Abstract
Dynamical phase transitions (DPTs) are signaled by the non-analytical time evolution of the dynamical free energy after quenching some global parameters in quantum systems. The dynamical free energy is calculated from the overlap between the initial and the time evolved states (Loschmidt amplitude). In a recent study it was suggested that DPTs are related to the equilibrium phase transitions (EPTs) (Heyl, M. et al. Phys. Rev. Lett. 110, 135704 (2013)). We here study an exactly solvable model, the extended XY model, the Loschmidt amplitude of which provides a counterexample. We show analytically that the connection between the DPTs and the EPTs does not hold generally. Analysing also the general compass model as a second example, assists us to propound the physical condition under which the DPT occurs without crossing the equilibrium critical point, and also no DPT by crossing the equilibrium critical point.
Similar content being viewed by others
Introduction
Recently, the study of non-equilibrium properties of quantum systems have been attracting a lot of attention1,2,3,4,5. One of the ongoing interest is to understand the notion of universality for a system away from equilibrium. Recent progress in the studies of ultra-cold atoms trapped in optical lattices provide a new framework for investigation of nonequilibrium dynamics of quantum critical phenomena6,7,8,9. Specifically, by considering a quantum quench, where a system is prepared in a well defined initial state and then suddenly changing the external parameters in the Hamiltonian controls the unitary evolution of the system10,11,12. The nonequilibrium dynamics of the quenched quantum system can be described in many different ways, borrowing ideas from equilibrium statistical mechanics. In a recent work the notion of dynamical phase transitions (DPTs) has been introduced probing the non-analyticities in the dynamical free energy in the complex time plane13. The idea originates from the resemblance between the canonical partition function of an equilibrium system \(Z(\beta )=Tr{e}^{-\beta {\mathcal H} }\) and that of the quantum boundary partition function \(Z(z)=\langle {\psi }_{0}|{e}^{-z {\mathcal H} }|{\psi }_{0}\rangle \) 14,15 which corresponds to the Loschmidt amplitude (LA) for z = it. The LA (\(L(t)=\langle {\psi }_{0}({h}^{(1)})|{e}^{-i {\mathcal H} ({h}^{(2)})t}|{\psi }_{0}({h}^{(1)})\rangle \)) is the overlap amplitude of the initial quantum state |ψ(h(1))〉 with its time evolved state under the post-quenched Hamiltonian \( {\mathcal H} ({h}^{(2)})\). In the complex time (z) plane, the dynamical free energy density is defined as f(z) = −limN→∞ ln Z(z)/N where N is the number of degrees of freedom13,16,17,18. In a spirit similar to the classical case, one then looks for the non-analyticities of f(z) or zeros of the Z(z), known as Fisher zeros where interpreted as a dynamical phase transition13,16,17,19. Additionally, these DPTs are presented in sharp nonanalyticities in the rate function of the return probability (Loschmidt echo) defined as l(t) = −limN→∞ ln |L(t)|2/N13,17,20,21,22,23,24,25,26.
A similar observation was first made by M. E. Fisher22, who pointed out that the phase transition in a thermodynamic system is signaled by the non-analyticities in the free-energy density of an equilibrium system whose information can be acquired by analyzing the zeros of the partition function in a complex temperature plane. These zeros of the partition function cutting the real axis in the thermodynamic limit and integrate into a line in complex temperature plane23. These crossings mark the non-analyticities in the free-energy density. A similar observation was reported earlier for a complex magnetic plane by Lee-Yang24.
An initial analytical result for the dynamical phase transition in the one-dimensional transverse Ising model13 was verified in several subsequent studies for both integrable19,25 and non-integrable models16,17,19,21,25,26,27,28,29 which established that the DPTs occur only if the sudden quench crosses the equilibrium quantum critical point. These works have been extended to the higher dimensional systems30,31, the dynamical topological order parameter32, the role of topology30, and slow quench scopes18,33. Further studies, however, reveal that DPTs can occur following a sudden quench even within the same phase (i.e., not crossing the QCP) for both non-integrable17,19,21 as well as integrable models16. This distinct property can be emanated from a kinetic constraint. The kinetic constraint is a U(1) symmetry due to magnetization (particle) conservation which does not allow to dynamically enter the magnetization sectors (particle number) where the system adopts in the equilibrium case17,19.
