Thank you for visiting nature.com. You are using a browser version with limited support for CSS. To obtain
the best experience, we recommend you use a more up to date browser (or turn off compatibility mode in
Internet Explorer). In the meantime, to ensure continued support, we are displaying the site without styles
and JavaScript.
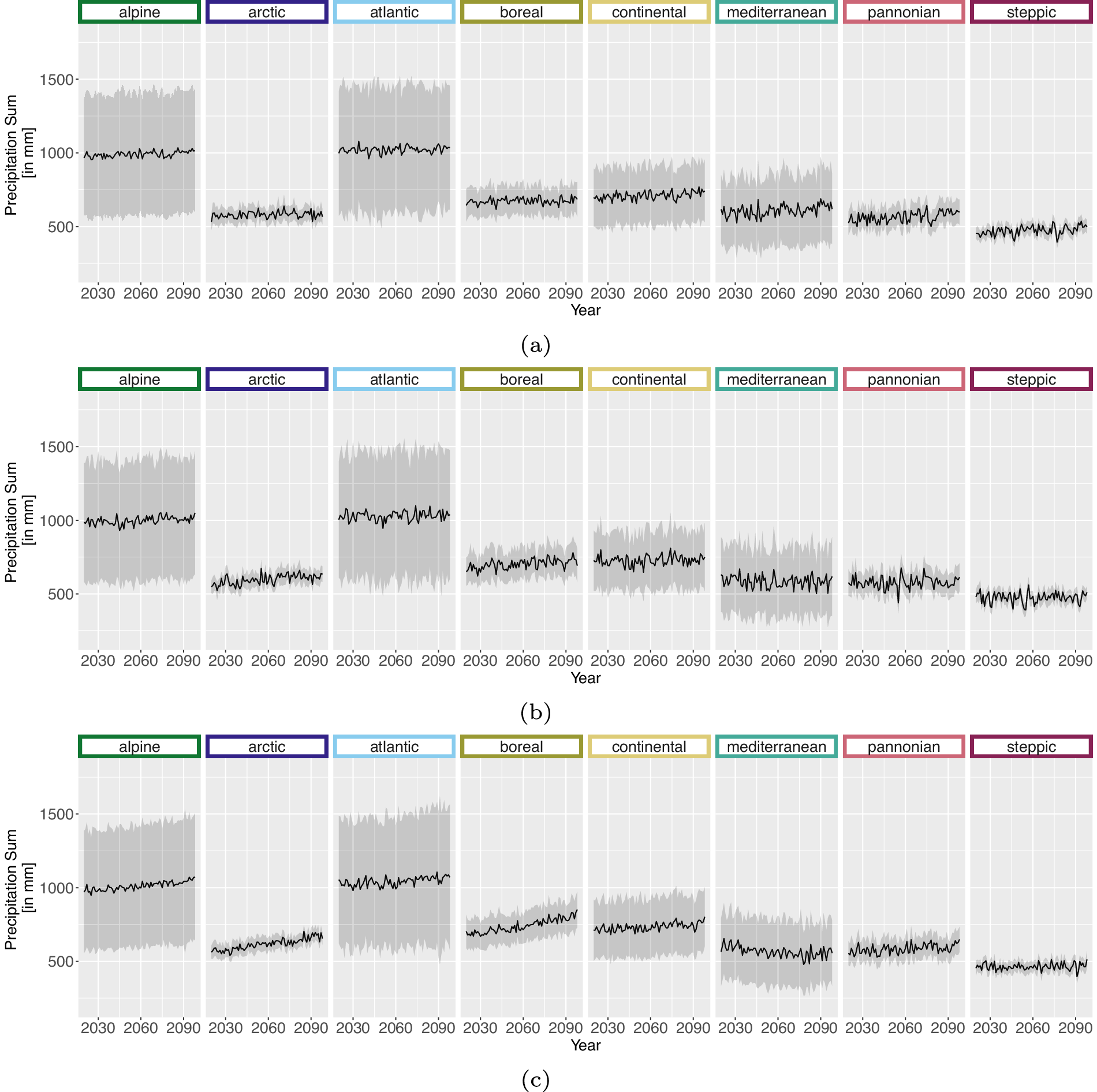
Annual course of BioVar12 (Precipitation Sum) 50th percentile for eight EBRs45 during the period 2020 to 2098. Here the mean (black line) and standard deviation (grey background) is extracted per EBR45. Subfigures show BioVar12 for RCP 2.6 (a), 4.5 (b) and 8.5 (c).