their geographical information (coordinates, countries, localities), sampling time, and the respective sub-catchment, Strahler stream order, and elevation of each record. This database could, thus, serve as a working tool for modelling the actual and potential distributions of freshwater macroinvertebrates in the region. Future predictions can also be made for the various species vis-à-vis the anthropogenic threats that characterise the Anthropocene, e.g., global climate change and deforestation47,48.
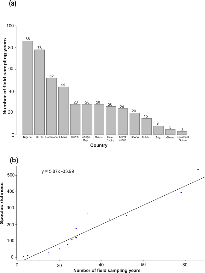
We highlight that the spatial patterns shown in the distribution of freshwater macroinvertebrates in the Guineo-Congolian region indicate that some countries are underreported, especially countries in the upper Guineo-Congolian sub-region. The trend reported in this study may not necessarily be an indication of biodiversity richness in each country or sub-region, but rather of the scientific efforts deployed in field samplings and recordings over the years (Fig. 2a). A generalised linear model of the number of field sampling years and species richness indicates a very strong and direct relationship in the region: the higher the sampling effort, the higher the species richness (Fig. 2b). This is a clear indication that freshwater invertebrates in such countries (e.g., Guinea, Sierra Leone, Togo, Benin, Equatorial Guinea, and Central African Republic) need to be intensively sampled. Recent field samplings in some previously unreported Guineo-Congolian freshwater systems led to the discovery of some threatened macroinvertebrates. Such species include Pentaphlebia stahli16, Africocypha centripunctata, and Allocnemis vicki49, which could have gone unreported if they were not sampled.
The importance of headwater streams as biodiversity refuges is also established by the species richness of freshwater macroinvertebrates among the stream orders. Threatened species such as P. stahli, A. centripunctata, and A. vicki were recorded in the headwater streams (Strahler stream orders 1–3). This buttresses the assertions of various scientists that the contributions of headwater streams to the overall biodiversity of river networks are quite enormous in terms of species richness and as habitats for rare and threatened species50,51. The disproportionately low numbers of macroinvertebrate records and species in large rivers of the hotspot could also be due to logistic reasons, since smaller streams are wadable and are thus easier to sample than large rivers. However, it would be important to highlight that large rivers may harbour important undescribed freshwater species in the Guineo-Congolian region.
There is a clear indication that if the sampling effort in these countries and sub-regions is intensified, especially for under-reported but critical macroinvertebrate taxa like Ephemeroptera-Plecoptera-Trichoptera (EPT), Unionida, and Decapoda, more freshwater macroinvertebrate species could be detected or described (see Fig. 2b). The EPT taxa in particular are commonly used as bioindicators for freshwater ecosystem health in numerous national monitoring programs11,52. The bulk of the data on freshwater macroinvertebrates in the region is on Odonata, which has been intensively studied by odonatologists and citizen scientists since they are ubiquitous in both freshwater (as larvae) and riparian (as adults) systems, unlike other aquatic insect taxa21,53,54. It is also worth noting that many occurrence records (EPT and other taxa) in published articles for the region were only identified at the family or generic level. Such records were excluded from our database since the focus was on reporting the species. Hence, this important biodiversity hotspot can still be considered data-deficient in the aforementioned under-reported taxa.
Since it is hypothesised that sample size and frequency are positively correlated with species richness55, the importance of intensive macroinvertebrate sampling in under-reported Guineo-Congolian countries, and on the under-reported taxa cannot be overemphasised.
Code availability
The data42 (GuineoCongolian_spdata.csv) as well as the codes (“Species_data_compilation_cleaning.r” and “Hydrography90m_data.r”) are officially deposited at https://doi.org/10.18728/igb-fred-899.0.
References
Darwall, W. et al. The alliance for freshwater life: A global call to unite efforts for freshwater biodiversity science and conservation. Aquat. Conserv. Mar. Freshw. Ecosyst. 28, 1015–1022, https://doi.org/10.1002/aqc.2958 (2018).
Reid, A. J. et al. Emerging threats and persistent conservation challenges for freshwater biodiversity. Biol. Rev. 94(3), 849–87394, https://doi.org/10.1111/brv.12480 (2019).
World Wildlife Fund. in Living Planet Report 2020—Bending the Curve of Biodiversity Loss, Vol. 35(3) (eds Almond, R.E.A., Grooten, M. & Petersen, T.) (WWF, Gland, Switzerland, 2021).
Ottoni, F. P., South, J., Azevedo-Santos, V. M., Henschel, E. & de Bragança, P. H. N. Editorial: Freshwater biodiversity crisis: Multidisciplinary approaches as tools for conservation. Front. Environ. Sci. 11, 1155608, https://doi.org/10.3389/fenvs.2023.1155608 (2023).