To the best of our knowledge, there has been no general principle to connect the DPTs to the QPTs. The purpose of this paper is to highlights the physical conditions under which the quantum system may show DPT. To this aim, we serve two models as examples, the extended XY chain in a staggered magnetic field and the general compass model, to show that generally DPTs can occur in quenches crossing the point where the quasiparticles are massless. Such quasiparticles may indeed be expected to appear at the quantum phase transition point, but as our case studies of the extended XY model and extended quantum compass chain (EQCC) reveal, this is not necessarily so.
The Extended XY Model
The extended XY model dictated by the following Hamiltonian
where, N is the system size, hs represents the staggered transverse field, J and J3 are exchange couplings between the spins on the nearest-neighbor and the next-nearest-neighbor sites respectively. Performing the Jordan-Wigner fermionization and introducing the Nambu spinor \({{\rm{\Gamma }}}^{\dagger }=({c}_{k}^{q\dagger },{c}_{k}^{p\dagger })\), the Fourier transformed Hamiltonian can be expressed in Bogoliubov-de Gennes (BdG) form34,35, \(H=-\,{\sum }_{k\ge 0}\,{{\rm{\Gamma }}}^{\dagger }H(k){\rm{\Gamma }}\), with
where k = 4πn/N with −N/4 < n < N/4 for periodic boundary conditions35. Using the standard Bogoliubov transformation
where
we finally can write the Hamiltonian in the diagonalized form as \( {\mathcal H} ={\sum }_{k}\,[{\varepsilon }_{k}^{\alpha }({h}_{s}){\alpha }_{k}^{\dagger }{\alpha }_{k}+{\varepsilon }_{k}^{\beta }({h}_{s}){\beta }_{k}^{\dagger }{\beta }_{k}]\), where \({\varepsilon }_{k}^{\alpha }({h}_{s})=({J}_{3}\mathrm{/2)}\,\cos \,(k)-\sqrt{{({h}_{s})}^{2}+{J}^{2}\,{\cos }^{2}(k\mathrm{/2)}}\), \({\varepsilon }_{k}^{\beta }({h}_{s})=({J}_{3}\mathrm{/2)}\,\cos \,(k)+\sqrt{{({h}_{s})}^{2}+{J}^{2}\,{\cos }^{{\rm{2}}}(k\mathrm{/2)}}\), with corresponding quasiparticle eigenstates
where \(\mathrm{|0}{\rangle }_{k}\) is vacuum states of fermions.
This model reveals three phases, long-range ordered anti-ferromagnetic phase, in addition to two different spin liquid phases, spin liquid (I) and spin liquid (II). The phase transition between anti-ferromagnetic phase and spin liquid (I) is the gapped to gapless phase transition which occurs at \({h}_{s}^{c1}=\pm \,{J}_{3}\mathrm{/2}\) (for simplicity we take J = 1). The system is the antiferromagnet for \(|{h}_{s}|\ge {J}_{3}\mathrm{/2}\) where \({\varepsilon }_{k}^{\alpha }({h}_{s})\le 0\) and \({\varepsilon }_{k}^{\beta }({h}_{s}) > 0\) for all k mode, and therefore the ground state for each mode is \({\alpha }_{k}^{\dagger }\mathrm{|0}{\rangle }_{k}\) with the total ground state energy \({E}_{g}={\sum }_{k}\,{\varepsilon }_{k}^{\alpha }({h}_{s})\). For \(\sqrt{{J}_{3}^{2}\mathrm{/4}-1} < |{h}_{s}| < {J}_{3}\mathrm{/2}\) system enters into the spin liquid (I) phase where \({\varepsilon }_{k}^{\alpha }({h}_{s})\le 0\) for all modes in addition to \({\varepsilon }_{k}^{\beta }({h}_{s})\) which is negative for some of the k mode. So, for a given mode where both \({\varepsilon }_{k}^{\alpha }({h}_{s})\) and \({\varepsilon }_{k}^{\beta }({h}_{s})\) are negative the ground state is given by \({\alpha }_{k}^{\dagger }{\beta }_{k}^{\dagger }\mathrm{|0}{\rangle }_{k}\) whereas for a mode where only \({\varepsilon }_{k}^{\alpha }({h}_{s})\) is negative, \({\alpha }_{k}^{\dagger }|V{\rangle }_{k}\) is the ground state of the system. The gapless-gapless phase transition takes place between spin liquid (I) and spin liquid (II) at \({h}_{s}^{c2}=\pm \sqrt{{J}_{3}^{2}\mathrm{/4}-1}\) where the topology of the Fermi surface changes35. In the spin liquid (II) phase (\(|{h}_{s}|\le \sqrt{{J}_{3}^{2}\mathrm{/4}-1}\)) both \({\varepsilon }_{k}^{\alpha }\mathrm{(0)}\) and \({\varepsilon }_{k}^{\beta }({h}_{s})\) have both positive and negative branches resulting to four Fermi points, two from each branch. Consequently, there are three possible ground states for a given k mode depending on the sign of the energies \({\varepsilon }_{k}^{\alpha ,\beta }({h}_{s})\) given by \(\mathrm{|0}{\rangle }_{k}\), \({\alpha }_{k}^{\dagger }\mathrm{|0}{\rangle }_{k}\), and \({\alpha }_{k}^{\dagger }{\beta }_{k}^{\dagger }\mathrm{|0}{\rangle }_{k}\) and the ground state energy is the sum over all the modes with negative energies of each branch. In what follows we will assume the system is prepared in the ground state of Hamiltonian Eq. 1 corresponding to \({h}_{s}^{\mathrm{(1)}}\). At time t = 0, we quench the staggered field strength \({h}_{s}^{\mathrm{(1)}}\to {h}_{s}^{\mathrm{(2)}}\) and we evolve the initial state according to the new Hamiltonian \( {\mathcal H} ({h}_{s}^{\mathrm{(2)}})\).
