Abstract
Overfishing impacts the three pillars of sustainability: social, ecological and economic. Tuna represent a significant part of the global seafood market with an annual value exceeding USD$42B and are vulnerable to overfishing. Our understanding of how social and economic drivers contribute to overexploitation is not well developed. We address this problem by integrating social, ecological and economic indicators to help predict changes in exploitation status, namely fishing mortality relative to the level that would support the maximum sustainable yield (F/FMSY). To do this we examined F/FMSY for 23 stocks exploited by more than 80 states across the world’s oceans. Low-HDI countries were most at risk of overexploitation of the tuna stocks we examined and increases in economic and social development were not always associated with improved stock status. In the short-term frozen price was a dominant predictor of F/FMSY providing a positive link between the market dynamics and the quantity of fish landed. Given the dependence on seafood in low-income regions, improved measures to safeguard against fisheries overexploitation in the face of global change and uncertainty are needed.
Similar content being viewed by others
Introduction
The 2005 World Summit on Social Development identified three main sustainable development goals, related to economic development, social development and environmental protection1, these are often referred to as the Three Pillars of Sustainability. Where sustainability is the ability of biological systems to remain diverse and productive indefinitely. Ensuring sustainability across ecological, social and economic dimensions is a cornerstone of international Sustainable Development policy (United Nations Sustainable Development Goals) and Blue Growth initiatives2,3.
Fish and seafood are the largest single animal-based food production sector (FISHSTAT, 2017) and provide 4.3 billion people worldwide with 15–20% of their intake of animal protein and in some countries over 50%4. The demand for fish continues to increase (4% per year5), driven by a growing population (1.18% per year)6, technological innovations and the availability of more disposable income. At least 30% of large commercial fish stocks are currently classified as overexploited2. Although this is an improvement over previous decades, for many regions of the world — particularly poorer countries with small-scale fisheries — the sustainability status of fisheries and even the amount of fishing happening is uncertain7. Further, changes to already heavily exploited systems — mediated by climate, or changes in demand from population growth and wealth — risk fisheries collapses or significant increases in the price of fish products. Given the food security, livelihoods and nutritional importance of fish for so many people, effectively managed fisheries is central to many sustainable development goals8.
Tuna represent a significant part of the global fish and seafood economy with an annual value of USD$42.2 billion9. Tuna also play an important role in the health and functioning of the ecosystem10 and across all sectors of a wider fishing community necessitating improved management to maintain fish stocks in a healthy state9. Because of the high value of tuna stocks they are subject to high fishing pressure and there is growing concern about (i) the risks of failing to achieve fisheries and conservation objectives, (ii) the ability to implement recovery plans for depleted stocks and (iii) effective protection for those that are vulnerable to overfishing11.
While some progress has been made in developing a precautionary approach to fisheries management for tuna by developing limit reference points to indicate overfishing12, this has, however, been mainly confined to biological elements13. Although more integrated approaches for addressing the combined ecological, social and economic risks of overfishing have been called for over the past decade13,14. This normally requires targets and limits related to economic and social factors in order to effectively manage a fishery.
Tuna Regional Fisheries Management Organisations (tRFMOs) represent international organisations with fishing interests in a specific area (see Figure S1) and most have adopted Maximum Sustainable Yield (MSY) as a management target defined as the largest average catch of a species that can be taken over time that guarantees that the resource is not depleted. MSY is, however, notoriously difficult to estimate and generally relies on equilibrium model assumptions and/or data from stocks that have already exceeded the level (BMSY) that supports MSY15,16,17,18. The management performance of each tuna fishery is monitored by a set of indicators to report on the progress in achieving FMSY (the fishing mortality level consistent with achieving maximum sustainable yield) and BMSY (Spawning stock biomass or Total biomass that results from fishing at FMSY for a sustained period of time)19. A major challenge, however, is understanding how the sustainability of fisheries is affected by exernal forces such as climate change20 and shocks such as market fluctuations or environmental variability21.
Over the last two decades there have been significant changes in fuel costs, fish prices, global warming, technological change (i.e. introduction of gears such as Fish Aggregation Devices, FADs), and changes in adult tuna stock biomass22. All of these factors have a cumulative effect on the operating costs of fleets and thus their spatial behaviour23. For tuna stocks, past exploitation levels and management measures have shown to be as important as the links between life history, market price and vulnerability to overexploitation11. Although a composite index of fisheries management at the country-level has shown to be positively related to factors such as countries’ gross domestic product24 an integrated understanding of how these drivers connect to environmental with economic and biological variables for tuna stocks is currently missing.
Here we examine whether tends in tuna stock status, as measured by F/FMSY, are related to the economic and social development of countries (Human Development Index, HDI) to identify whether some countries are more risk of overexploitation. We then develop statistical models to explore how stock status could be affected by different types of short-term shocks based on the relationships between F/FMSY with economic fluctuations (e.g. fish prices and fuel price), social (fleet diversity/fishing activity – knowledge transfer) and climatic variability (e.g. North Atlantic Oscillation Index (NAO) and Southern Oscillation index (SOI)). Time series of economic, climatic and spatial indices were available for more than 23 years. As these indicators are potentially correlated, we constructed ridge regression models (see Methods and Materials) and used these to assess the sensitivity of F/FMSY for tuna stock to each driver of change.
