Abstract
The corrosion inhibition efficiency of 2-Thiobarbituric acid (TBA) for metal substrate (API X60 steel) in 3.5% NaCl solution saturated with CO2 gas was probed using various techniques namely, LPR (linear polarization resistance), EIS (electrochemical impedance spectroscopy), and PDP (potentiodynamic polarization). The effects of TBA concentration (25–100 ppm), solution pH (4 and 6), temperature (25–80 °C), and immersion time (2–72 h) on the inhibition efficiency were examined. SEM (scanning electron microscopy) and XPS (X–ray photoelectron spectroscopy) were deployed to explore the corrosion retardation mechanism. TBA exhibited protection efficiencies exceeding 90% for all experimental conditions considered. The excellent anticorrosion performance by TBA was retained up to 72 hours of immersion time. PDP results exhibited that TBA behaved as a mixed type inhibitor. Results from kinetics and thermodynamics analyses indicate that TBA chemically adsorbed on the steel surface following Langmuir isotherm model. The composition of the adsorbed TBA film has been analyzed by XPS.
Similar content being viewed by others
Introduction
CO2 corrosion is a serious challenge faced in the oil and gas industries. Crude oil wells contain varying amounts of CO2 as an associate gas. CO2 gas readily dissolves in the formation water and forms a weak carbonic acid which leads to severe corrosion attack. Beside the general corrosion, CO2 also causes localized corrosion and as it is known, this type of corrosion is difficult to predict, detect, and protect against1. It is ranked as the topmost type of attack encountered in the production and transportation of crude oil1,2. In oilfields, 60% of failures are believed to be caused by corrosion and CO2 corrosion is the major contributor3.
The use of corrosion inhibitors is the most practical and less expensive approach widely employed to control corrosion in the oil and gas industries4,5,6,7,8. Hitherto, arsenates, chromates, ferrocyanide, and metavandate were the choice corrosion inhibitors for the oilfield corrosion but have long lost patronage on the basis of their high toxicity. As replacement, organic adsorption inhibitors such as imidazolines and their derivatives are used7. Another category of organic inhibitors in use in industrial formulations are products formed from the condensation reactions of organic compounds with amino, carbonyl, and hydroxyl functional groups8. The π-electrons and heteroatoms like N, O, P, and S present in the structures of organic compounds serve as adsorption centers and facilitate adsorption on substrate surface6,7,9. Nevertheless, some of these synthetic compounds are only effective at high concentrations and also possess toxicity that is inimical to the environment. The research focus of the present is on developing effective ecological friendly inhibitors – the so called green corrosion inhibitors that could take the place of organic and inorganic inhibitors10. The targeted class of compounds include natural polymers, plant extracts, amino acids, expired drugs, and medicinal products11,12.
Barbiturates are non-toxic central nervous system depressants and also effective as anxiolytics, hynotics, and anti-convulsants. Manufacturing industries such as plastics, polymers, textiles etc. are also common users of barbiturates13. There are few published works on the corrosion inhibition effect of barbiturates. It had been reported as a corrosion inhibitor for low carbon steel in HCl environment13. Ozcan et al.14 studied the anticorrosion performance of TBA, 5,5-diethylbarbituric acid sodium salt (DEBA), and barbituric acid (BA) for mild steel in 1 M H3PO4 medium14 and were found effective. BA, TBA, and ethyl barbituric acid (EBA) had equally been documented to be effective in suppressing mild steel dissolution in 0.5 Μ HCl environment15. To the best of our knowledge, there is no report on the use of barbiturates as inhibitors to protect steel against corrosion in CO2 saturated environments.
The present work aims to evaluate the performance of TBA as a corrosion inhibitor for API 5 L X60 steel in CO2-saturated NaCl medium via LPR, EIS, PDP, SEM, XPS, and FTIR techniques. The effect of pH and temperature has also been studied. We had earlier reported Tannic acid as ecofriendly corrosion inhibitor for the same metal substrate (API 5 L X60 steel) and the same corrosive environment16. TBA (Fig. 1) is a highly potential green inhibitor owing to the presence of N, O and S heteroatoms in its chemical structure in comparison to other barbiturates17. Also, TBA contains S heteroatom in addition to N and O which are present in all barbiturates. The additional S heteroatom in TBA could convey greater corrosion inhibition effect because of improved adsorption of the heteroatoms on metal surfaces in the order S > N > O5.
Experimental
Sample Preparation
An API 5 L X60 steel was used as the working electrode. The elemental composition is given in Table 1. A flat sheet of the metal was cut into 1 × 1 cm2 samples and were mounted in epoxy resin. The exposed surface (1 cm2) was abraded with different grit of SiC paper, washed with ethanol and distilled water, and then dried with warm air.
Solution Preparation
The corrosive medium was 0.6 M (3.5 wt.%) NaCl solution. The electrolyte solution was used to prepare different concentrations of TBA (Sigma Aldrich).
Electrochemical testing
The electrochemical measurements were done following the ASTM G3–8918 and G5–9419 standard. The experiments were carried out making use of a Gamry potentiostat/galvanostat/ZRA (Reference 3000, Gamry) instrument. The counter electrode was a graphite rod while a saturated calomel electrode (SCE) play the role of a reference electrode. To mimic an oxygen free oilfield condition, N2 (99.99%) was bubbled into the solution for 30 minutes20,21. Thereafter, the environment was saturated with CO2 gas for 7200 s before the insertion of the working electrode. The pH was about 3.8 when the solution was saturated with CO2 and was adjusted to the working pH of 4.0 and 6.0 by addition of sodium bicarbonate (NaHCO3). The CO2 gas was bubbled continuously throughout the duration of experimental measurements.