It is straightforward to show that the Loschmidt amplitude (LA) and the return probability (RP) of the extended XY model are given by
and
respectively, where, \(2{\eta }_{k}={\theta }_{k}({h}_{s}^{\mathrm{(1)}})-{\theta }_{k}({h}_{s}^{\mathrm{(2)}})\), \({A}_{k}={\sin }^{{\rm{2}}}\mathrm{(2}{\eta }_{k})\), and \({\rm{\Delta }}{\varepsilon }_{k}={\varepsilon }_{k}^{\beta }({h}_{s}^{\mathrm{(2)}})-{\varepsilon }_{k}^{\alpha }({h}_{s}^{\mathrm{(2)}})\). In the thermodynamic limit the zeroes of the Loschmidt amplitude in the complex plane coalesce to a family of lines labeled by a number \(n\in {\mathbb{Z}}\)
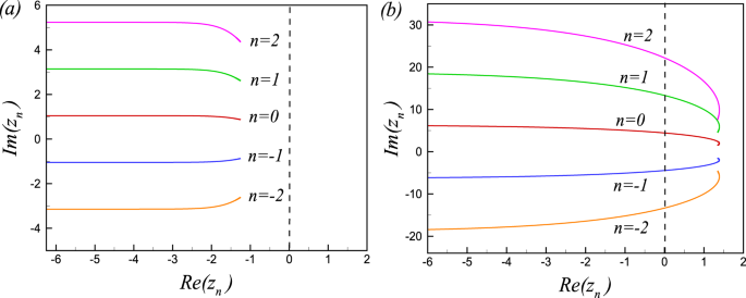
The sketches of lines of Fisher zeros are shown in Fig. 1(a,b) for quenching the system across the equilibrium quantum critical point (hs = 2) and the non-critical line (hs = 0), respectively. As seen in Fig. 1(a), the lines of Fisher zeroes do not cut the imaginary axis for a quench crossing the quantum critical point. While the imaginary axis is crossed by Fisher zeros lines if the system quenched through the non-critical line (hs = 0) in Fig. 1(b).
(a) Lines of Fisher zeros in the complex plane (z) for a quench across the gapped to gapless quantum phase transition point at \({h}_{s}^{c}=2\), (\({h}_{s}^{(1)}=2.5\), \({h}_{s}^{(2)}=1.5\)). (b) Lines of Fisher zeroes for a quench within the same phase (Spin Liquid) crossing the non-critical point hc = 0 (\({h}_{s}^{(1)}=0.25\), \({h}_{s}^{(2)}=-\,0.25\)).