Results and Discussion
Trends in F/FMSY and HDI
Our results show that low-HDI countries such as those in the Indian and Pacific oceans are vulnerable to overfishing e.g. western Pacific bigeye tuna and Indian Ocean yellowfin tuna (Fig. 1). Countries within these regions are some of the poorest in the world and rely on tuna for their diet and poverty reduction. Over time these regions have realised the potential of their resource i.e. an increase in human development has coincided with an increase in the ratio of F/FMSY for tuna. In high HDI countries (e.g. in the Atlantic) the opposite observation can be seen, whereby in early years the stocks were subject to overfishing (e.g. North and South Atlantic albacore (Fig. 1)). These finding are consistent with recent work showing that stocks with management in place were less likely to be over exploited11. In these countries over time F/FMSY has declined in line with increases in HDI and possibly with socio-economic responsibilities towards overfishing. In high HDI countries, fishers have other livelihood opportunities and/or subsidies24. Controlling and managing fisheries in low HDI regions will therefore be crucial especially with rising fuel costs, fluctuating stock levels, changeable market conditions and poor international regulations which are a driver for illegal, unreported and unregulated (IUU) fishing25.
Modelling multiple drivers of variability
Though natural variability is an inherent feature of fisheries that cannot be removed by management it is possible, however, to minimize the effects of such variability through management strategies that deal with the inherent risks and uncertainty26,27. Of course, it is impossible to account for all sources of uncertainty, but each process needs to be understood better e.g. how stocks and ecosystems fluctuate along with variable fish prices that affect fishers’ income in the short and long term in response to management and natural variation28, as do the sources of uncertainty. The development of cost effective approaches to predict future events can be a valuable tool for conservation and preventative management action29.
To investigate the vulnerability of tuna stocks to short-term drivers of change we examined the effects of key economic, social and environmental variables using ridge regression to account for multi-collinearity of these variables. Correlations of note were found among variables, which were both positive and negative based on Pearson’s correlation (Fig. 2a). The majority of the tuna species prices were positively correlated (blue line) with some groups clustered together (bluefin and yellowfin tuna), while yellowfin, skipjack and albacore, for the most part were in individual clusters. On the other hand fuel price was not significantly correlated with any of the prices besides a significant negative correlation between fuel price and fresh skipjack price (SKJ_fresh), fresh bluefin (BFT_fresh).
Model skill and cross-validation from the ridge regression analysis. (a) Pearson’s Correlation between feature variables, the plot uses clustering and the closer the variables are to each other the higher the relationship. While the opposite is true for widely spaced variables. The colour and thickness of the line represents the direction of the relationship and the strength. (b) Scatterplot to fit actual and estimated F/FMSY for global tunas. (c) Mean – Squared Error (MSE) versus log (\(\lambda )\) to show the cross-validation (CV) curve (blue line) with upper and lower standard deviations along the \(\lambda \) sequence. The left most vertical line occurs at the CV minimum and the right vertical line is the largest value of lambda such that the error falls within one standard error of the minimum. (d) Estimates of the coefficients versus \(\lambda \). (e) Estimates of the coefficients versus deviance explained (Overall deviance explained 68%).
The lack of correlation between fuel price and fish prices is perhaps due to de-trending of the inflation bias effect before conducting the analysis, as30 shows that both fuel and fish prices indices depict upward trends. The negative relationships between the fresh fish prices and fuel price is interesting because falling fresh fish prices (generally from near inshore coastal domestic fleets) could be related to the balance of demand, production and competition (see31). In terms of environmental indices, the El Niño Southern Oscillation Index (SOI) was negatively correlated with East North Pacific index (EP_NP) and Pacific Decadal Oscillation index (PDO), and clustered with a positive correlation with the Tropical South Atlantic index (TSA). In contrast NAO was negatively correlated with both TSA and Tropical North Atlantic index (TNA).
To estimate the role of these multicollinearity indices on F/FMSY a ridge regression model was developed. The results from the ridge regression were plotted as a trace plot (described in Materials and Methods) where the predictor coefficients are plotted against \(\lambda \) to simultaneously explain the greatest fraction of deviance and reduce the effects of collinearity (Fig. 2d,e). Caution is required if future conditions have not been seen in the historic observations (which is the case here) as this will limit the predictive skill of any model. As an example consider fuel prices, which have continued to increase at the same time as current management is aiming to recover stocks to levels that will support MSY (a level which has not been seen in the past). Therefore future costs and catch rates will be different than those used to fit the regression hence why de-trending the economic variables was of the utmost importance. Results from the 10-fold cross-validation produced a minimum \(\lambda \) of 0.015 and a MSE of 0.04 was obtained (Fig. 2b) and used to test the model (coefficients are presented in Table 1) on the test data set, these estimates were plotted against actual values and gave an R2 of 0.65 (Fig. 2c) demonstrating its robustness for the analysis of potential trade-offs given uncertainty.