In order to satisfy the essential requirement of stationarity, 3000 s were allowed for OCP (open circuit potential) stability prior to electrochemical testing. The EIS measurements were recorded at a sinusoidal excitation ac voltage of ±10 mV (rms) and the responses assessed in the frequency range of 10 mHz-100 kHz with ten points per decade. For LPR experiments, the API 5 L X60 steel electrode was polarized at ±15 mV relative to open circuit potential (Eocp) and the scan rate was 0.2 mVs−1. PDP measurements were achieved by polarizing the API 5 L X60 steel electrode at a potential range of ±250 mV vs. Eocp at a rate of 0.2 mVs−1. For the purpose of reproducibility, each experiment was conducted in triplicate and average values of the electrochemical parameters are reported. The standard deviation computed for all the electrochemical parameters were less than 5% pointing to high reproducible data.
To quantitatively assess the anticorrosive ability of TBA, the percentage protection efficacy (%IE) was computed using Eqs (1–3) from EIS, LPR and PDP experiments respectively:
where Rcti and Rctb are the charge transfer resistances in presence and absence of TBA, respectively.
where Rp,i and Rp,b are the polarization resistances of the specimen in the corrosive system without and with TBA, respectively.
where icorr,b and icorr,i are the corrosion current densities in the absence and presence of TBA, respectively.
Surface screening
SEM (JOEL JSM-6610LV) and XPS (ESCALAB 250Xi XPS) approaches were used for surface analysis. The steel coupons were abraded mechanically with various grits of SiC paper and the dusts generated from the process were removed by washing in distilled water and ethanol. The dried samples were submerged for 24 h at 25 °C in 3.5% NaCl saturated with CO2 with and without the TBA. After 24 h immersion time, the specimens were removed from the environment, cleaned with distilled water and dried at room temperature before surface investigation. The acceleration voltage used in SEM analysis was 10 kV. The FTIR analysis was carried out on the adsorbed inhibitor film on the surface of specimen after immersion for 24 h at room temperature and also on the pure TBA for comparison purposes.
Results and Discussion
Variation of open circuit potential (OCP)
It is an essential requirement that a steady state condition be established before the commencement of electrochemical impedance measurements. Practically, this is impossible since corrosion process is dynamic in nature. However, reliable electrochemical results can still be obtained if a pseudo steady condition is attained. For the purpose of fulfilling this important requirement, the working electrode was immersed in test solutions for approximately 3000 s. Figure 2 displays the variation of open circuit potential with time domain for API 5 L X60 steel in 3.5% NaCl CO2-saturated solution devoid of and containing various concentrations of TBA at (a) pH 4 and (b) pH 6. As could be seen in the figure, the allowed time was sufficient for a pseudo steady state condition to be established. It is however observed from the figure that the open circuit potential was affected by the composition of the solution and pH. Generally, a nobler OCP was recorded in pH 4 solution (Fig. 2(a)) than pH 6 solution (Fig. 2(b)). Pourbaix22 had predicted that solution pH affects the dissolution behavior of iron and its alloys by altering the stability of adsorbed film. In Fig. 2(a) (pH 4), the presence of TBA display OCP towards anodic direction relative to that of the blank. This suggests that TBA in the studied system exerted greater inhibiting effect on anodic reactions than cathodic reactions23. A precise categorization of an inhibitor as either anodic, cathodic, or mixed type requires an OCP displacement of up to 85 mV with respect to that of blank solution24. In Fig. 2(b) (pH 6), the lower and higher concentrations are seen to behave differently. For instance, 25 ppm and 50 ppm shifted OCP to nobler values while 75 ppm and 100 ppm initially displaced OCP towards more negative values relative to the OCP of the blank. Similar observation has been documented in the corrosion literature25,26 and was associated with adsorption or desorption of adsorbed films from substrate surface.
Effect of inhibitor concentration
The effect of concentration on the TBA corrosion inhibition performance for API 5 L X60 steel in 3.5% NaCl CO2-saturated solution was examined using LPR approach at 25 °C at pH 4 and 6. Figure 3 displays the variations CR (corrosion rate) and %IE with TBA concentration for the tested environment acidified to constant pH levels. Three observations can be highlighted. First, the corrosion rate in the blank solution at pH 4 (69.9 mpy) is notably higher than that at pH 6 (41.3 mpy). The higher corrosion rate in lower pH solution has been attributed to the dominating cathodic reaction22. Hydrogen reduction is the dominant cathodic reaction at pH 4 while reduction of carbonates is the predominant at pH 627,28,29. Second, the overall performance of the inhibitor appears to be the same for both pH environments. For example, the corrosion rate dropped sharply on introduction of 25 ppm of TBA and inhibition efficiencies of 91% and 90% for pH 4 and 6, respectively are observed. Third, increasing TBA concentration from 25 to 75 is accompanied with slight improvement in the %IE at both pH levels. An increment in TBA amount up to 100 ppm resulted in a slight decline in %IE. This kind of behavior has been reported by some researchers30,31 and was attributed to the dependence of adsorption coverage on the inhibitor concentration. At concentrations below a critical value, the %IE increases with increased inhibitor concentration due to greater adsorption coverage. As the inhibitor concentration is raised above the critical value, adsorption coverage reduces owing to increased lateral repulsion between the inhibitor molecules.