Harrison, I. et al. The freshwater biodiversity crisis. Science 362(6421), 1369, https://doi.org/10.1126/science.aav9242 (2018).
Albert, J. S. et al. Scientists’ warning to humanity on the freshwater biodiversity crisis. Ambio 50, 85–94, https://doi.org/10.1007/s13280-020-01318-8 (2020).
Burkhead, N. M. Extinction rates in North American freshwater fishes, 1900–2010. BioScience 62, 798–808, https://doi.org/10.1525/bio.2012.62.9.5 (2012).
Lopes-Lima, M. et al. Conservation of freshwater bivalves at the global scale, diversity, threats and research needs. Hydrobiologia 810, 1–14, https://doi.org/10.1007/s10750-017-3486-7 (2018).
Sundar et al. Conservation of freshwater macroinvertebrate biodiversity in tropical regions. Aquatic Conserv: Mar Freshw Ecosyst. 30, 1238–1250, https://doi.org/10.1002/aqc.3326 (2020).
Boyero, L., Ramirez, A., Dudgeon, D. & Pearson, R. G. Are tropical streams really different? J. North Am. Benthol. Soc. 28, 397–403, https://doi.org/10.1899/08-146.1 (2009).
Akindele, E. O. et al. Conservation evaluation of three Nigerian streams in different vegetation zones demonstrates why pristine freshwater ecosystems in the Afrotropics should be protected. Aquatic Conserv: Mar Freshw Ecosyst. 32, 702–709, https://doi.org/10.1002/aqc.3778 (2022).
Dudgeon, D. The contribution of scientific information to the conservation and management of freshwater biodiversity in tropical Asia. Hydrobiologia 500, 295–314, https://doi.org/10.1023/A:1024666627070 (2003).
Dudgeon, D. The impacts of human disturbance on stream benthic invertebrates and their drift in North Sulawesi, Indonesia. Freshw. Biol. 51, 1710–1729, https://doi.org/10.1111/j.1365-2427.2006.01596.x (2006).
Tickner, D. et al. Bending the curve of global freshwater biodiversity loss: an emergency recovery plan. BioScience 70(4), 330–342, https://doi.org/10.1093/biosci/biaa002 (2020).
United Nations, Department of Economic and Social Affairs (UN DESA). Transforming Our World: The 2030 Agenda for Sustainable Development. Resolution Adopted by the UN General Assembly. https://sustainabledevelopment.un.org/post2015/transformingourworld (2015).
Akindele, E. O., Adedapo, A. M., Adu, B. W. & Ogbogu, S. S. First report of the larva of a vulnerable damselfly in Nigeria, with some ecological notes: a case for umbrella species conservation approach. Trop. Conserv. Sci. 14, 1–7, https://doi.org/10.1177/19400829211044629 (2021).
Richardson, M. Threatened and Recently Extinct Vertebrates of the World: A Biogeographic Approach. (Cambridge University Press, United Kingdom, 2023).
IUCN. Ecosystem Profile: Guinean Forests of West African Biodiversity Hotspot. https://www.cepf.net/our-work/biodiversity-hotspots/guinean-forests-west-africa (2015).
Congo Basin Forest Partnership (CBFP) and the Central African Regional Program for the Environment (CARPE). The Forests of the Congo Basin. A Preliminary Assessment. https://carpe.umd.edu/sites/default/files/focb_aprelimassess_en.pdf (2005).
Cumberlidge, N. The status and distribution of freshwater crabs. In Smith, K.G., Diop, M.D., Niane, M. & Darwall, W.R.T. (eds), The Status and Distribution of Freshwater Biodiversity in Western Africa, 56-72 (Gland, Switzerland and Cambridge, UK, 2009).
Dijkstra, K-D.B., Tchibozo, S., Ogbogu, S.S. The status and distribution of dragonflies and damselflies (Odonata) in Western Africa. In Smith, K.G., Diop, M.D., Niane, M. & Darwall, W.R.T. (eds), The Status and Distribution of Freshwater Biodiversity in Western Africa, 41-55 (Gland, Switzerland and Cambridge, UK, 2009).
Kristensen, T.K., Stensgaard, A.-S., Seddon, M.B., McIvor, A, 2009. The status and distribution of freshwater molluscs (Mollusca). In Smith, K.G., Diop, M.D., Niane, M. & Darwall, W.R.T. (eds), The Status and Distribution of Freshwater Biodiversity in Western Africa, 33-40 (Gland, Switzerland and Cambridge, UK, 2009).
O’Malley, Z. G. et al. Riparian and in-channel habitat properties linked to dragonfly emergence. Sci. Rep. 10, 17665, https://doi.org/10.1038/s41598-020-74429-7 (2020).