The main quantity that controls the dynamical free energy is \({\tan }^{2}({\eta }_{k})\), which depends on the parameters of pre-quenched and post-quenched Hamiltonian. The Fisher zeroes lines in the complex plane cross the imaginary axis only when there is a mode k* that satisfies \({\tan }^{2}({\eta }_{{k}^{\ast }})=1\) (\({\eta }_{{k}^{\ast }}=\pi \mathrm{/4}\)). Using the expression \(2{\eta }_{k}={\theta }_{k}({h}_{s}^{\mathrm{(1)}})-{\theta }_{k}({h}_{s}^{\mathrm{(2)}})\) and Eq. (3) this condition can be solved for k* analytically
It is easily seen that, the above equation can only be fulfilled provided \({h}_{s}^{\mathrm{(2)}}{h}_{s}^{\mathrm{(1)}}\) becomes negative. In other words, the non-analyticities in the Loschmidt amplitude can only exist when the system is suddenly quenched through the the non-critical line hs = 0 and \(\sqrt{|{h}_{s}^{\mathrm{(2)}}{h}_{s}^{\mathrm{(1)}}|}\le 1\). As a consequence of this analytical analysis the Loschmidt amplitude shows a periodic sequence of real-time non-analyticities in the case of quenching across the non-critical line hs = 0 at times
which numerically verified as shown in Fig. 2(a). We should mention that, the momentum k changes from −π to π, and for both the quenched cases \({\mathrm{lim}}_{k\to \pm \pi }Re[{z}_{n}(k)]=\pm \,\infty \), so each line of Fisher zeros consists of two overlapping half lines. Then, the Fisher zeros lines in Fig. 1(b) cross the imaginary axis twice which means there are two timescales in the dynamical free energy. Due to symmetric spectrum around k = 0, i.e., \({\varepsilon }_{-k}^{\alpha ,\beta }={\varepsilon }_{k}^{\alpha ,\beta }\) two timescales are equal.
(a) The rate function of the return probability l(t), for a system with N = 120 sites. Sharp non-analyticities in the rate function of RP appears periodically at times tn (Eq. 9) for a quench crossing the non-critical line hs = 0 (solid line) and wiped out for a quench across the critical point h(c)s = 2 (dotted line). Inset: The amplitude of oscillation term Ak in (Eq. 6) plotted versus k for a quench crossing the non-critical line hs = 0 (solid line) and across the critical point \({h}_{s}^{c}=2\) (dotted line). BdG quasiparticle spectrum (\({\varepsilon }_{k}^{\alpha },\,{\varepsilon }_{k}^{\beta }\)) for the extended XY model at (b) critical point \({h}_{s}^{c}=2\) and (c) non-critical point hs = 0.
To find out why the LA shows nontrivial behaviour for the quench crossing the phase boundary and also crossing the non-critical line let us to take a detailed look at the LE in Eq. (6). First note that, the real time instances at which the LA is zero is exactly equivalent to the time instances at which the return probability (RP) is zero. It requires that one factor becomes zero in Eq. (6), i.e., \({ {\mathcal L} }_{{k}^{\ast }}(t)=0\) provided that the oscillating part of a k* mode becomes one.
An analysis shows that the oscillation amplitude Ak is small for a quench across the critical point while it takes its maximum possible value (Ak = 1) when quench performed across the line hs = 0 at ±k* (inset Fig. 2(a)). It results that the corresponding modes can contribute destructively to the RP only at k* mode at time instances at which its oscillation term is one i.e., \({A}_{{k}^{\ast }}{\sin }^{2}({\rm{\Delta }}{\varepsilon }_{{k}^{\ast }}t\mathrm{/2)}=1\). Then, the equation results \({t}_{n}=\mathrm{(2}n+\mathrm{1)}\pi /{\rm{\Delta }}{\varepsilon }_{{k}^{\ast }}={t}^{\ast }(n+\mathrm{1/2)}\) which is exactly equivalent to Eq. (9).
In other words, if the maximum possible value of the oscillation amplitude is less than 1, no DPT can appear even when the system is quenched across the QCPs. It is instructive to show that the amplitude of oscillation is connected to the occupation of the excited state. Defining excited state occupancy11 \({n}_{k}=1-|\langle {\psi }_{0}({h}^{\mathrm{(1)}})|{\psi }_{0}({h}^{\mathrm{(2)}})\rangle {|}^{2}\), where nk is the expectation value of the quasiparticle occupation number in the post-quench Hamiltonian and is conserved under the time evolution, results \({\sin }^{{\rm{2}}}\,\mathrm{(2}{\eta }_{k})=4{n}_{k}\mathrm{(1}-{n}_{k})\). The maximum possible value of the oscillation amplitude and thus DPTs can occur whenever, nk = 1/2. The DPT cannot occur, even the quench is performed through an equilibrium QCPs, if the value of nk is not equal to 1/2,. Since the oscillation amplitudes can be interpreted as measuring the probabilities of quasiparticle excitations, much larger amplitudes is expected at or near the gap-closing point. Therefore, small oscillation amplitude and consequently the absence of DPTs for a quench crossing the antiferromagnetic-spin liquid phase transition line hs = ±J3/2 can be attributed to the fact that the quasiparticles which control the LA remain fully gapped as the QPT points crossed during the quench (Fig. 2(b)). On the contrary, the occurrences of DPTs for a quench within the same phase (crossing the line hs = 0) are associated with large oscillation amplitude, which is yielded from massless quasiparticle (Fig. 2(c)).