EIS approach was employed to further probe the performance of TBA in the considered aggressive medium. The impedance spectra for API 5 L X60 steel in blank solution and in TBA containing solutions (25–100 ppm) at two pH levels of 4 and 6 are shown in Fig. 4(a,b). TBA introduction has clearly changed the behavior of the steel and this can be visualized in two ways: First, the diameter of the semicircle which is related to Rct (charge transfer resistance) increased with TBA addition and its magnitude increased with increasing TBA quantity up to 75 ppm. This reflects an improvement in the resistive property of the substrate against corrosion. At 100 ppm, the charge transfer resistance decreased indicating a drop in %IE compared to 50 and 75 ppm concentrations. Second, the inductive loop noted in the blank solution at low frequencies did not appear in TBA containing solutions. This is believed to be the result of active dissolution of the metal followed by adsorption of intermediate products (FeOHads) in CO2 environment32,33,34,35,36,37. This illustrates the direct inhibitor effect on the dissolution process of the steel in CO2 corrosion. The formation of FeOHads as an intermediate during the dissolution of steel has long been reported in acidic media38 and in CO2 saturated environment32,33,34,35,36,37. The mechanism of intermediate product formation has been described by the following reactions39:
Figures 4(c,d) show Bode plots for pH 4 and 6 CO2 environment, respectively. It is seen that the resistive impedance at the low frequency regime increase and reach its peak at the optimum TBA amount of 75 ppm and dropped thereafter. The ECs (equivalent circuits) deployed for the fitting of the EIS graphs which are similar to the ones earlier reported in Usman et al.16 are presented in Fig. 5 and the obtained parameters are listed in Table 2. The goodness of fit is given in terms of χ2 (chi squared values). In the ECs, Rs = solution resistance, Rct = charge transfer resistance, Rf = film resistance, CPEdl = di-layer capacitance represented as a constant phase element, Cf = film capacitance, RL = inductive resistance, and L = inductance. The CPE describes non-ideal Faradaic capacitor and its impedance is given by:
The CPE represents an ideal faradaic capacitor as n approaches 1 (Yo = C) and simplifies to a pure resistor as n approaches 0 (Yo = 1/R). Table 2 reveals that the solution resistance (Rs) is not varying significantly with the addition of the inhibitor for both solutions. However, the charge transfer resistance (Rct) changed dramatically with the introduction of 25 ppm of TBA and increased appreciably with increased inhibitor amount up to 75 ppm. Increase in the quantity of inhibitor to 100 ppm was accompanied with a noticeable drop in the Rct. The film resistance (Rf) also increased with increase in the quantity of TBA up to 75 ppm and consequently decline as the concentration was raised to 100 ppm for pH 4 and 6 solutions. The double layer non-ideal capacitances of the electrode in the inhibitor-fortified solutions (Yo) are appreciably lower than in the free solution and showed no significant variation with the inhibitor concentration. Both increased Rct and decreased Yo in the inhibited solution signify a mechanism of suppression of the dissolution process probably because of adsorption of TBA molecules as compared to a monolayer water adsorption. The drop in the non-ideal capacitance in the inhibited solution could also be due to lower dielectric constant of the organic molecules as compared to water32. The %IE increased with increased concentration and reached the maximum values of 97.1 and 97.8% at 75 ppm concentration at pH 4 and 6, respectively. By increasing the concentration further, %IE decreased which is consistent with LPR results (Fig. 3). It is exciting to note that the double layer exponent n corresponding to the highest %IE in both solutions are the minimum values (0.64 and 0.61 for pH 4 and 6 solutions, respectively). It should be noted that the limiting value of n is 0.5 where the reactive species are under diffusion control. Similar behavior can be observed in the data reported by Espinoza-Vázquez et al.31 for perezone inhibition of 1018 steel immersed in CO2 saturated 3% NaCl solution. The minimum values of n could point to the development of full coverage of adsorbed TBA molecules on the steel surface resulting in diffusion controlled electrochemical reactions.
Figure 6 presents typical polarization curves for API 5 L X60 steel in CO2-saturated 3.5% NaCl solution devoid of and containing TBA at 25 °C and pH of 4. The electrochemical parameters derived from the analysis of these curves are displayed in Table 3. As clearly seen in the table, the addition of TBA to the corrosive medium resulted in equal reduction of the cathodic current densities for all inhibitor concentrations when compared at the same potential. However, the anodic current density decreased proportionally with the concentration reaching the lowest value in the solution containing 75 ppm TBA. A further increase in TBA concentration to 100 ppm was accompanied with an increase in the anodic current density over the whole anodic region. Table 3 also reveals that the addition of TBA resulted in a shift in Ecorr values towards more noble values. Moreover, icorr decreased with addition of TBA reaching the lowest value of 2.69 µA/cm2 at 75 ppm concentration with the highest %IE of 98.9. The corrosion current density increased to 9.62 µA/cm2 as the TBA concentration was raised to 100 ppm resulting in a slight drop in %IE. Both the anodic and the cathodic Tafel (βa & βc) constants have changed in the presence of the inhibitor. This suggests that TBA functioned as a mixed type inhibitor. The mechanism of inhibition of the cathodic reaction seems to be concentration-independent whereas the influence of TBA on the anodic reaction appears to be sensitive to the range of concentration examined (25–100 ppm).