Scott, M. L. et al. Assessing the extent and diversity of riparian ecosystems in Sonora, Mexico. Biodivers. Conserv. 18, 247–269, https://doi.org/10.1007/s10531-008-9473-6 (2009).
Fernandes, M. R., Aguiar, F. C. & Ferreira, M. T. Assessing riparian vegetation structure and the influence of land use using landscape metrics and geostatistical tools. Landsc. Urban Plan. 99, 166–177, https://doi.org/10.1016/j.landurbplan.2010.11.001 (2011).
Yirigui, Y., Lee, S.-W., Nejadhashemi, A. P., Herman, M. R. & Lee, J.-W. Relationships between riparian forest fragmentation and biological indicators of streams. Sustainability 11, 2870, https://doi.org/10.3390/su11102870 (2019).
GBIF.org. GBIF Occurrence Download https://doi.org/10.15468/dl.juf33a (2024a).
Chamberlain, S. et al. rgbif: Interface to the Global Biodiversity Information Facility API. R package version 3.8.0, https://CRAN.R-project.org/package=rgbif (2024).
Chamberlain, S. & Boettiger, C. R Python, and Ruby clients for GBIF species occurrence data. PeerJ PrePrints. https://doi.org/10.7287/peerj.preprints.3304v1 (2017).
GBIF.org. GBIF Occurrence Download https://doi.org/10.15468/dl.pbdums (2024b).
GBIF.org. GBIF Occurrence Download https://doi.org/10.15468/dl.rsbw7w (2024c).
Kouamé, M. K. et al. Aquatic macroinvertebrate assemblages associated with root masses of water hyacinths, Eichhornia crassipes (Mart.) Solms-Laubach, 1883 (Commelinales: Pontederiaceae) in Taabo Lake, Ivory Coast. J. Nat. Hist. 44(5-6), 257–278, https://doi.org/10.1080/00222930903457208 (2010).
Umar, M.D., Harding, S.J., Winterbourn, J.M. Freshwater Invertebrates of the Mambilla, Plateau, Nigeria. (School of Biological Sciences, University of Canterbury, New Zealand, 2013).
Kamagaté, E. A. I., Allouko, J. R., Bony, K. Y. & Konan, K. F. Diversity and spatial distribution pattern of benthic macroinvertebrates of the Cavally River (Ivory Coast, West Africa). Int. Res. J. Adv. Eng. Sci. 4(1), 10–16 (2018).
Koudenoukpo et al. Diversity of aquatic macroinvertebrates in relationship with the environmental factors of a lotic ecosystem in tropical region: the Sô river in South-East of Benin (West Africa). J. Entomol. Zool. Stud. 5, 1–10 (2017).
Motchié, F. E., Konan, Y. A., Koffi, K. B., Etilé, N. R. & Gooré, B. G. Diversity and structure of benthic macroinvertebrates community in relation to environmental variables in Lake Ehuikro, Côte d’Ivoire. Int. J. Environ. 7, 1–13 (2020).
Akindele, E. O. et al. Macroinvertebrate metric indicators should be juxtaposed with the community conservation index as ecological tools for conservation evaluation of pristine freshwater ecosystems. Biologia 78, 067–1078, https://doi.org/10.1007/s11756-023-01315-8 (2023a).
GBIF.org. GBIF Occurrence Download https://doi.org/10.15468/dl.k28vsg (2024d).
GBIF.org. GBIF Occurrence Download https://doi.org/10.15468/dl.9n98gd (2024e).
Schürz, M. et al. hydrographr: an R package for scalable hydrographic data processing. Methods in Ecology and Evolution 14, 2953–2963, https://doi.org/10.1111/2041-210X.14226 (2023).
Amatulli, G. et al. Hydrography90m: A new high-resolution global hydrographic dataset. Earth Syst. Sci. Data 14, 4525–4550, https://doi.org/10.5194/essd-14-4525-2022 (2022).
Akindele, E.O., et al. A spatial inventory of freshwater macroinvertebrate occurrences in the Guineo-Congolian biodiversity hotspot. Dataset hosted at the Freshwater Research and Environmental Database at IGB, available at https://doi.org/10.18728/igb-fred-899.0 (2024).
Grigoropoulou, A. et al. The global EPTO database: worldwide occurrences of aquatic insects. Glob. Ecol. Biogeogr. 32(5), 642–655, https://doi.org/10.1111/geb.13648 (2023).
Brown, D. S. Freshwater Snails of Africa and Their Medical Importance. (CRC Press, London, 1994).
Torres-Cambas, Y. et al. A database of freshwater macroinvertebrate occurrence records across Cuba. Sci Data 10, 169, https://doi.org/10.1038/s41597-023-02088-0 (2023).
Zizka, A. et al. CoordinateCleaner: standardized cleaning of occurrence records from biological collection databases. MEE 10, 744–751, https://doi.org/10.1111/2041-210X.13152 (2019).
