Correction to: Scientific Reports https://doi.org/10.1038/s41598-017-18812-x, published online 12 January 2018
The Article contains errors in Table 1. The correct Table 1 appears below.
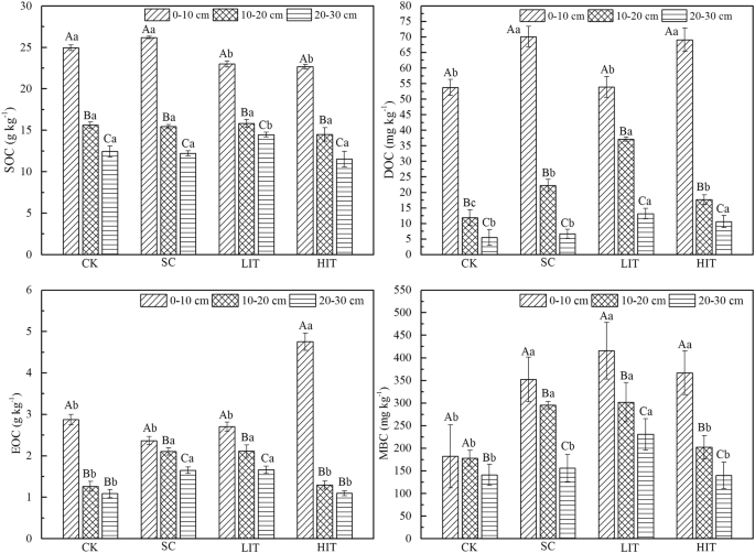
This Article contains errors in the labelling and scaling of the charts in Figure 1. The correct Figure 1 appears below:
Soil LOC fractions in the four forest management treatments. The three columns in each treatment represent the quantities in soil LOC content at different soil depths. Significant differences among different soil layers subjected to the same treatments are identified with A, B, and C (p < 0.05). Significant differences among different treatments of the same soil layer are identified with a, b, c, and d (p < 0.05), based on the analysis of variance. Values are means ± standard error (n = 3).
In addition, the Article also contains errors in the units and labelling for the charts in Figure 2. The correct Figure 2 appears below:
Soil enzymes in the four forest management treatments. The three columns in each treatment represent the quantities of four soil enzymes at different soil depths. Significant differences among different soil layers subjected to the same treatments are identified with A, B, and C (p < 0.05). Significant differences among different treatments of the same soil layer are identified with a, b, c, and d (p < 0.05), based on the analysis of variance. Values are means ± standard error (n = 3).
The Article also contains errors in Table 2 where EOC was incorrectly given as ROC. In addition, Table 2 contains a typographical error in the fourth row of the ‘Invertase’ column where ‘+’ is erroneously present.
This Article contains errors in the Materials and Methods section under subheading ‘Soil analysis’.
“This subsample was used to determine NH4+–N, NO3−–N, DOC, MBC, EOC, and enzyme activities (cellulase, amylase, invertase, and catalase). The other subsample was air-dried and sieved before use for the analysis of SOC and other soil properties (TN, TP, TK, AK, AP, and pH).”
should read:
“This subsample was used to determine DOC, MBC, EOC, and enzyme activities (cellulase, amylase, invertase, and catalase). The other subsample was air-dried and sieved before use for the analysis of SOC and other soil properties (TN, NH4+–N, NO3−–N, TP, TK, AK, AP, and pH).”
Also under the subheading ‘Sample analyses’.
“Soil pH was determined from a soil water (1:5 w/v) suspension, prepared by shaking 30 min, using a conductivity meter.”
should read:
“Soil pH was determined from a soil water (1:2.5) suspension, prepared by shaking 30 min, using a conductivity meter.”
Finally, the authors neglected to cite a previously-published related paper. This is listed below as reference1.
As a result, in the Materials and Methods section under subheading ‘Soil enzyme activity analysis’
“Soil amylase activity was measured using 2 g of fresh soil incubated for 24 h at 37 °C according to Ebregt’s method74. Soil invertase activity was measured as at 30 °C and pH 4.65 in Na-acetate buffer according to Gianfreda’s method75. Soil cellulase activities were detected by an incubation according to Sharma’s method76, and soil catalase activity was determined at pH 7.0, following the monitoring of the decomposition of H2O2 at 240 nm with an extinction coefficient of 43.6 M−1 cm−1 according to Roggenkamp and Sahm77.”
should read:
“Soil amylase activity was measured using 2 g of fresh soil incubated for 24 h at 37 °C according to methods of Ebregt74 and Guan1. Soil invertase activity was measured according to Guan’s method1 and Gianfreda’s method75. The amylase and invertase activities were expreseed as mg glucose g−1 soil 24 h−1. Soil cellulase activities were detected by an incubation according to Sharma’s method76 and Guan’s method1, and the activity was expreseed as μmol p-nitrophenol g−1 soil h−1. Soil catalase activity was determined at pH 7.0, following the monitoring of the decomposition of H2O2 at 240 nm with an extinction coefficient of 43.6 M−1 cm−1 according to Roggenkamp77 and Guan1, and the activity was expreseed as mg H2O2 g−1 soil 20 min−1.”
Reference
Guan, S. Y. Soil enzymes and their research methods. Agriculture Press. Beijing (1986).
Author information
Authors and Affiliations
Corresponding author
Rights and permissions
Open Access This article is licensed under a Creative Commons Attribution 4.0 International License, which permits use, sharing, adaptation, distribution and reproduction in any medium or format, as long as you give appropriate credit to the original author(s) and the source, provide a link to the Creative Commons license, and indicate if changes were made. The images or other third party material in this article are included in the article’s Creative Commons license, unless indicated otherwise in a credit line to the material. If material is not included in the article’s Creative Commons license and your intended use is not permitted by statutory regulation or exceeds the permitted use, you will need to obtain permission directly from the copyright holder. To view a copy of this license, visit http://creativecommons.org/licenses/by/4.0/.
About this article
Cite this article
Shen, Y., Cheng, R., Xiao, W. et al. Author Correction: Labile organic carbon pools and enzyme activities of Pinus massoniana plantation soil as affected by understory vegetation removal and thinning. Sci Rep 8, 11466 (2018). https://doi.org/10.1038/s41598-018-29781-0
Published:
Version of record:
DOI: https://doi.org/10.1038/s41598-018-29781-0