The Extended Compass Model
To confirm the condition we have obtained from the study of the extended XY model, under which the dynamical phase transition occurs, we investigate the extended quantum compass model (EQCM) as a second example. The Hamiltonian of the spin 1/2 extended quantum compass model (EQCM) is characterized by36,37
In this representation, on dimensional (1d) EQCM is constructed by antiferromagnetic order of X and Y pseudo-spin components on odd and even bonds at which the pseudo-spin operators are constructed as linear combinations of the Pauli matrices (σα=x,y,z): \({\tilde{\sigma }}_{2n}^{(\pm )}={\tilde{\sigma }}_{n}(\,\pm \,\theta )=\,\cos \,\theta {\sigma }_{n}^{x}\pm \,\sin \,\theta {\sigma }_{n}^{y}\). Here θ (−θ) is arbitrary angle relative to σx for even (odd) bounds. Je and Jo characterise the even and odd bound couplings respectively, and N = 2N′ is the number of spins. The 1d-EQCM is exactly solvable with the Jordan-Wigner transformation38, which in momentum space leads to \({ {\mathcal H} }_{E}={\sum }_{m=1}^{4}\,{\sum }_{k}\,{\varepsilon }_{k}^{m}{\gamma }_{k}^{m\dagger }{\gamma }_{k}^{m}\), where \({\gamma }_{k}^{m\dagger }({\gamma }_{k}^{m})\) denote independent quasiparticle creation (annihilation) operators. For states with even fermions, \({\varepsilon }_{k}^{1}=-\,{\varepsilon }_{k}^{4}=\sqrt{a+\sqrt{b}}\) and \({\varepsilon }_{k}^{2}=-\,{\varepsilon }_{k}^{3}=\sqrt{a-\sqrt{b}}\), with \({a}_{k}=|{J}_{k}{|}^{2}+|{L}_{k}{|}^{2}+|{J}_{-k}{|}^{2}+|{L}_{-k}{|}^{2}\) and \({b}_{k}=\mathrm{4[|}{L}_{k}{|}^{4}+{J}_{k}^{2}{J}_{-k}^{2}-{J}_{k}^{\ast }{J}_{-k}{L}_{k}^{2}-{J}_{k}{J}_{-k}^{\ast }{L}_{-k}^{2}]\), where the parameters Lk and Jk are defined by \({L}_{k}=({J}_{o}+{J}_{e}{e}^{k})\), and \({J}_{k}(\theta )=({J}_{o}{e}^{\theta }-{J}_{e}{e}^{(k-\theta )})\). We concentrate on an idiosyncratic case of θc = π/2 where the 1d-EQCC is critical for arbitrary Je/Jo37,39. QPT takes place between two different disordered phases where the model exhibits highest possible frustration of interactions37,39.
The BdG quasiparticle spectrum of the EQCC is plotted in Fig. 3(a,b) at the isotropic point (IP) Je = Jo and at the anisotropic point Jo ≠ Je respectively. The many-particle groundstate of the EQCC is obtained by filling the two lowest bands, \({\varepsilon }_{k}^{1}\) and \({\varepsilon }_{k}^{2}\). As seen, at the IP the energy gap between the \({\varepsilon }_{k}^{1}\) and \({\varepsilon }_{k}^{4}=-\,{\varepsilon }_{k}^{1}\) bands closes at θ = π/2, k = π (Fig. 3(a)) while it is nonzero away from the IP (Fig. 3(b)). In contrast, and as required for the existence of the quantum critical line θc = π/2, the energy gap between the \({\varepsilon }_{k}^{2}\) and \({\varepsilon }_{k}^{3}=-\,{\varepsilon }_{k}^{2}\) bands is closed for all k at θ = π/2 for arbitrary values of Je/Jo. One verifies that the groundstate has a 2N/2-fold degeneracy at the critical line θ = π/2 off the IP, with an enlarged degeneracy 2 × 2N/2 right at the IP.
