Fig. 6
From: Tri-band vehicle and vessel dataset for artificial intelligence research

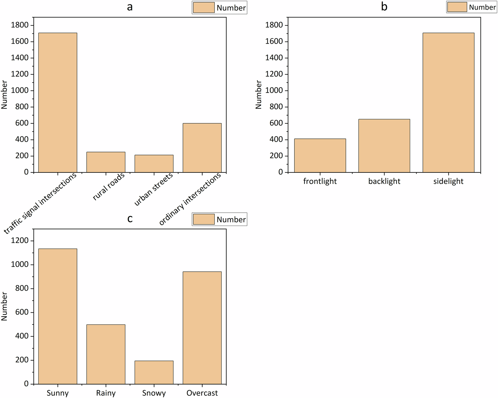
Classification statistics for the vehicle dataset.
From: Tri-band vehicle and vessel dataset for artificial intelligence research

Classification statistics for the vehicle dataset.