Effect of immersion time
The effect of exposure duration on the corrosion inhibition of TBA was evaluated using LPR method at a constant inhibitor concertation of 50 ppm in a solution of fixed pH of 4 at 25 °C. The corrosion rates and the polarization resistances for the blank and the inhibited solution are presented in Table 4 for 2, 12, 24, 48, and 72 h of continuous immersion. As could be seen, the dissolution rate for the unfortified solution increased with immersion time while that of the fortified solution decreased slightly with time. Increases in corrosion rates for the blank sample and decreases in the corrosion rates for the inhibited solution with longer exposure period underlines the effectiveness of the inhibition process.
The impedance plots in Nyquist and Bode phase angle representations for the studied steel in 3.5% NaCl solution saturated with CO2 at pH of 4 without and with 50 ppm TBA at different immersion times are depicted in Fig. 7. The Nyquist spectra for the blank solution (Fig. 7(a)) exhibits inductive character at low frequencies for all exposures duration due to adsorption of an intermediate product during the dissolution process31,32,33,34,35,36,37. This behavior is clearly illustrated in the phase angle vs. frequency plot in Fig. 7(c) which displays positive phase angles at low frequencies for all exposure times in the blank solution. At intermediate frequencies, it is evident that there is a single time constant for all exposures suggesting the absence of the formation of carbonate precipitation film. The phase angle is maximum for 2 and 12 h exposures and dropped for 24, 48, and 72 h and the maximum value shifted slightly to lower frequency. The decrease in the maximum phase angle might suggest a loss in the double layer capacitance at longer exposure times. Fig. 7(d) shows the phase angle vs. frequency plots in the inhibited solution for various exposure times. Single time constant is apparent in the plots for 2 and 12 h while the phase angle responses for 24, 48, and 72 h show the presence of diffuse double time constants with small difference in the intermediate frequency region. In addition, the maximum phase angles are more negative in the inhibitive solution than in the free solution which is related to the increase of the capacitance character due to the inhibitor film40. Moreover, the additional peak at medium frequencies during longer exposure times is indicative of the presence of an adsorbed inhibitor film on the substrate surface and this layer is responsible for improved protection performance. Furthermore, Fig. 7(d) shows that the maximum phase angle shifted to lower frequencies at longer immersion time. This could be attributed to enhanced film capacitance or film resistance or both according to the relationship between the angular frequency (ωmax) and the double layer resistance Rdl and capacitance Cdl (ωmax = 1/(Rdl*Cdl)). The equivalent circuits shown in Fig. 5 were used to fit the experimental data in order to generate the electrochemical parameters. Table 5 presents EIS parameters for the influence of immersion time on the corrosion process of API 5 L X60 steel in CO2 environment at 25 °C and pH 4. The Rct in the blank solution decreased with immersion time while the charge transfer resistance in TBA containing solution increased with time which indicates improved inhibition with immersion time. Table 5 also indicate that the film resistance (Rf) and the film capacitance (Cf) increased with longer exposure time. This might be related to thickening of the adsorbed inhibitor film with exposure time.
Influence of temperature
The corrosion characteristics of API 5 L X60 steel immersed in 3.5% NaCl solution saturated with CO2 without and with 50 ppm TBA was examined in the temperature range of 25 to 80 °C. Results of LPR measurements performed to assess the temperature factor on the dissolution characteristic of API 5 L X60 steel in the sweet corrosive medium with and without TBA at pH 4 are presented in Table 6. It is seen from the table that the corrosion rate in the blank solution increased at elevated temperatures which might be associated with the absence of carbonate protective scales41. The corrosion rates for the inhibited solution increased slightly with the solution temperature. However, the inhibition efficiency remained almost constant over the range of temperature investigated. The influence of temperature on the inhibition process is a complex phenomenon because of the numerous competing factors that affect the kinetics of inhibitor adsorption/desorption, electrochemical reactions, and diffusion of the reactive species. For example, rise in temperature may alter the chemical behavior of inhibitor molecules such that the electron densities at the centers of the molecules increase and improves molecular adsorption42. Also, the inhibitor itself may undergo decomposition and/or rearrangement43 and this could have serious influence on the inhibition efficiency. Therefore, the effect of temperature required further investigation.
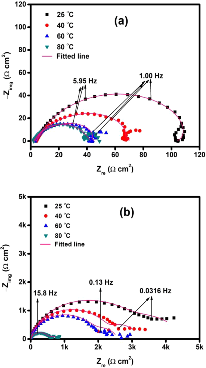
The influence of temperature on the adsorption behavior of TBA was also investigated using EIS and Fig. 8 presents the obtained Nyquist plots. The parameters associated with the plots are listed in Table 7. The data indicate that the charge transfer resistance (Rct) decreased with increase in temperature from 25 to 80 °C for the blank and the inhibited solutions. The %IE calculated using LPR data (Table 6) and EIS data (Table 7) are consistent in showing that the %IE slightly increased with temperature. Several researchers have attributed increased %IE with rise in temperature to the difference in Ea (activation energy) of corrosion processes in the uninhibited and inhibited solutions43. At a given concentration, if %IE varies inversely with temperature, the implication is that the Ea of metal dissolution in the presence of the inhibitor is higher than that of the uninhibited solution such behavior is often associated with prevailing physisorption. On the other hand, situations where %IE increases with temperature rise, then Ea in the inhibited system would be smaller than the uninhibited solution and such would imply chemisorption43,44.