Malhi, Y., Gardner, T. A., Goldsmith, G. R., Silman, M. R. & Zelazowski, P. Tropical forests in the Anthropocene. Annu. Rev. Environ. Resour 39, 125–159, https://doi.org/10.1146/annurev-environ-030713-155141 (2014).
Upreti, G. Climate Change and Its Threat to Humanity in the Anthropocene. In: Ecosociocentrism. Springer, Cham. https://doi.org/10.1007/978-3-031-41754-2_7 (2023).
Abba, A., Mary, U.O., Babangida, K.J., Abdulrahman, A. The study of macroinvertebrate fauna in wetland areas of Lokoja, Nigeria. JASEI 1(2), https://doi.org/10.5281/zenodo.447123 (2021)
Omoigberale, M.O., Ezenwa, I.M., Biose, E. & Otobrise, O. Spatial variations in the physico-chemical variables and macrobenthic invertebrate assemblage of a tropical river in Nigeria, https://doi.org/10.48550/arXiv.2006.11664 (2020).
Akindele, E. O. et al. Freshwater macroinvertebrates along the Nigeria-Cameroon border enhance the conservation value of the Lower Guinea Forest Biodiversity Hotspot. J. Environ. Manag. 355, 120532, https://doi.org/10.1016/j.jenvman.2024.120532 (2024).
Furse, M.T. The application of RIVPACS procedures in headwater streams-an extensive and important national resource. In Wright, J. F., Sutcliffe, D. W. & Furse, M.T. (eds) Assessing the Biological Quality of Freshwaters: Rivpacs and Other Techniques, 79–91 (Freshwater Biological Association, UK, 2000).
Iyagbaye, L. A., Iyagbaye, R. O. & Omoigberale, M. O. Assessment of benthic macro-invertebrates of freshwater ecosystem: a case study of Ovia River (Iguoriakhi), Edo State, Nigeria. ESJ 13(26), 405, https://doi.org/10.19044/esj.2017.v13n26p405 (2017).
Arimoro, F. O., Meme, F. K. & Keke, U. N. Effects of effluent discharges from a cement factory on the ecology of macroinvertebrates in an Afrotropical river. Environ Sci Pollut Res 28, 53444–53457, https://doi.org/10.1007/s11356-021-14514-0 (2021).
Hofmann, S., Steiner, L., Schweiger, A. H., Chiarucci, A. & Beierkuhnlein, C. Optimizing sampling effort and information content of biodiversity surveys: a case study of alpine grassland. Ecol Inform. 51, 112–120, https://doi.org/10.1016/j.ecoinf.2019.03.003 (2019).
Edegbene, A. O. et al. Preliminary studies on macroinvertebrate biomonitoring of freshwater systems in the Afrotropics: a case study of the Chanchaga River in the Lower Niger-Benue Ecoregion of Nigeria. Biologia 78, 3189–320, https://doi.org/10.1007/s11756-023-01445-z (2023).
Ibemenuga, K. N. & Inyang, N. Macroinvertebrate fauna of a tropical freshwater stream in Nigeria. Anim. Res. Int. 3(3), 553–561, https://doi.org/10.4314/ari.v3i3.40791 (2008).
Fagbohun, I. R. et al. Assessment of the biological water quality and response of freshwater macroinvertebrates to thermal stress in an Afrotropical warm spring. Environ. Sci. Pollut. Res. 30, 47755–47768, https://doi.org/10.1007/s11356-023-25670-w (2023).
Ikomi, R.B. & Arimoro, F.O. Effects of recreational activities on the littoral macroinvertebrates of Ethiope River, Niger Delta, Nigeria. J. Aquat. 29(1), https://www.ajol.info/index.php/jas/article/view/102322 (2014).
Arimoro, F. O. & Ikomi, R. B. Response of macroinvertebrate communities to abattoir wastes and other anthropogenic activities in a municipal stream in the Niger Delta, Nigeria. Environmentalist 28, 85–98, https://doi.org/10.1007/s10669-007-9033-8 (2008).
Ikomi, R. B., Arimoro, F. O. & Odihirin, O. K. Composition, distribution and abundance of macroinvertebrates of the upper reaches of River Ethiope, Delta State, Nigeria. Zoologist 3, 68–81 (2005).
Iloba, K. I., Akawo, N. & Anani, C. Sand dredging impact on macrobenthic invertebrates of a hallowed river in Delta State of Nigeria. Science World Journal 14(1), 171–176 (2019).
Kowobari, E. D. et al. Heavy metal bioaccumulation in the macroinvertebrate functional feeding guilds of an impaired stream in South-West Nigeria. Chem Ecol. 40(3), 241–259, https://doi.org/10.1080/02757540.2024.2305702 (2024).