By a rather lengthy calculation one can obtain the complete set of eigenstates \(|{\psi }_{m,k}(\theta )\rangle ,(m=0,\ldots ,7)\) of the model (for details, see the Appendix 0.1), yielding an exact expression for the LA and RP by sudden quench of θ (θ1 → θ2)40,41
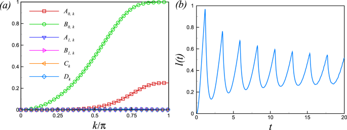
where, \({A}_{0,k},{B}_{0,k},{A}_{1,k},{B}_{1,k},{C}_{k}\), and Dk are function of overlaps between k modes of the initial ground state and eigenstates of the postquenched Hamiltonian \({\alpha }_{m,k}=|\langle {\psi }_{m,k}({\theta }_{2})|{\psi }_{0,k}({\theta }_{1})\rangle {|}^{2}\) \((m=0,\ldots ,7)\) (for details, see the Appendix 0.2). The rate function of the RP following the quench from θ1 = 0.49π to θ2 = 0.51π is shownin Fig. 4(a) for the IP and away from the IP for system size N = 120. Cusps in l(t) are clearly visible as an indicator of DPTs for the quench across the critical point θc = π/2 at the IP while nonanalyticities wiped out for the same quench away from the IP which reflects no DPT. As seen in Eq. (11), the LA is not a simple function of z variable and then we can not obtain the zeros of LA analytically. So, to obtain the real time nonanalyticities in the rate function of RP we have to investigate Eq. (12) directly. As discussed, the nonanalyticities in the rate function of the RP occur when the oscillation amplitude, in the mode decomposition of the RP in Eq. (12), takes its maximum possible value. The oscillation amplitudes have been plotted in Fig. 4(b) for a small size quench from θ1 = 0.49π to θ2 = 0.51π for both the IP (Jo = Je = 1) and away from the IP (Jo = 1, Je = 2). As seen, A0,k and B0,k is nonzero at the IP and A0,k takes its maximum possible value at k* mode (\({A}_{0,{k}^{\ast }}=1\)), while the oscillations amplitude are zero or very small away from the IP (inset, Fig. 4(b)). Therefore, there is no mode where its contribution becomes zero in the product in Eq. (12) for resulting nonanalyticities in the l(t) away from the IP. As oscillation amplitudes are function of the probability of quasiparticle excitation, the different behaviours of l(t), for a small size quench across the critical point, at the IP and away from the IP, originates from the difference between excited states occupancies at the IP and away from the IP.
(a) The presence and the absence of DPTs following a small size sudden quenching of θ in the rate function of return probability. The solid line corresponds to the IP where there are periodic occurrences of DPTs while DPTs get rounded of away from the IP (dotted line). (b) The amplitudes of oscillation in Eq. 12, for a small size quench across the critical point, plotted versus k at the IP Jo = Je = 1. Inset: The amplitudes of oscillation away from the isotropic point Jo = 1, Je = 2.
As mentioned, the energy gap between the \({\varepsilon }_{k}^{2}\) and \({\varepsilon }_{k}^{3}\) bands, which control the phase transition, is closed for all k mode at θc = π/2 for arbitrary values of Je/Jo. While the energy gap between the \({\varepsilon }_{k}^{1}\) and \({\varepsilon }_{k}^{4}=-\,{\varepsilon }_{k}^{1}\) bands closes at k = π, θc = π/2 and it is nonzero away from the IP.
Since, a sudden quench generally leads to particle-hole type excitations, it is expected that a small quenches, which puts a small amount of energy into the system, yields a large oscillation amplitude at the IP due to dispersionless quasiparticle band at k = π, θc = π/2. However, we expect a small oscillation amplitude away from the IP due to gapped quasiparticle band at k = π, θc = π/2. The contribution of the k* mode in Eq. (12) becomes zero at time instances at which \({A}_{\mathrm{0,}{k}^{\ast }}\,{\sin }^{2}[({\varepsilon }_{{k}^{\ast }}^{1}({\theta }_{2}))t]=1\). Then, the real time nonanalyticities for a small quench across the critical line is given by \({t}_{n}={t}^{\ast }(n+\frac{1}{2})\), where \({t}^{\ast }\simeq \pi /{\varepsilon }_{{k}^{\ast }}^{1}\). It should be noted that, the oscillation function correspond to \({B}_{\mathrm{0,}{k}^{\ast }}\) (\({\sin }^{{\rm{2}}}[({\varepsilon }_{{k}^{\ast }}^{1}({\theta }_{2}))t\mathrm{/2]}\)) is zero at time tn.