The Ea for the corrosion process can be calculated from Arrhenius-type relationship which relates the variation in the corrosion rate to the temperature (Equation 8)43,44,45:
where CR = the corrosion rate, R = molar gas constant, A = the Arrhenius pre-exponential factor, and T is the absolute temperature. A plot of CR as a function of the inverse of temperature in Kelvin (Fig. 9(a)) gives −Ea/2.303 R as the slope from which the value of Ea was extracted. The calculated Ea values are listed in Table 8. The apparent Ea of corrosion in the inhibited solution is 46% lower than that of the uninhibited system. This may mean that coordinate type of bonding has taken place between the lone pairs of electrons of the inhibitor and the partially filled d orbitals of Fe atoms at the surface. Several researchers have reported lower Ea in the presence of the inhibitor compared to the blank solution and was associated with chemisorption42,43,44.
To obtain the ΔHa (enthalpy of activation) and the ΔSa (entropy of activation), an alternative formulation of the Arrhenius equation is used42:
where N = Avogadro’s number, h = Planck’s constant. Fig. 9(b) shows a plot of log (icorr/T) vs. 1/T for the blank and inhibited solution. The slope and the intercept are −ΔHa/R*log e and log e* {log (R/Nh) + ΔSa/R} respectively from which ΔHa and ΔSa were estimated and given in Table 8. The obtained ΔHa value is positive in both systems and is an indication that the corrosion process of the metal in both inhibited and uninhibited environments is an endothermic and suggests a chemisorption interaction between the inhibitor and the metal surface43. The negative values for ΔSa in both environments suggest that the activated complex in the rate determining step represents an association rather than a dissociation step43. This can be rationalized as a decrease in disorder (increase in order) as the reaction proceeds from reactants to the activated complex43.
Adsorption isotherm study
It is widely reported that organic inhibitors adsorb on substrate surface to protect against corrosion43,44. This adsorption process is a quasi-replacement of adsorbed H2O molecules (nH2O (ads)) by inhibitor molecules in aqueous solution (Inh (sol))43,46:
The degree of surface coverage of an inhibitor on a metal’s surface (θ) has been widely used to elucidate the mechanism of adsorption. The surface coverage (θ) can be shown to be directly related to %IE as follows (for effective inhibition system where the maximum inhibited corrosion rate is much less than the corrosion rate in the blank solution)43:
The values of θ (obtained from LPR measurements) were fitted into different adsorption isotherm models in order to select the most suitable adsorption isotherm that explains the interaction between TBA and the metal surface. Langmuir adsorption isotherm was found to give the best and this isotherm is given as47:
where Cinh = TBA concentration in mol/L and Kads = the equilibrium constant of adsorption. Equation (12) can be simplified and presented as43:
The variation of Cinh/θ vs. Cinh for CO2-saturated 3.5% NaCl solution with 50 ppm TBA at pH 4 is depicted in Fig. 10. The curve is linear indicating that Langmuir adsorption isotherm is obeyed. The value of Kads was estimated from the intercept to be 1.53 × 105 mol/L. The ΔG°ads (standard free energy of adsorption) is related to Kads as follows:
where T and R retain the meanings as defined in Eq. 8; 55.5 is the concentration of water in mol/dm3.
The value of ΔG°ads calculated for TBA adsorption on API 5 L X60 steel in CO2 environment is estimated to be −40 kJ/mol which is in the range of values reported in the corrosion literature for chemical adsorption48. Hence, in this work it is plausible to say that TBA adsorbs on API 5 L X60 steel surface by chemisorption mechanism involving sharing of electrons or transfer of electrons from TBA molecules to the partially filled d-orbital of Fe atoms at the surface. The bigger value of Kads and the negative value of ΔG°ads indicate a strong interaction between TBA molecules and API 5 L X60 steel surface.
Surface analyses
The SEM pictures in Fig. 11 depict the samples before and after immersion in 3.5% NaCl saturated with CO2 in the absence and presence of 50 ppm TBA at 25 °C and pH 4. The smooth morphology of API 5 L X60 steel surface after abrasion is quite obvious in Fig. 11(a). After 24 h of immersion in the inhibitor-free solution, a severely damaged and coarse morphology due to the rapid and aggressive corrosion attack of API 5 L X60 steel in studied environment is observed (Fig. 11(b)). The corrosive attack was minimized in the system containing 50 ppm TBA (Fig. 11c); the steel surface remains relatively un-attacked probably due to the formation of adsorbed TBA film which protected the metal from corrosion. This supports the excellent inhibition process by TBA as was shown by the experimental results (Tables 1–3).
XPS analysis for both wide and narrow scans were undertaken in the absence and presence of 50 ppm TBA at 25 °C and pH 4. Primary peaks detected in the wide scan for both the inhibited and blank specimens are C1s, O1s and Fe2p as could be seen in Fig. 12. The bands for O and C show prominence in the specimen immersed in solution inhibited with 50 ppm TBA compared to the blank. These elements are the basic component of TBA structure and the observed prominence is clear evidence of TBA adsorption. In the narrow scan for the blank (Fig. 13) and inhibited (Fig. 14), high resolution XPS analysis shows the absence of S in the blank sample but present in the TBA containing solution sample at 162 eV. This binding energy can be attributed to Fe-S interaction49. It is therefore obvious that TBA molecules adsorbed on the metal surface and this adsorption leads to the blockage of active sites on the metal surface thereby reducing corrosion. For the charge effects, the binding energies were amended by taking C1s to the band at 284.6 eV.
The standard binding energy for the formation of FeCO3 are C1s band at 289.4 eV, O1s peak at 531.9 eV, and Fe2p3/2 peak at 710.2 eV16,49. This is why according to Table 9, the peaks close to these values appeared in the uninhibited specimen indicating the presence of unstable carbonate layer formation. Furthermore, in Table 9 is listed the binding energy of the XPS bands, proportions (in atomic weight %), and their corresponding possible assignments.