Alagoa, K. J., Edure, C. E. & Mary, E. Effect of flooding on benthic macro-fauna in Efi Lake, Kalama, Sabagreia, Kolokuma/Opokuma Lga, Bayelsa State Nigeria. IJRES 10(1), 82–91 (2022).
Kra, M. K. et al. Qualitative analysis of aquatic macroinvertebrates in lower comoe river (Côte d’Ivoire). Int. J. Fish. Aquat. Stud. 6(2), 472–481 (2018).
Arimoro, F. O., Odume, O. N. & Uhunoma, S. I. Anthropogenic impact on water chemistry and benthic macroinvertebrate associated changes in a southern Nigeria stream. Environ. Monit. Assess. 187, 14, https://doi.org/10.1007/s10661-014-4251-2 (2015).
Arimoro, F. O. & Keke, U. N. The intensity of human-induced impacts on the distribution and diversity of macroinvertebrates and water quality of Gbako River, North Central, Nigeria. Energ. Ecol. Environ. 2, 143–154, https://doi.org/10.1007/s40974-016-0025-8 (2017).
Adadu, M. O., Garba, A. A. & Yusufu, I. I. Seasonal variation in macroinvertebrate community of river Okpokwu. Int. J. Fish Aquat. Stud. 7(5), 182–189 (2019).
Ogbeibu, A. E. & Oribhabor, B. J. Ecological impact of river impoundment using benthic macro-invertebrates as indicators. Ecol. Indic. 36(10), 2427–2436, https://doi.org/10.1016/S0043-1354(01)00489-4 (2002).
Alagoa, K. J. & Gabriel, F. Effect of desilting /dredging on bentic macroinvertebrate fauna within the Niger Delta University Tributary of River Nun, Amassoma, Bayelsa State. IJRSSET 7(10), 33–39 (2020).
Yakub, A. S. & Ugwumba, A. A. A. A study on the macroinvertebrate fauna of lower Ogun River at Ishasi, Ogun State, south-west Nigeria. The Zoologist 7, 65–74, https://doi.org/10.4314/tzool.v7i1.52099 (2009).
Nwadiaro, C. S. The longitudinal distribution of macroinvertebrates and fish in a lower Niger delta river (River Sombreiro) in Nigeria. Hydrobiological Bulletin 18, 133–140, https://doi.org/10.1007/BF02257052 (1984).
Norbert, N. T., Fai, P. B. A., Mbida, M. & Brice, K. N. D. Bioévaluation De La Qualité Des Eaux Du Cours D’eau Menoua En Zone Périurbaine De Dschang, Ouest Cameroun. ESJ 13(27), 368, https://doi.org/10.19044/esj.2017.v13n27p368 (2017).
Adedapo, A. M. et al. Using macroinvertebrate functional traits to reveal ecological conditions of two streams in Southwest Nigeria—a case study. Aquat. Ecol. 57, 281–297, https://doi.org/10.1007/s10452-023-10010-4 (2023).
Akindele, E. O. et al. Gold mining impairs the biological water quality of a culturally important river and UNESCO World Heritage Site in Nigeria. Environ. Pollut. 326(1), 121470, https://doi.org/10.1016/j.envpol.2023.121470 (2023b).
Bate, G.B. & Uwem, G.W. Water quality and macroinvertebrates assessment of Hadejia–Nguru Wetlands in Jigawa and Yobe States, Nigeria. N Y Sci J, 14(6):59-66]. ISSN 1554-0200 (print); ISSN 2375-723X (online). http://www.sciencepub.net/newyork. 7. https://doi.org/10.7537/marsnys140621.07. (2021).
Arimoro, F. O. Chironomidae community structure as bioindicator of water quality in Eriora River, Delta State, Nigeria. NJSE 10(3), 155–162 (2011).
Edegbene, A. O. & Arimoro, F. O. Ecological status of Owan River, Southern Nigeria using aquatic insects as bioindicators. J. Aquat. 27(2), 99–111 (2012).
Arimoro, F. O., Nwadukwe, F. O. & Mordi, K. I. The influence of habitat and environmental water quality on the structure and composition of the adult aquatic insect fauna of the Ethiope River, Delta State, Nigeria. Trop. Zool. 24, 159–171 (2011).
Arimoro, F. O. Macroinvertebrates functional feeding groups in River Orogodo, a second order stream in Southern Nigeria. NJSE 6, 45–57 (2007).
Asibor, G. I. Seasonal biodiversity assessment of benthic macroinvertebrate of Asejire Reservoir, Southwest Nigeria. J. Sustain. Dev. 8(2), 257–269, https://doi.org/10.5539/jsd.v8n2p257 (2015).