However, for a large size quench which imposes a large amount of energy into the system, and in turn increases the probability of quasiparticle excitation, we expect a large oscillation amplitudes and consequently nonanalyticities in l(t) even away from the IP where the quasiparticle energy is gapfull. The oscillations amplitude have been plotted in Fig. 5(a) for a large size quench from θ1 = 0.4π to θ2 = 0.6π away from the IP (Jo = 1, Je = 2). As expected, the oscillation amplitude A0,k reaches its maximum possible value at k* which results nonanalyticities in l(t) (Fig. 5(b)). The real time nonanalyticities for a large quench crossing the critical line is given by \({t}_{n}={t}^{\ast }(n+\frac{1}{2})\), where \({t}^{\ast }=\pi /({\varepsilon }_{{k}^{\ast }}^{1}+{\varepsilon }_{{k}^{\ast }}^{2})\).
(a) The amplitudes of oscillation in Eq. 12, for a large size quench crossing the critical point, plotted versus k away from the isotropic point Jo = 1, Je = 2. (b) The rate function of the return probability l(t), for a large size quench from θ1 = 0.4π to θ2 = 0.6π for system size N = 120, away from the IP Jo = 1, Je = 2. Cusps in l(t) are clearly visible indicating a dynamical phase transition.
We should stress that, the most pronounced revivals in the RP happen when the system satisfies two circumstances, large oscillation amplitude (maximum possible value is not necessary) and the zero energy mode40,41,42, while occurrence of the DPTs only needs large oscillation amplitude with maximum possible value 1.
Summary and Conclusions
We have shown that the presence of quantum phase transition point is neither a sufficient nor a necessary condition for observing a dynamical quantum phase transition after a global quantum quench. By examining how the eigenstates of the models imprint the return probability, we find that what does matter is the availability of propagating quasiparticles as signaled by their having an impact on the rate function of the return probability. Searching the dynamical phase transition in the extended XY model, provides an example that a stable massless phase can act as a source of dynamical phase transition. While a quantum phase transition generically supports massless excitations, our case study of the extended quantum compass model reveals that these excitations may not necessarily couple to the quantum phase transition.
We should point out that, in ref.17 it has been reported that in a transfer matrix approach, nonanalyticities in rate function of the return probability are a consequence of crossing of the leading eigenvalue with the next leading eigenvalue of the Hamiltonian for a quench within the same phase. However, it also shown that, for a quench across the quantum phase transition point, any quench starting in the ferromagnetic phase and any quench where only the uniform magnetic field is changed, leads to zero rate function of the return probability17. The zero values of rate function of the return probability in the former case originates from the fact that the ferromagnetic state is an eigenstate of both the pre-quenched and the post-quenched Hamiltonians17,19. In the latter case the conservation of the total magnetization results zero rate function of the return probability. In this paper the quench has not been done by changing the magnetic field and the initial state in both the extended XY model and the extended compass model is not the eigenstate of the post-quenched Hamiltonian17,19. So, our findings may call for a revisit of earlier studies on dynamical phase transition and quantum criticality, and can shed new light on the bridge between dynamical phase transition and quantum phase transitions43.
References
Montes, S. & Hamma, A. Phase diagram and quench dynamics of the cluster-xy spin chain. Phys. Rev. E 86, 021101 (2012).
Häppölä, J., Halász, G. B. & Hamma, A. Universality and robustness of revivals in the transverse field xy model. Phys. Rev. A 85, 032114 (2012).
Zurek, W. H., Dorner, U. & Zoller, P. Dynamics of a quantum phase transition. Phys. Rev. Lett. 95, 105701 (2005).
Kennes, D. M., Meden, V. & Vasseur, R. Universal quench dynamics of interacting quantum impurity systems. Phys. Rev. B 90, 115101 (2014).
Quan, H. T., Song, Z., Liu, X. F., Zanardi, P. & Sun, C. P. Decay of loschmidt echo enhanced by quantum criticality. Phys. Rev. Lett. 96, 140604 (2006).
Bloch, I., Dalibard, J. & Zwerger, W. Many-body physics with ultracold gases. Rev. Mod. Phys. 80, 885 (2008).
Chen, D., White, M., Borries, C. & DeMarco, B. Quantum quench of an atomic mott insulator. Phys. Rev. Lett. 106, 235304 (2011).
Chen, D., Meldgin, C. & DeMarco, B. Bath-induced band decay of a hubbard lattice gas. Phys. Rev. A 90, 013602 (2014).
Polkovnikov, A., Sengupta, K., Silva, A. & Vengalattore, M. Colloquium: Nonequilibrium dynamics of closed interacting quantum systems. Rev. Mod. Phys. 83, 863–883 (2011).