Conclusions
The conclusions drawn on the basis of the results obtained in this work are as follow:
-
1.
TBA is effective in retarding CO2 corrosion of API 5 L X60 steel in the temperature range of 25–80 °C and pH 4 and 6.
-
2.
The protection performance of TBA is a function of TBA concentration and the optimum concentration is 75 ppm at both pH 4 and 6. TBA exhibits excellent inhibition effect for up to 72 h of exposure time.
-
3.
TBA behaves as a typical mixed type corrosion inhibitor.
-
4.
The adsorption of TBA can be explained with Langmuir adsorption isotherm and chemisorption is the dominant mode of interaction.
-
5.
XPS and FTIR analyses have shown that active functional group of TBA have been adsorbed on the steel surface and led to effective corrosion inhibition of API 5 L X60 in the studied system.
Change history
06 February 2020
An amendment to this paper has been published and can be accessed via a link at the top of the paper.
References
Nešić, S. Carbon Dioxide Corrosion of Mild Steel, In: R. W. Revie (Ed.), Uhlig’s Corrosion Handbook, Wiley, New Jersey, pp. 229–245 (2011).
Kermani, M. B. & Morshed, A. Carbon dioxide corrosion in oil and gas production—Acompendium. Corros. 59, 659 (2003).
Kermani, M. B. & Smith, L. CO2 corrosion control in the oil and gas production design considerations, European Federation of Corrosion publication 23, 1997.
Finšgar, M. & Jackson, J. Application of corrosion inhibitors for steels in acidic media for the oil and gas industry: A review. Corros. Sci. 86, 17 (2014).
Barmatov, E., Geddes, J., Hughes, T. & Nagl, M. Research on corrosion inhibitors for acid stimulation, In: NACE, C2012–0001573 (2012).
Papavinasam, S. Corrosion Inhibitors, In: R. W. Revie (Ed.), Uhlig’s Corrosion Handbook, Wiley, New Jersey, pp. 1021-1032 (2011).
Dawson, J. L. Chemical Treating in Oil and Gas Production, In: T. Richardson (Ed.), Shreir’s Corrosion, Elsevier, Oxford, pp. 2900-2929 (2010).
Abd El-Lateef, H. M., Abbasov, V. M., Aliyeva, L. I. & Ismayilov, T. A. Corrosion protection of steel pipelines against CO2 corrosion-a review. Chem. J. 2, 52 (2012).
Usman, B. J. & Ali, S. A. Carbon dioxide corrosion inhibitors: A review. Arab. J. Sci. Eng. 43, 1–22 (2018).
Raja, P. B. & Sethuraman, M. G. Natural products as corrosion inhibitor for metals in corrosive media — A review. Mater. Lett. 62, 113 (2008).
Umoren, S. A., Obot, I. B., Madhankumar, A. & Gasem, Z. M. Performance evaluation of pectin as ecofriendly corrosion inhibitor for X60 pipeline steel in acid medium: Experimental and theoretical approaches. Carbohydr. Polym. 124, 280 (2015).
Obot, I. B., Madhankumar, A., Umoren, S. A. & Gasem, Z. M. Surface protection of mild steel using benzimidazole derivatives: experimental and theoretical approach. J. Adh. Sci. Tech. 29, 2130 (2015).
Quraishi, M. A., Ansari, K. R., Yadav, D. K. & Ebenso, E. E. Corrosion inhibition and adsorption studies of some barbiturates on mild steel/acid interface. Int. J. Electrochem. Sci. 7, 12301–12315 (2012).
Özcan, M., Solmaz, R., Kardaş, G. & Dehri, I. Adsorption properties of barbiturates as green corrosion inhibitors on mild steel in phosphoric acid. Coll. Surf. A Physicochem. Eng. Asp. 325, 57 (2008).
Kardaş, G. & Solmaz, G. R. Electrochemical investigation of barbiturates as green corrosion inhibitors for mild steel protection. Corros. Rev. 24, 151 (2006).
Usman, B. J., Umoren, S. A. & Gasem, Z. M. Inhibition of API 5L X60 steel corrosion in CO2-saturated 3.5% NaCl solution by tannic acid and synergistic effect of KI additive. J. Mol. Liq. 237, 146–156 (2017).
Garcia, Y. J., Rodríguez-Malaver, A. J. & Peñaloza, N. Lipid peroxidation measurement by thiobarbituric acid assay in rat cerebellar slices. J. Neurosci. Methods 144, 127 (2005).
ASTM G3-89, Conventions applicable to electrochemical measurements in corrosion testing, Annual Book of ASTM standard 30 (Reapproved 1994).
ASTM G3-94, Making potentiostatic and potentiodynamic anodic polarization measurements, Annual Book of ASTM standard 48 (Reapproved 1994).
Gil, P. M., Manuel, J., Domínguez, R., Mexicano, I. & Lindsay, R. Corrosion inhibition performance of 2-Mercaptobenzimidazole in sweet oilfield conditions. Corrosion 2, 1 (2014).
Okafor, P. C., Liu, X. & Zheng, Y. G. Corrosion inhibition of mild steel by ethylamino imidazoline derivative in CO2-saturated solution. Corros. Sci. 51, 761 (2009).
Pourbaix, M. Atlas of electrochemical equilibrium in aqueous solutions. National Association of Corrosion Engineers Houston Texas 307–321 (1974).