Jonah, U. E. & Akpan, I. I. Application of multimetric index on water quality assessment of Qua Iboe River Estuary, Akwa Ibom State, Nigeria. Int. J. Ecol. Environ. Sci. 3(3), 126–134 (2021).
Jonah, U. E., Esenowo, I. K., Akpan, I. I. & Oribhabor, B. J. Macroinvertebrates assemblage study: an attempt to assess the impact of water quality on Qua Iboe River Estuary, Akwa Ibom State, Nigeria. J. Appl. Sci. Environ. Manage. 26(9), 1507–1513, https://doi.org/10.4314/jasem.v26i9.8 (2022).
Meyer, J. L. et al. The contribution of headwater streams to biodiversity in river networks. JAWRA 43(1), 86–103, https://doi.org/10.1111/j.1752-1688.2007.00008.x (2007).
Kwakye, M. O. et al. Linking macroinvertebrates and physicochemical parameters for water quality assessment in the lower basin of the Volta River in Ghana. Environ Manage 68, 928–936, https://doi.org/10.1007/s00267-021-01535-1 (2021).
Arimoro, F. O. & Muller, W. J. Mayfly (Insecta: Ephemeroptera) community structure as an indicator of the ecological status of a stream in the Niger Delta area of Nigeria. Environ. Monit. Assess. 166, 581–594, https://doi.org/10.1007/s10661-009-1025-3 (2010).
Edward, J. B. & Ugwumba, A. A. A. Macroinvertebrate fauna of a tropical southern reservoir, Ekiti State, Nigeria. CJBiolSci 4(1), 30–40 (2011).
El Yaagoubi, S. E. I., Edegbene, A. O., El Alami, M., Errochdi, S. & Harrak, R. Ephemeroptera, Plecoptera and Trichoptera (EPT) trait-based biomonitoring of rivers within the northwestern Rif of Morocco: implications for determining riverine ecosystems ecological health in Africa. Aquatic Science 86, 54, https://doi.org/10.1007/s00027-024-01070-1 (2024).
Adu, B. W., Akindele, E. O. & Obadofin, A. A. Composition and distribution of dragonflies and damselflies (Insecta: Odonata) in Iloyin Forest, Akure, Southwestern Nigeria. EJESM 8(5), 517–529, https://doi.org/10.4314/ejesm.v8i5.5 (2015).
Obot, O. I., Ekpo, I. E. & Esau, E. F. Physico-Chemical Parameters and Macro-Benthos of Ediene Stream, Akwa Ibom State, Nigeria. Am. J. Biol. Life. Sci. 2(5), 112–121 (2011).
Andem, A.B., Esenowo, I.K. & Bassey, D.O. Application of biotic indices and pollution tolerance index in assessing macro-invertebrate assemblage of Ediba River, Cross River State, Nigeria. J. Environ. Anal. Toxico. S7, https://doi.org/10.4172/2161-0525.S7-007 (2015).
Adeogun, A. O. & Fafione, O. O. Impact of effluents on water quality and benthic macroinvertebrate fauna of Awba Stream and Reservoir. J. Appl. Sci. Environ. Manage. 15(1), 105–113, https://doi.org/10.4314/jasem.v15i1.65683 (2011).
Akindele, E. O., Olaniyan, S. A. & Adedapo, A. M. Environmental stressors influence the biological water quality of a lotic system in southwestern Nigeria. Afr. J. Aquat. Sci. 48(3), 261–273, https://doi.org/10.2989/16085914.2023.2215267 (2023c).
Jonah, U. E., Anyanwu, E. D. & Avoaja, D. A. Assessment of macrobenthic invertebrate fauna and physicochemical characteristics of Etim Ekpo River, South-South, Nigeria. JJNH 7, 37–49 (2020).
Adu, B. W., Ogbogu, S. S. & Akindele, E. O. Rapid survey of dragonflies (Insecta: Odonata) of Kribi Forest and Campo Ma’am National Park, Southern Cameroon. EJESM 9(3), 255–266, https://doi.org/10.4314/ejesm.v9i3.1 (2016).
Bate, G. B. & Sam-Uket, N. O. Macroinvertebrates’ pollution tolerance index in Calabar River, Cross River State, Nigeria. NIJEST 3(2), 292–297 (2019).
Ogbogu, S. S. First report of Aethaloptera dispar Brauer 1875 (Trichoptera: Hydropsychidae) from Ile-Ife, southwestern Nigeria, West Africa. Zootaxa 1088(1), 25–32, https://doi.org/10.11646/zootaxa.1088.1 (2005).
Ogbogu, S. S. Caddisfly (Trichoptera) larvae of the Opa River basin, south-western Nigeria. Afr. J. Aquat. Sci. 32(3), 259–263, https://doi.org/10.2989/AJAS.2007.32.3.5.304 (2007).