Differences in Sensitivity
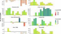
Each sphere in Fig. 3 represents a different predictor effect on FMSY for a particular tuna stock, a 25% increase or decrease, and the magnitude (size of the sphere) can be interpreted as the % change in F/FMSY. For example, when observing South Pacific albacore, a 25% increase in frozen price results in a 12% change in F/FMSY. Sensitivity to frozen price dominates, and appears to prominently affect the western central Pacific skipjack fleets with over a 13% change in F/FMSY. A 25% increase in HDI showed a notable change in F/FMSY especially for the poorer regions of the world, up to 8%. This coincides with the findings in Fig. 1 and the “Trends in F/FMSY and HDI” section (see above). As an approximate indication of the resulting changes of F/FMSY on potential changes in % yields, our findings (Figure S2) depict that a 10% increase/decrease in F/FMSY results in between a 3.7 and 8.8% increase/decrease in yield across all stocks. However, much larger reductions in F/FMSY could lead to greater reductions in yield in the long term.
Elasticities by stock from the result of a 25% increase decrease in any of the 15 feature variables. The size of the bubble represents the resultant % change in F/FMSY. The colours represent the tuna species and the horizontal lines the tRFMO groupings (see Table 2 for the descriotion of the acronym).
Fuel price was also dominant predictor of F/FMSY across all stocks, with a 25% change in fuel price resulting in a 1.6% max change in F/FMSY, providing a positive link between the money spent and invested by a fleet, and the quantity of fish landed. Although this is a small increase and probably the offset effect of favourable frozen tuna prices and increases in technical efficiency, this can, however, have positive or negative effects on the stocks, i.e. such an increase in fuel price could have a large effect on the stock by reducing fishing mortality but quite the opposite effect from a drop in fuel price if not properly regulated. Either way, this substantial effect could be detrimental to the industry and the resource, or both. Many small-scale operators (e.g. the pole and line fleets) perhaps would have less opportunities for social change i.e. potentially a decline in fleet size or diversity (in terms of fishing areas and/or species) that could in turn have lasting effects in terms of food security for some coastal communities32. Longlining for tuna is on average up-to four times more fuel intensive per ton of catch than purse seining33 but the difference is very much smaller than that in specific fuel consumption per ton of catch, because of increases in fish prices for the better quality product. With much of the industry worldwide supported by government’s subsidies for fuel (in the western central Pacific alone worth in excess of US$335 million) (see 34), a price drop in fuel costs could lead to harmful and wasteful fishing practices. Therefore controlling fishing effort levels in the future via competitive fuel pricing and/or controlled market incentives such as encouraging the use of fuel-efficient technologies will be of great importance to global tuna fleets. In contrast, the species price effect resulted in a negative coefficient (both fresh (4%) and frozen (13%)), which is counter-intuitive to the expected behavior of fishers. Production sensitivities are usually positive; a higher price (Ceterus paribus) will lead to increased production. Although an elastic price effect of demand may occur whereby a moderate increase in catch will result in a substantial decrease in price35. However, in the case of purse seine fishers, it may be that the fishers target a higher abundance of fish even if the price is lower, therefore with overall higher total benefit. Fresh and frozen prices were included in this model to capture the dynamics of the sashimi and cannery markets, but maybe at the time of fisher decision-making the difference in price between fresh and frozen may not be relevant and therefore a composite measure of price would have been more appropriate proxy. Further, the quantity of frozen tuna can potentially be controlled in deep freeze and the quantity adjusted to market demand. It is also important to note that the fishing mortality on most tunas has increased19, which could also explain the negative effect.
The climatic effect, El Niño (SOI) had a large effect on F/FMSY, a 25% increase in the index resulted in a 5–6% increase in F/FMSY for skipjack in the Indian Ocean and western Pacific Ocean which approximately equates to 53000t (8.3% yield change) and ~145000t (8.5% yield change) increase respectively. Previous studies have shown that tuna catches increase during the warmer periods of El Niño in the western Pacific36 and Indian Ocean37. Greater tuna biomass in these years is thought to supported by warmer water masses, which are their preferred habitats, perhaps also contributing their higher catch rates. For example38, showed that the western central Pacific purse seine fleet based their short-term decision-making by tracking sea surface temperature39. The Indian Ocean dipole index (DMI) also showed positive effects; with a positive index there was a significant increase in exploitation status for skipjack (4%) and yellowfin (1.5%), it is thought that some positive events coincide with El Niño events40. The NAO index, however, appears to show that it affects the exploitation of eastern and western Atlantic bluefin tuna, Northern Atlantic Albacore and western Atlantic skipjack (a 2–3% change in F/FMSY from a 25% increase in NAO index). A positive anomaly in the NAO leads to a higher exploitation ratio. A positive NAO is the result of an Azores high and an Icelandic low, which results in an increased pressure gradient that causes westerlies to intensify and cold air to drain off the North American continent. Bluefin prefer cooler sea surface temperatures and frontal zones that give rise to food availability and survival for larvae41.