Khodyrev, Y. P. et al. Inhibition of Cor-Ten steel corrosion by “green” extracts of Brassica campestris. Corros. Sci. 136, 95 (2018).
Oguzie, E. E., Li, Y. & Wang, F. H. Corrosion inhibition and adsorption behavior of methionine on mild steel in sulfuric acid and synergistic effect of iodide ion. J. Col. Interf. Sci. 310, 90–8 (2007).
Badawy, W. A., Ismail, K. M. & Fathi, A. M. Corrosion control of Cu–Ni alloys in neutral chloride solutions by amino acids. Electrochim. Acta 51, 4182–9 (2006).
Umoren, S. A., Solomon, M. M., Eduok, U. M., Obot, I. B. & Israel, A. U. Inhibition of mild steel corrosion in H2SO4 solution by coconut coir dust extract obtained from different solvent systems and synergistic effect of iodide ions: Ethanol and acetone extracts. J. Environ. Chem. Eng. 2, 1048–1060 (2014).
Nešić, S. Key issues related to modelling of internal corrosion of oil and gas pipelines – A review. Corros. Sci. 49, 4308 (2007).
Nordsveen, M., Nešić, S., Nyborg, R. & Stangeland, A. A mechanistic model for carbon dioxide corrosion of mild steel in the presence of protective iron carbonate films—Part 1: Theory and verification. Corrosion 59, 443 (2003).
Ezuber, H. M. Influence of temperature and thiosulfate on the corrosion behavior of steel in chloride solutions saturated in CO2. Mater. Des. 30, 3420 (2009).
Jiang, X., Zheng, Y. G. & Ke, W. Effect of flow velocity and entrained sand on inhibition performances of two inhibitors for CO2 corrosion of N80 steel in 3% NaCl solution. Corros. Sci. 47, 2636 (2005).
Espinoza-Vazquez, A. J., Rodriguez-Gomez, F. J., Mata, R., Madariaga-Mazon, A. & Ángeles-Beltran, D. Perezone as corrosion inhibitor for AISI 1018 steel immersed in NaCl saturated with CO2. J. Solid State Electrochem. 21, 1687 (2017).
Zhang, G., Chen, C., Lu, M., Chai, C. & Wu, Y. Evaluation of inhibition efficiency of an imidazoline derivative in CO2-containing aqueous solution. Mater. Chem. Phys. 105, 331 (2007).
Farelas, F., Galicia, M., Brown, B., Nešić, S. & Castaneda, H. Evolution of dissolution processes at the interface of carbon steel corroding in a CO2 environment studied by EIS. Corros. Sci. 52, 509 (2010).
Farelas, F. & Ramirez, A. Carbon dioxide corrosion inhibition of carbon steels through bis-imidazoline and imidazoline compounds studied by EIS. Int. J. Electrochem. Sci. 5, 797 (2010).
Wang, B., Du, M., Zhang, J. & Gao, C. J. Electrochemical and surface analysis studies on corrosion inhibition of Q235 steel by imidazoline derivative against CO2 corrosion. Corros. Sci. 53, 353 (2011).
Khodyrev, Y. P. et al. The inhibition action of ammonium salts of O,O′-dialkyldithiophosphoric acid on carbon dioxide corrosion of mild steel. Corros. Sci. 53, 976 (2011).
Sun, J. B., Zhang, G. A., Liu, W. & Lu, M. X. The formation mechanism of corrosion scale and electrochemical characteristic of low alloy steel in carbon dioxide-saturated solution. Corros. Sci. 57, 131 (2012).
Bockris, J. O., Drazic, D. & Despic, A. R. The electrode kinetics of the deposition and dissolution of iron. Electrochim. Acta. 4, 325 (1961).
Nešić, S., Postlethwaite, J. & Olsen, S. An electrochemical model for prediction of corrosion of mild steel in aqueous carbon dioxide solutions. Corrosion 52, 280 (1996).
Shukla, S. K., Quraishi, M. A. & Ebenso, E. E. Adsorption and corrosion inhibition properties of cefadroxil on mild steel in hydrochloric acid. Int. J. Electrochem. Sci. 6, 2912 (2011).
Nafday, O. A., Nesic, S. Iron carbonate scale formation and CO2 corrosion in the presence of acetic acid. CORROSION/2005, Paper No. 05295, Houston, TX: NACE International (2005).
Singh, D. D. N., Chaudhary, R. S., Prakash, B. & Agarwal, C. V. Inhibitive efficiency of some substituted thioureas for the corrosion of aluminium in nitric acid. British Corros. J. 14, 235 (1979).
Bentiss, F., Lebrini, M. & Lagrenée, M. Thermodynamic characterization of metal dissolution and inhibitor adsorption processes in mild steel/2,5-bis(n-thienyl)-1,3,4- thiadiazoles/hydrochloric acid system. Corros. Sci. 47, 2915 (2005).
Popova, A. Temperature effect on mild steel corrosion in acid media in presence of azoles. Corros. Sci. 49, 2144 (2007).
Desimone, M. P., Gordillo, G. & Simison, S. N. The effect of temperature and concentration on the corrosion inhibition mechanism of an amphiphilic amido-amine in CO2 saturated solution. Corros. Sci. 53, 4033 (2011).
Singh, A. et al. A study on the inhibition of N80 steel in 3.5% NaCl solution saturated with CO2 by fruit extract of Gingko biloba. J. Taiwan Inst. Chem. Eng. 45, 1918 (2014).