Adu, B. W. A study of physico-chemical water quality and caddisfly larvae abundance in Opa Reservoir Stream, South-Western Nigeria. Braz. J. Biol. Sci. 3(6), 385–394, https://doi.org/10.21472/bjbs.030614 (2016).
Hynes, J. D. Annual cycles of macro-invertebrates of a river in southern Ghana. Freshwat. Biol. 5, 71–83, https://doi.org/10.1111/j.1365-2427.1975.tb00122.x (1975).
Osimen, E. C., Elakhame, L. A., Edegbene, A. O. & Izegaegbe, J. I. Identifying and categorizing potential indicator macroinvertebrate taxa in a southern Nigerian reservoir using a multivariate approach. Egypt. J. Aquat. Biol. & Fish. 25(1), 293–312, https://doi.org/10.21608/ejabf.2021.142940 (2023).
Okorafor, K. A., James, E. S. & Udoh, A. D. Assessment of macro-invertebrates and physico-chemical parameters of the Lower Qua Iboe River, Akwa Ibom State, Nigeria. ARPN J. Sci. Techn. 4(11), 666–677 (2014).
Binaebi, E. D., Deekae, S. N. & Abu, O. M. The recruitment pattern of Macrobrachium species from Igbedi Creek, Bayelsa State, Niger Delta, Nigeria. IJSRU 4(1), 030–036, https://doi.org/10.53430/ijsru.2022.4.1.0071 (2022).
Esenowo, I. K. & Ugwumba, A. A. A. Composition and abundance of macrobenthos in Majidun River, Ikorordu Lagos State, Nigeria. Res. J. Biol. Sci. 5(8), 556–560 (2010).
Koji, E. et al. Influence of anthropogenic pollution on the abundance dynamics of some freshwater invertebrates in the coastal area of Cameroon. Journal of Environmental Protection 8, 810–829, https://doi.org/10.4236/jep.2017.87051 (2017).
Onana, F. M. et al. Effects of industrial agriculture and urbanization on structure and functional organization of macroinvertebrate of coastal streams in Cameroon. JWARP 13, 154–171, https://doi.org/10.4236/jwarp.2021.132009 (2021).
Danladi, S. I., Istifanus, W. A. & Samaila, A. B. The freshwater snail fauna of the Dadinkowa man-made reservoir, Gombe State, Nigeria. Int. J. Fauna Biol. Stud. 6(5), 31–35 (2019).
Aiwerioghene, A. O. & Adedolapo, A. A. Evaluation of some physicochemical parameters and benthic macroinvertebrates of Ikere Gorge Reservoir in Oyo State, Nigeria. J. Appl. Sci. Environ. Manage. 20(4), 1097–1103, https://doi.org/10.4314/jasem.v20i4.25 (2014).
Akindele, E. O. & Olutona, G. O. Environmental variables and benthic macroinvertebrate assemblage in the headwater streams of an Afro-tropical reservoir. Water Environ. J. 29, 541–548, https://doi.org/10.1111/wej.12117 (2015).
Akindele, E. O. & Liadi, A. A. Diversity and response of benthic macroinvertebrates to natural and induced environmental stresses in Aiba Stream, Iwo, Southwestern Nigeria. West Afr. J. Appl. Ecol. 22(1), 101–111 (2014).
Aduwo, A. I. & Adeniyi, I. F. The benthic macro-Invertebrate fauna of Owalla Reservoir, Osun State, Southwest, Nigeria. Egypt. J. Aquat. Biol. Fish. 23(5), 341–356, https://doi.org/10.21608/ejabf.2019.67372 (2019).
Adjarho, U. B., Esenowo, I. K. & Ugwumba, A. A. A. Physico-chemical parameters and macroinvertebrates fauna of Ona River at Oluyole Estate, Ibadan, Nigeria. Res. J. Environ. Sci. 5(11), 671–676 (2013).
Edegbene, A. O. & Arimoro, F. O. Preponderance of mollusca in Owan River, Niger Delta Area, Nigeria. Electronic Journal of Biosciences 02(1), 67–76 (2014).
Atobatele, O. E. & Ugwumba, O. A. Distribution, abundance and diversity of macrozoobenthos in Aiba Reservoir, Iwo, Nigeria. Afr. J. Aquat. Sci. 35(3), 291–297, https://doi.org/10.2989/16085914.2010.543121 (2010).
Oyeku, O. G., Anyaele, O. O., Akindele, E. O., Atobatele, O. E. & Adeniyi, A. V. Biological water quality of an impaired tropical river: the macrozoobenthos approach. Biologia 78, 2131–2145, https://doi.org/10.1007/s11756-023-01346-1 (2023).