We used the Shannon Wiener index variables to investigate the diversity of the tuna fleet’s operations and as a proxy for communication and fishing efficiency, and this showed significant effects on F/FMSY. A positive coefficient reflects an increase in the spatial extent of operations and would be expected to result in an increase in mortality on the stock. Several authors have documented the dramatic changes in technology associated with the global tuna fishing fleets42,43,44, and how the use of new technologies by fishers (i.e. communication with other fishers) promotes information sharing leading to the most productive fishing grounds45 especially as stocks decline in size. Sophisticated FADs used during purse seine fishing determine the position and biomass of tunas below. Therefore the fishing operations may appear more spread out hence the positive coefficient. A 25% change in Shannon Weiner diversity indices resulted in a 2% increase in F/FMSY for the western central Pacific fleet fishing on skipjack tuna.
Conclusion
Tuna represent an iconic aquatic species that are important to many nations worldwide, not only for employment or economic returns from fishing, but are socially and culturally integral to local coastal communities as well as for the ecosystem. Our analysis has demonstrated how correlated social, economic and environmental variables can be combined in a simple model that can help to assess vulnerability to overexloitation and thus allow time for preventable management action.
Fisheries management has progressed over the course of the 20th century, but given the large proportion of stocks that are depleted or over-exploited7, the threat to many coastal communities, and the increasing number of marine species that have been lost or listed as endangered46, there is still a clear need for improved management. Our approach is necessarily simplified in that we analysed trends relative to fixed references points from stock assessment outputs. In reality changes in stock structure and environment will change FMSY (and also MSY and BMSY). Future work could aim to address these influences in more depth by integrating environmental variables into dynamic population models.
Materials and Methods
Data
There were several key sources of data used to build the model: stock assessment outputs, spatialy explicit catch and effort data and associated indicators of fisheries spatial spread, fish landed value and fuel price data, and environmental indicators previously been found to be important for tuna stock variability (the Southern Oscillation Index (SOI) in western central Pacific35 and the North Atlantic Oscillation Index (NAO)47). Assessing exploitation status relative to sustainable reference points is a key aim of stock assessments. F/FMSY time series data were acquired from the RAM legacy stock assessment database48 by year, stock (see Table 2) and species (skipjack (SKJ), yellowfin (YFT), albacore (ALB), bluefin (BFT) and bigeye tuna (BET)) (http://ramlegacy.org).
Covariates of exploitation status
The global tuna catch and effort databases from tuna RFMOs (which contains aggregated commercial logbook data of catch and effort by fishing gear) were used to develop a time-series of commercial purse seine, baitboat, longline, gillnet, troll and trap (area/stock specific – see Table 3) effort estimates for fleets operating between 1990 and 2014. The data collected for each country included an effort variable and in most cases for purse seine/baitboat/trap/gillnet was represented by the approximated fishing duration as number of trips/days/hours fished (or at sea) per one-degree cell. For longlines/trol this was a mixture of number of sets, hours and hooks per five-degree cell (longlines), year. The longline and purse seine fishing activity was converted to number of days at a scale of 1° (purse seine) or 5° (longline) cell by applying different conversions factors to the different effort types in order to produce a common variable, days fished (although days fished for purse seine and number hooks for longline could have been used, however, these data were available and formatted as part of on-going research in tandem and thus was considered practical) (see Table 3).
Spatial expansion of fisheries are known to occur as fisheries develop, as well as contracting at low population densities thus could provide a useful proxy for exploitation status. Shannon Wiener indices of fleet spatial behaviour by gear were used to estimate the spatial spread of fishing effort as has been previously used for tuna fleets44. This index is derived from information theory (knowledge transfer and represents the social variable) and measures the amount of order/disorder within a system; it is widely used in ecological research to study species diversity49. An index of zero indicates that only one area (1° or 5° cell) was visited within a specific fishing year. Unlike the study mentioned above, these data sets did not contain any information on vessel characteristics, trip ID or fleet composition in terms of numbers of vessels. Therefore the effort data were aggregated by year (y), gear (g) (longline or purse seine), organisation (o) (tRFMO) and stock (s) (i.e. Indian Ocean, Atlantic east or west etc…). An increase in the index describes how equally fishing effort is distributed across areas (a):
Economic theory suggests that fishers make their strategic choices based on changing stock biomass levels, management regulations (effort controls), market prices, and fuel costs. Ideally individual vessel cost data would be necessary to conduct a full bio-economic model; however much of these data are not available. As a result, several variables were used as surrogates, e.g. value as a proxy for economic viability and fuel price as a proxy for cost. US gulf prices (US$) per barrel were obtained from the US energy information administration (http://www.eia.gov/petroleum/data.cfm) averaged and adjusted for inflation using the IMF (average of three spot prices) index (https://knoema.com/IMFWEO2015Oct/imf-world-economic-outlook-weo-october-2015?tsId=1072230) relative a base year of 2014 and is known as the real price. Fisher skills, knowledge, and experience are expected to relate to the annual revenues of the target species of the fleet. Fresh and frozen prices were included to account for changes in the markets and hence targeting, i.e. when there is a shortage of fresh/frozen tuna the price increases. Price per metric kg data (Yen ¥) of the main target species, skipjack, yellowfin, albacore, bluefin and bigeye tuna fresh and frozen was acquired from Tsujiki market ex vessel prices from50 and the NOAA fisheries statistics website http://www.st.nmfs.noaa.gov/commercial-fisheries/market-news/related-links/market-news-archives/index). Average fish prices were calculated by year, which were subsequently converted to $US by applying historical conversion rates (https://www.oanda.com/currency/average) and adjusted (standardized) by the inflation factor for FAO fish price index (FPI) (http://www.fao.org/in-action/globefish/fishery-information/resource-detail/en/c/338601/) relative to a base year of 2014 to reduce bias in the data and is known as the real price.