Heydari, M. & Javidi, M. Corrosion inhibition and adsorption behaviour of an amido-imidazoline derivative on API 5L X52 steel in CO2-saturated solution and synergistic effect of iodide ions. Corros. Sci. 61, 148 (2012).
Jevremović, I., Singer, M., Nešić, S. & Mišković-Stanković, V. Inhibition properties of self-assembled corrosion inhibitor talloil diethylenetriamine imidazoline for mild steel corrosion in chloride solution saturated with carbon dioxide. Corros. Sci. 77, 265 (2013).
Liu, H. et al. Corrosion inhibition and anti-bacterial efficacy of benzalkonium chloride in artificial CO2-saturated oilfield produced water. Corros. Sci. 117, 24 (2017).
Heuer, J. K. & Stubbins, J. F. An XPS characterization of FeCO3 films from CO2 corrosion. Corros. Sci. 41, 1231 (1999).
Nam, N. D. et al. The behaviour of praseodymium 4-hydroxycinnamate as an inhibitor for carbon dioxide corrosion and oxygen corrosion of steel in NaCl solutions. Corros. Sci. 80, 128 (2014).
Zhao, J. & Chen, G. The synergistic inhibition effect of oleic-based imidazoline and sodium benzoate on mild steel corrosion in a CO2-saturated brine solution. Electrochim. Acta 69, 247 (2012).
Mazumder, M. A. J., Al-Muallem, H. A., Faiz, M. & Ali, S. A. Design and synthesis of a novel class of inhibitors for mild steel corrosion in acidic and carbon dioxide-saturated saline media. Corros. Sci. 87, 187 (2014).
Niu, L., Guo, R., Tang, C., Guo, H. & Chen, J. Surface characterization and corrosion resistance of fluoferrite conversion coating on carbon steel. Surf. Coat. Technol. 300, 110 (2016).
Guo, S., Xu, L., Zhang, L., Chang, W. & Lu, M. Characterization of corrosion scale formed on 3Cr steel in CO2-saturated formation water. Corros. Sci. 110, 123 (2016).
Freyer, N., Pirug, G. & Bonzel, H. P. C(1s) spectroscopy of hydrocarbons adsorbed on Pt(111). Surf. Sci. 126, 487 (1983).
Perkins, C. L., Lee, S. H., Li, X., Asher, S. E. & Coutts, T. J. Identification of nitrogen chemical states in N-doped ZnO via x-ray photoelectron spectroscopy. J. Appl. Phys. 97, 34907 (2005).
Liu, H., Gu, T., Asif, M., Zhang, G. & Liu, H. The corrosion behavior and mechanism of carbon steel induced by extracellular polymeric substances of iron-oxidizing bacteria. Corros. Sci. 114, 102 (2017).
Acknowledgements
The authors acknowledge the partial support received from the Deanship of Scientific Research (DSR), King Fahd University of Petroleum and Minerals under internal research grant #IN161018. Bashir Jelani Usman is grateful to KFUPM for M.S. scholarship.
Author information
Authors and Affiliations
Contributions
All the authors were involved in the writing and editing of the manuscript. Specifically, Bashir J. Usman handled the electrochemical experiments, interpretation of the results, and the writing of that part. Zuhair M. Gasem conceived the idea of the work and was also in charge of SEM and FTIR. Saviour A. Umoren coordinated the entire process while Moses M. Solomon was in charge of XPS experiments.
Corresponding authors
Ethics declarations
Competing Interests
The authors declare no competing interests.
Additional information
Publisher’s note: Springer Nature remains neutral with regard to jurisdictional claims in published maps and institutional affiliations.
Rights and permissions
Open Access This article is licensed under a Creative Commons Attribution 4.0 International License, which permits use, sharing, adaptation, distribution and reproduction in any medium or format, as long as you give appropriate credit to the original author(s) and the source, provide a link to the Creative Commons license, and indicate if changes were made. The images or other third party material in this article are included in the article’s Creative Commons license, unless indicated otherwise in a credit line to the material. If material is not included in the article’s Creative Commons license and your intended use is not permitted by statutory regulation or exceeds the permitted use, you will need to obtain permission directly from the copyright holder. To view a copy of this license, visit http://creativecommons.org/licenses/by/4.0/.
About this article
Cite this article
Usman, B.J., Gasem, Z.M., Umoren, S.A. et al. Eco-friendly 2-Thiobarbituric acid as a corrosion inhibitor for API 5L X60 steel in simulated sweet oilfield environment: Electrochemical and surface analysis studies. Sci Rep 9, 830 (2019). https://doi.org/10.1038/s41598-018-37049-w
Received:
Accepted:
Published:
Version of record:
DOI: https://doi.org/10.1038/s41598-018-37049-w
This article is cited by
-
“Comprehensive review of green corrosion inhibitors for safe and sustainable protection of mild steel in acidic environments”
Discover Electrochemistry (2025)
-
An eco-friendly corrosion inhibitor for steel used in desalination systems during acid cleaning: Irish ivy extract
Scientific Reports (2024)
-
Graphene oxide grafted with 1,4-piperazinediethylamine for the effective inhibition of the corrosion of X60 carbon steel in CO2-saturated NaCl environment
Emergent Materials (2024)
-
Novel biphenylidene-thiopyrimidine derivatives as corrosion inhibitors for carbon-steel in oilfield produced water
Scientific Reports (2023)
-
DFT, Monte Carlo and molecular dynamics simulations for the prediction of corrosion inhibition efficiency of novel pyrazolylnucleosides on Cu(111) surface in acidic media
Scientific Reports (2021)
