Akindele, E. O., Adedapo, T. A., Olawoye, O. O., Olutona, G. O. & Adu, B. W. Preliminary limnological survey of Ori stream, Iwo, Osun State, Nigeria. Int. J. Biol. Chem. Sci. 9(1), 329–341, https://doi.org/10.4314/ijbcs.v9i1.29 (2015).
Tchakonté, S., Ajeagah, G. A., Diomandé, D., Camara, A. I. & Ngassam, P. Diversity, dynamic and ecology of freshwater snails related to environmental factors in urban and suburban streams in Douala–Cameroon (Central Africa). Aquat. Ecol. 48, 379–395, https://doi.org/10.1007/s10452-014-9491-2 (2014).
Yusuf, Z. H. Benthic macroinvertebrates diversity as bioindicators of water quality of Nasarawa Reservoir Katsina State Nigeria. BAJOPAS 12(1), 449–456, https://doi.org/10.4314/bajopas.v12i1.68S (2019).
Uttah, C. et al. Diversity and Spatial Structure of Benthic Macro-Invertebrates Community of Calabar River, Nigeria: Implications for Bio-Monitoring of River Environmental Quality. Pac. J. Sci. Technol. 14(2), 626–634 (2013).
Zahraddeen, H. Y. Benthic macroinvertebrates diversity as bioindicators of water quality of Nasarawa Reservoir, Katsina State, Nigeria. BAJOPAS 12(1), 449–456, https://doi.org/10.4314/bajopas.v12i1.68S (2019).
Erhenhi, O. H., Iloba, K. I., Oyedokun, S. I. & Sakpaide, A. Biological assessment of Okwagbe waterside along the Forcados river using environmental bioindicators. Innovations 71, 774–785 (2022).
West Virginia Conservation Agency. Stream order. https://www.wvca.us/envirothon/a7.cfm#:~:text=The%20smallest%20tributaries%20are%20referred,order%20are%20considered%20medium%20streams. (n.d.).
Acknowledgements
This research was supported by the Georg Forster Experienced Research Fellowship, granted to EOA by the Alexander von Humboldt Foundation, Bonn, Germany (Ref. 3.4 - NGA - 1199118 - GF-E). SD acknowledges funding by the Leibniz Competition (J45/2018).
Funding
Open Access funding enabled and organized by Projekt DEAL.
Author information
Authors and Affiliations
Contributions
Emmanuel O. Akindele: Conceptualization, Funding acquisition, Methodology, Formal analysis, Supervision, Writing – original draft, Writing – review & editing. Abiodun M. Adedapo: Formal analysis, Writing – review & editing. Oluwaseun T. Akinpelu: Writing – review & editing. Esther D. Kowobari: Formal analysis, Writing – review & editing. Oluwatosin C. Folorunso: Formal analysis, Writing – review & editing. Ibrahim R. Fagbohun: Formal analysis, Writing – review & editing. Tolulope A. Oladeji: Formal analysis, Writing – review & editing. Olanrewaju O. Aliu: Formal analysis, Writing – review & editing. Oluwatobiloba S. Adenola: Formal analysis, Writing – review & editing. Babasola W. Adu: Formal analysis, Writing – review & editing. Francis O. Arimoro: Formal analysis, Writing – review & editing. Sylvester S. Ogbogu: Formal analysis, Writing – review & editing. Sami Domisch: Conceptualization, Methodology, Supervision, Writing – review & editing.
Corresponding author
Ethics declarations
Competing interests
The authors declare no competing interests.
Additional information
Publisher’s note Springer Nature remains neutral with regard to jurisdictional claims in published maps and institutional affiliations.
Rights and permissions
Open Access This article is licensed under a Creative Commons Attribution 4.0 International License, which permits use, sharing, adaptation, distribution and reproduction in any medium or format, as long as you give appropriate credit to the original author(s) and the source, provide a link to the Creative Commons licence, and indicate if changes were made. The images or other third party material in this article are included in the article’s Creative Commons licence, unless indicated otherwise in a credit line to the material. If material is not included in the article’s Creative Commons licence and your intended use is not permitted by statutory regulation or exceeds the permitted use, you will need to obtain permission directly from the copyright holder. To view a copy of this licence, visit http://creativecommons.org/licenses/by/4.0/.
About this article
Cite this article
Akindele, E.O., Adedapo, A.M., Akinpelu, O.T. et al. A spatial inventory of freshwater macroinvertebrate occurrences in the Guineo-Congolian biodiversity hotspot. Sci Data 12, 227 (2025). https://doi.org/10.1038/s41597-025-04471-5
Received:
Accepted:
Published:
Version of record:
DOI: https://doi.org/10.1038/s41597-025-04471-5
This article is cited by
-
Freshwater macroinvertebrate ecosystem services: perception-based insights from an afromontane community
Biodiversity and Conservation (2026)