The SOI and the NAO were obtained from the Australian government Bureau of Meteorology (http://www.bom.gov.au/climate/current/soihtm1.shtml) and (http://www.cpc.ncep.noaa.gov/products/precip/CWlink/pna/nao.shtml) respectively, to track the climatic effects. The SOI has been shown to be important globally (see 51,52) and has been thought to specifically affect tuna migrations and hence catchability particularly in the Pacific and the Indian oceans37 while the NAO has influenced Atlantic tunas47. Other area specific climatic indices were collected and combined to assess their effects on the 19 tuna stocks; these include the Indian Ocean Dipole Mode Indices (DMI), (http://www.jamstec.go.jp/frcgc/research/d1/iod/HTML/Dipole Mode Index.html), the tele-connection indices: East Atlantic (EA), West Pacific (WP), East Pacific-North Pacific (EP-NP), Pacific North America (PNA), and the Tropical North and South Atlantic Index (TNA and TSA) which were found at (https://www.esrl.noaa.gov/psd/data/climateindices/list/).
To track the link with human development and stock status HDI is included in the dataset (http://hdr.undp.org/en/data). The data described above are presented in Figs 1 and 4. All data above were averaged by year and merged with the spatial indices to create the database used in the analysis.
The model
When analysing such large and complex datasets correlation between dependent variables may mean parameter estimates are unstable and that the results do not reflect the actual relationship between the variables being studied53. Ridge regression is a modelling application that can deal with such issues of multi-collinearity and is an appropriate tool to model the economic, climatic and spatial diversity effects of the tuna fleets on their relative fishing exploitation status (F/FMSY). Since it was proposed54 ridge regression is one of the most widely used methods to tackle the issues of multi-collinearity. They suggested that there was potential instability in the OLS since OLS is heavily reliant on (X′X)−1. X is a square matrix of order (n × p) of centred observations ‘n’ on ‘p’ predictor (features), and Y is a n × 1 vector of centred observations on a response variable and X’Y is the correlation between X and Y:
thus any change in X may lead to large changes in (X′X)−1 which may offer a better fit of the data (describing how well the model fits the observations) but it may have poor predictive power. This is because high multi-collinearity may lead to a high mean square error MSE in β, which implies \(\hat{{\beta }}\) is an unreliable estimate of β. The authors suggested adding a term λ a constant value in order to stabilise the diagonal entities of (X′X)−1 and therefore the estimator is described formally as (IP represents matrices of eigenvalues and eigenvectors = diagonal vector of \({\lambda }_{1\ldots \ldots \ldots \ldots }{\lambda }_{\rho }\)):
which places penalties on the \(\beta ^{\prime} s\) which minimalizes the penalised sum of squares.
where \({{\beta }}_{{j}}\) are the parameters constrained in the linear model by the constant \({\lambda }\). Therefore if \({\beta }\)’s take on larger values they are subsequently penalised in the optimisation routine. It was suggested55 that \({\lambda }\) should be small enough so that the MSE of the ridge estimator is less than OLS estimator.
Choosing \(\lambda \) has often been a difficult obstacle faced by an analyst as54 stated and subsequently invented a graphic called ridge trace to assist. Simply ridge trace is a plot of the ridge coefficients for a given level of \(\lambda \) and the analyst selects the level of \(\lambda \) at the point where the coefficients have stabilised i.e. introduces the smallest bias. However instead of arbitrarily choosing a value of \(\lambda \) it would be more beneficial to select the tuning parameter on the basis of cross validation. The basic theory behind cross-validation is to split the data by removing a portion to build a model (the training set), then using the remainder of the data (the test set) to test the performance of the training set model by computing the mean square error and the minimum associated \(\lambda \). The procedure is repeated k times (10 fold) by randomly partitioning different portions of the data in turn and predicting the test set k − 1. Each model is then assessed on the different subsets of the data it predicts and an average proportion predicted is compared with the observed data from each test set.
The final procedure is to refit the ridge regression model with the minimum \(\lambda \) resulting from the cross validation on the full data set to obtain the coefficient estimates.
The analysis
The ridge regression conducted for this study included 6 core continuous feature variables (i.e. fuel cost (“realfuel”), climate (“SOI” and “NAO”), spatial effects (“SW”), fresh and frozen price of the core tuna species (“realfresp” and “realfrozp”)). Categorical variables (i.e. stock, species, and gear (stock/region specific – i.e. No ‘TRAP’ gears for any other region apart from East Atlantic bluefin)) are encoded as dummy variables 1 or 0. There were 1107 rows and 35 columns in the dataset including the response variable. These data were split into a separate datasets of regressor and response matrices and each randomly further split into training (2/3) and test sets (1/3). A ridge regression model was fit to the training set in order to determine a value of the tuning parameter \(\lambda \).
