Fig. 4
From: Baseline high-resolution maps of soil nutrients in Morocco to support sustainable agriculture

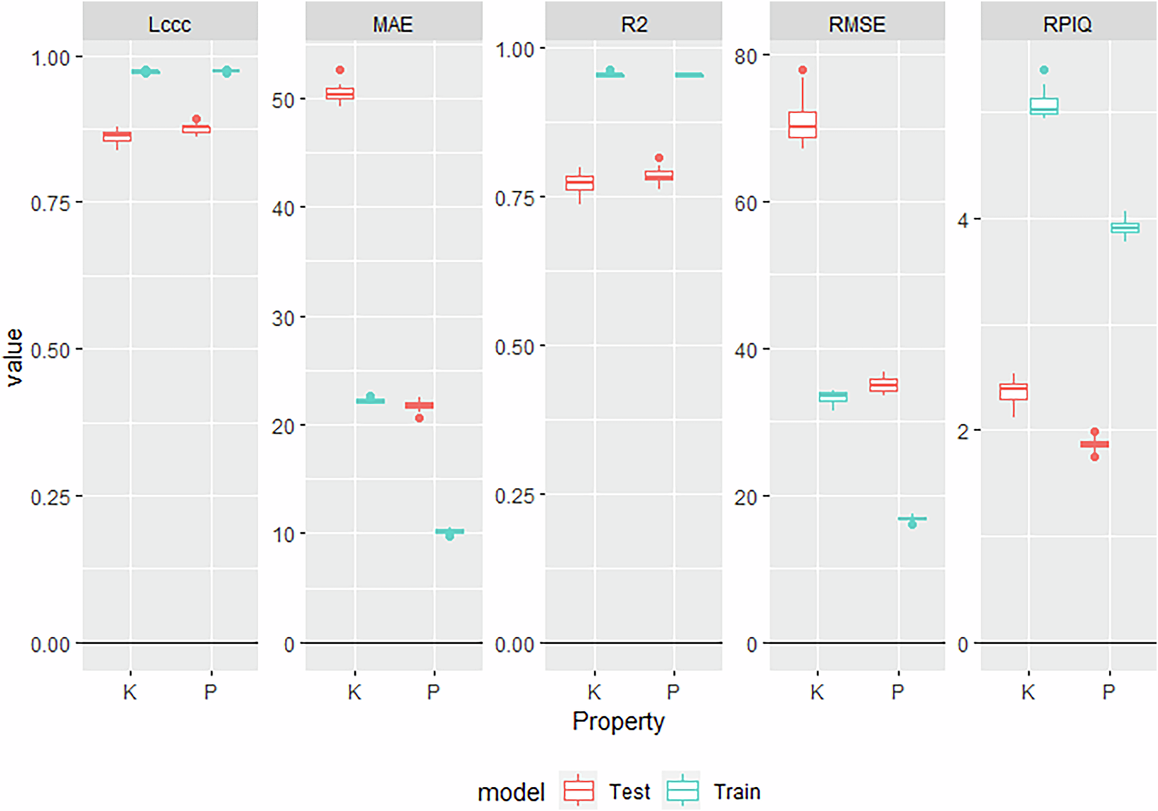
Random Forest model performance for available-P (ppm) and exchangeable-K (ppm) prediction for training and validation using bootstrapping method.