Figure 2 | Scientific Reports

Figure 2

From: Author Correction: Labile organic carbon pools and enzyme activities of Pinus massoniana plantation soil as affected by understory vegetation removal and thinning

Figure 2

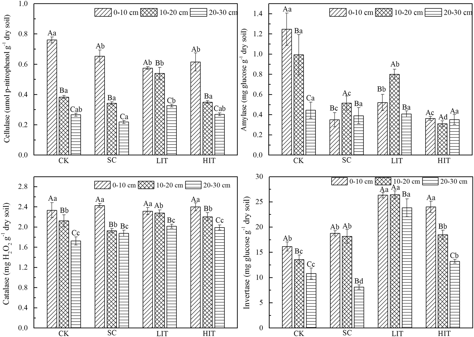
Soil enzymes in the four forest management treatments. The three columns in each treatment represent the quantities of four soil enzymes at different soil depths. Significant differences among different soil layers subjected to the same treatments are identified with A, B, and C (p < 0.05). Significant differences among different treatments of the same soil layer are identified with a, b, c, and d (p < 0.05), based on the analysis of variance. Values are means ± standard error (n = 3).

Back to article page