The marginal effects were calculated on the continuous predictor variables in order to understand their effects on F/FMSY i.e. a 25% change in X gives a % change in Y. while all other variables were held constant. Twenty five per cent seemed to represent a reasonable number given the year on year changes on the variables as presented in Fig. 5.
The glmnet packages were used to perform the ridge regression analysis in R56.
F/FMSY v HDI
HDI were obtained from the United Nations Development Programme for the years 1990–2012 (http://hdr.undp.org/en/data) for all available countries. Here we compared countries average HDI score within a stock region (Table 2) with F/FMSY status for that particular stock within two time periods (1990–2001 and 2002–2012) using a simple linear regression. Figure 4 for example displays the average HDI changes by country for 2012.
Data availability
The data supporting the findings of this study are available from the corresponding websites links embedded in this section.
References
United Nations General Assembly 2005 World Summit Outcome, Resolution A/60/1, adopted by the General Assembly on 15 September (2005). Retrieved on: 2009-02-17.
Food and Agriculture Organization of the United Nations (FAO), The State of World Fisheries and Aquaculture (2016).
Burgess, M. G., Clemence, M., McDermott, G. R., Costello, C. & Gaines, S. D. Five rules for pragmatic blue growth. Marine Policy https://doi.org/10.1016/j.marpol.2016.12.005 (2016).
HLPE. Sustainable fisheries and aquaculture for food security and nutrition. A report by the High Level Panel of Experts on Food Security and Nutrition of the Committee on World Food Security, Rome (2014).
World Bank Fish to 2030: prospects for fisheries and aquaculture. Agriculture and environmental services discussion paper; no. 3. Washington DC; World Bank Group, http://documents.worldbank.org/curated/en/458631468152376668/Fish-to-2030-prospects-for-fisheries-and-aquaculture (2013).
United Nations, Department of Economic and Social Affairs, Population Division. World Population Prospects: The 2015 Revision, Key Findings and Advance Tables. Working Paper No. ESA/P/WP.241 (2015).
Meissa, B. & Gascuel, D. Overfishing of marine resources: Some lessons from the assessment of demersal stocks off Mauritania. ICES J Mar Sci 72, 414–427 (2014).
Golden, C. Fall in fish catch threatens human health. Nature 534, 317–320 (2016).
Pew Galland, G., Rogers, A. & Nickson, A. Netting Billions: A Global Valuation of Tuna. The PEW Charitable Trusts, Philadelphia (2016).
Collette, B. B. et al. High value and long life—double jeopardy for tunas and billfishes. Science 333, 291–292 (2011).
Pons, M. et al. Effects of biological, economic and management factors on tuna and billfish stock status. Fish Fish 18, 1–21 (2017).
Kell, L. T. et al. The quantification and presentation of risk, Management Science in Fisheries: An Introduction to Simulation-Based Methods, Pages: 348-374, ISBN: 9781317615163 (2016).
de Bruyn, P., Murua, H. & Aranda, M. The precautionary approach to fisheries management: How this is taken into account by Tuna regional fisheries management organisations (RFMOs). Mar. Policy 38, 397–406 (2013).
Jennings, S. et al. Aquatic food security: insights into challenges and solutions from an analysis of interactions between fisheries, aquaculture, food safety, human health, fish and human welfare, economy and environment. Fish Fish 17, 893–938 (2016).
Hilborn, R. & Walters, C. J. Quantitative Fisheries Stock Assessment: choice, dynamics and uncertainty. Chapman and Hall, Inc. New York. ISBN 0412022710 (1992).
Srinivasan, U. T., Cheung, W. W. L., Watson, R. & Sumaila, U. R. Food security implications of global marine catch losses due to overfishing. Journal of Bioeconomics 12, 183–200 (2010).
Sumaila, U. R. et al. Benefits of rebuilding global marine fisheries outweigh costs. PLoS One 7, e40542 (2012).
Srinivasan, U. T., Cheung, W. W. L., Watson, R. & Sumaila, U. R. Response to removing biases in forecasts of fishery status. Journal of Bioeconomics 16, 221–222 (2013).
ISSF. ISSF Tuna Stock Status Update, 2015: Status of the world fisheries for tuna. ISSF Technical Report 2015-03A. International Seafood Sustainability Foundation, Washington, D.C., USA (2015).
Allison, E. H. et al. Vulnerability of national economies to the impacts of climate change on fisheries. Fish and Fisheries 10, 173–196, https://doi.org/10.1111/j.1467-2979.2008.00310.x (2009).
Gephart, J. A., Deutsch, L., Pace, M. L., Troell, M. & Seekell, D. A. Shocks to fish production: Identification, trends, and consequences. Global Environmental Change 42, 24–32 (2017).
Juan-Jordá, M. J., Mosqueira, I., Cooper, A. B., Freire, J. & Dulvy, N. K. Global population trajectories of tunas and their relatives. Proceedings of the National Academy of Sciences 108, 20650–20655 (2011).
Lam, V. W. Y., Cheung, W. W. L., Reygondeau, G. & Sumaila, U. R. Projected change in global fisheries revenues under climate change. Sci. Rep. 6, 32607 (2016).
Melnychuk, M. C., Peterson, E., Elliott, M. & Hilborn, R. Fisheries management impacts on target species status. Proceedings of the National Academy of Sciences 114, 178–183 (2017).
Agnew, D. J. et al. Estimating the worldwide extent of illegal fishing. PLoS ONE 4(2), e4570 (2009).
Cunningham, S. & Maguire, J.-J. Factors of unsustainability in large scale commercial marine fisheries. In: Gréboval, D. (ed.) Report and documentation of the International Workshop on Factors Contributing to Unsustainability and Overexploitation in Fisheries. Bangkok, Thailand, 4–8 February 2002. FAO Fisheries Report. No. 672. Rome, FAO. 173 pp. (2002).
Mumford, J. D., Leach, A. W., Levontin, P. & Kell, L. T. Insurance mechanisms to mediate economic risks in marine fisheries. ICES Journal of Marine Science 66, 950–959 (2009).
Kasperski, S. & Holland, D. S. Income diversification and risk for fishermen. Proc Natl Acad Sci USA 110, 2076–2081 (2013).
Burgess, M., Polasky, S. & Tilman, D. Predicting overfishing and extinction threats in multispecies fisheries. Proc Natl Acad Sci USA 110, 15943–15948 (2013).
The World Bank and FAO. The Sunken Billions. The World Bank, Washington DC, 100pp (2009).
Miyake, M. P. Factors affecting recent developments in tuna longline fishing capacity and possible options for management of longline capacity. FAO Fisheries Proceedings 8, Rome (2007).
Barclay, K. & Cartwright, I. Governance of tuna industries: the key to economic viability and sustainability in the western and central Pacific Ocean. Mar Policy 31, 348–358 (2007).
Gillett, R. Fisheries in the Economies of Pacific Island Countries and Territories. Pacific Studies Series, Asian Development Bank (2009).
Sumaila, U. R., Dyck, A. & Baske, A. Subsidies to tuna fisheries in the Western Central Pacific Ocean. Mar Policy 43, 288–94 (2014).
Chu, L. & Kompas, T. Targets and Fisheries Management in the Asia and Pacific Region. Asia & the Pacific Policy Studies 1(3), 615–622 (2014).
Lehodey, P., Bertignac, O. M., Hampton, J., Lewis, A. & Picaut, J. El Niño Southern Oscillation and tuna in the western Pacific. Nature 389(6652), 715–718 (1997).
Kumar, P. S., Pillai, G. N. & Manjusha, U. El Nino Southern Oscillation (ENSO) impact on tuna fisheries in Indian Ocean. SpringerPlus 3(1), 591, https://doi.org/10.1186/2193-1801-3-591 (2014).
Campbell, H. F. & Hand, A. J. Modeling the spatial dynamics of the U.S. purse seine fleet operation in the Western Pacific tuna fishery. Can J Fish Aquat Sci 56, 1266–1277 (1999).
Arrizabalaga, H. et al. Global habitat preferences of commercially valuable tuna. Deep-Sea Research II 113, 102–112 (2015).
Meyers, G., McIntosh, P., Pigot, L. & Pook, M. The years of El Niño, La Niña, and interactions with the Tropical Indian Ocean. J Climate 20, 2872 (2007).
Teo, S. L. H. & Block, B. A. Comparative Influence of Ocean Conditions on Yellowfin and Atlantic Bluefin Tuna Catch from Longlines in the Gulf of Mexico. PLoS ONE 5(5), e10756 (2010).
Fonteneau, A., Chassot, E. & Bodin, N. Global spatio-temporal Patterns in tropical tuna purse seine fisheries on drifting fish aggregating devices (DFADs): Taking a historical perspective to inform current challenges. Aquatic Living Resources 26, 37–48 (2013).
Torres-Irineo, E., Gaertner, D., Chassot, E. & Dreyfus-León, M. Changes in fishing power and fishing strategies driven by new technologies: The case of tropical tuna purse seiners in the eastern Atlantic Ocean. Fisheries Research 155, 10–19 (2014).
Tidd, A., Brouwer, S. & Pilling, G. Shooting fish in a barrel? Assessing fisher-driven changes in catchability within tropical tuna purse seine fleets. Fish Fish. 00, 1–13 (2017).
Lopez, J. et al. Technological and fisher’s evolution on fishing tactics and strategies on FADs vs. non-associated fisheries. IOTC–2015–WPTT17–32 (2015).
Dulvy, N. K., Sadovy, Y. & Reynolds, J. D. Extinction vulnerability in marine populations. Fish and Fisheries 4, 25–64 (2003).
Santiago, J. The North Atlantic oscillation and the recruitment of temperate tunas, ICCAT. SCRS/97/40. Rec. Doc. Sci. 48(3), 240–249 (1998).
Ricard, D., Minto, C., Jensen, O. P. & Baum, J. K. Evaluating the knowledge base and status of commercially exploited marine species with the RAM Legacy Stock Assessment Database. Fish and Fisheries 13, 380–398 (2013).
Hill, M. O. Diversity and evenness: A unifying notation and its consequences. Ecology 54, 427–432 (1973).
Sonu, S. C. Japan’s Tuna Market. NOAA Technical Memorandum NMFS-SWR 36: 61 pp. (1991).
Lehodey, P., Chai, F. & Hampton, J. Modelling climate-related variability of tuna populations from a coupled ocean–biogeochemical-populations dynamics model. Fish Ocean 12, 483–494 (2003).
Lehodey, P. et al. Climate variability, fish, and fisheries. J Clim 19(20), 5009–5030 (2006).
Elwood, J. M. editor. Causal Relationships in Medicine. Oxford: Oxford University Press. p. 332 (1988).
Hoerl, A. E. & Kennard, R. W. Ridge Regression: Biased Estimation for Nonorthogonal Problems. Technometrics 12, 55–67 (1970).
Hoerl, A. E., Kennard, R. W. & Baldwin, K. P. Ridge Regression: some simulations. Comm in Statis 4, 105–123 (1975).
R Core Team. R: A language and environment for statistical computing. R Foundation for Statistical Computing, Vienna, Austria. http://www.R-project.org/ (2016).
Watson, R. A database of global marine commercial, small-scale, illegal and unreported fisheries catch 1950-2014. Nature Scientific Data 4 (2017).
Sumaila, U. R., Marsden, A. D., Watson, R. & Pauly, D. A global ex-vessel fish price database: construction and applications. Journal of Bioeconomics 9, 39–51 (2017).
Human Development Report. Work for Human Development (Programas de las Naciones Unidas para el Desarrollo, 2015) (2015).
Ward, P., Myers, R. A. & Blanchard, W. Fish lost at sea: the effect of soak time on pelagic longline catches. Fisheries Bulletin 102, 179–195 (2004).
Chassot, E. et al. Statistics of the European Union and associated flags purse seine fishing fleet targeting tropical tunas in the Indian Ocean 1981–2012. IOTC-WPTT-13 44 pp (2013).
Tidd, A., Pilling, G. & Harley, S. J. Examining productivity changes within the tropical wcpo purse seine fishery. WCPFC-SC11-2015/MI-WP-06, Pohnpei, Federated States of Micronesia, 5–13 August 2015 (2015).
Setyadji, B., Novianto, D. & Bahtiar, A. Size structure of bullet tuna (auxis rochei, risso, 1810) caught by small scale and industrial purse seine fisheries in indian ocean - south of java based on trial scientific observer data. IOTC–2013–WPNT03–30 (2013).
Fonteneau, A. & Diouf, T. An efficient way of bait-fishing for tunas recently developed in Senegal. Aquatic Living Resources 7, 139–151 (1994).
Estimation of bycatch and discard in Iranian fishing vessels (gillnets) in the iotc area of competence during 2012. IOTC-2012-WPEB08-42 (2012).
Uchida, R. N. & Sumida, R. F. Tuna: Pole-and-line fishing trials in central and western Pacific. Mar. Fish. Rev. 35(1-2), 31–41 (1973).
Acknowledgements
The AT and RAW acknowledge support from the Australian Research Council (Discovery project DP140101377). JLB acknowledges support from the Australian Research Council (Discovery project DP170104240).
Author information
Authors and Affiliations
Contributions
A.N.T. designed the study, carried out analyses, prepared figures and wrote the manuscript. R.A.W. prepared Fig. 4. All authors contributed to the interpretation of results, comments and editing of the manuscript.
Corresponding author
Ethics declarations
Competing Interests
The authors declare no competing interests.
Additional information
Publisher's note: Springer Nature remains neutral with regard to jurisdictional claims in published maps and institutional affiliations.
Electronic supplementary material
Rights and permissions
Open Access This article is licensed under a Creative Commons Attribution 4.0 International License, which permits use, sharing, adaptation, distribution and reproduction in any medium or format, as long as you give appropriate credit to the original author(s) and the source, provide a link to the Creative Commons license, and indicate if changes were made. The images or other third party material in this article are included in the article’s Creative Commons license, unless indicated otherwise in a credit line to the material. If material is not included in the article’s Creative Commons license and your intended use is not permitted by statutory regulation or exceeds the permitted use, you will need to obtain permission directly from the copyright holder. To view a copy of this license, visit http://creativecommons.org/licenses/by/4.0/.
About this article
Cite this article
Tidd, A., Blanchard, J.L., Kell, L. et al. Predicting global tuna vulnerabilities with spatial, economic, biological and climatic considerations. Sci Rep 8, 10572 (2018). https://doi.org/10.1038/s41598-018-28805-z
Received:
Accepted:
Published:
Version of record:
DOI: https://doi.org/10.1038/s41598-018-28805-z
This article is cited by
-
A chromosome-level genome assembly of skipjack tuna, Katsuwonus pelamis (Perciformes: Scombridae)
Scientific Data (2024)
-
Species-specific heavy metal concentrations of tuna species: the case of Thunnus alalunga and Katsuwonus pelamis in the Western Mediterranean
Environmental Science and Pollution Research (2022)