Chandra, A. K., Das, A. & Chakrabarti, B. K. Quantum Phase Transitions in Transverse Field Spin Models: From Statistical Physics to Quantum Information (Cambridge University Press, Cambridge, 2015).
Kolodrubetz, M., Clark, B. K. & Huse, D. A. Nonequilibrium dynamic critical scaling of the quantum ising chain. Phys. Rev. Lett. 109, 015701 (2012).
Campbell, S. Criticality revealed through quench dynamics in the lipkin-meshkov-glick model. Phys. Rev. B 94, 184403 (2016).
Heyl, M., Polkovnikov, A. & Kehrein, S. Dynamical quantum phase transitions in the transverse-field ising model. Phys. Rev. Lett. 110, 135704 (2013).
LeClair, A., Mussardo, G., Saleur, H. & Skorik, S. Boundary energy and boundary states in integrable quantum field theories. Nuclear Physics B 453, 581–618 (1995).
Piroli, L., Pozsgay, B. K. & Vernier, E. Nonequilibrium dynamic critical scaling of the quantum ising chain. arXiv:1611.06126 (2016).
Vajna, S. & Dóra, B. Disentangling dynamical phase transitions from equilibrium phase transitions. Phys. Rev. B 89, 161105 (2014).
Andraschko, F. & Sirker, J. Dynamical quantum phase transitions and the loschmidt echo: A transfer matrix approach. Phys. Rev. B 89, 125120 (2014).
Divakaran, U., Sharma, S. & Dutta, A. Tuning the presence of dynamical phase transitions in a generalized xy spin chain. Phys. Rev. E 93, 052133 (2016).
Heyl, M. Dynamical quantum phase transitions: a review. Reports on Progress in Physics 81, 054001 (2018).
Pollmann, F., Mukerjee, S., Green, A. G. & Moore, J. E. Dynamics after a sweep through a quantum critical point. Phys. Rev. E 81, 020101 (2010).
Sharma, S., Suzuki, S. & Dutta, A. Quenches and dynamical phase transitions in a nonintegrable quantum ising model. Phys. Rev. B 92, 104306 (2015).
Halimeh, J. C. & Zauner-Stauber, V. Phys. Rev. B 96, 134427 (2017).
Zauner-Stauber, V. & Halimeh, J. C. Phys. Rev. E 96, 062118 (2017).
Homrighausen, I. Abeling, N. O. Zauner-Stauber, V. & Halimeh, J. C. Phys. Rev. B 96, 104436 (2017).
Lang, J. Frank, B. & Halimeh, J. C. Phys. Rev. Lett. 121, 130603 (2018).
Lang, J. Frank, B. & Halimeh, J. C. Phys. Rev. B 97, 174401 (2018).
Kriel, J. N., Karrasch, C. & Kehrein, S. Dynamical quantum phase transitions in the axial next-nearest-neighbor ising chain. Phys. Rev. B 90, 125106 (2014).
Canovi, E., Werner, P. & Eckstein, M. First-order dynamical phase transitions. Phys. Rev. Lett. 113, 265702 (2014).
Palmai, T. Edge exponents in work statistics out of equilibrium and dynamical phase transitions from scattering theory in one-dimensional gapped systems. Phys. Rev. B 92, 235433 (2015).
Vajna, S. & Dóra, B. Topological classification of dynamical phase transitions. Phys. Rev. B 91, 155127 (2015).
Schmitt, M. & Kehrein, S. Dynamical quantum phase transitions in the kitaev honeycomb model. Phys. Rev. B 92, 075114 (2015).
Budich, J. C. & Heyl, M. Dynamical topological order parameters far from equilibrium. Phys. Rev. B 93, 085416 (2016).
Sharma, S., Divakaran, U., Polkovnikov, A. & Dutta, A. Slow quenches in a quantum ising chain: Dynamical phase transitions and topology. Phys. Rev. B 93, 144306 (2016).
Zhu, J.-X. Bogoliubov-de Gennes Method and Its Applications (Springer, Berlin and New York, 2016).
Titvinidze, I. & Japaridze, G. I. Phase diagram of the spin s = 1/2 extended xy model. Eur. Phys. J. B 32, 383 (2003).
Jafari, R. & Johannesson, H. Loschmidt echo revivals: Critical and noncritical. Phys. Rev. Lett. 118, 015701 (2017).
You, W.-L., Horsch, P. & Oleś, A. M. Quantum phase transitions in exactly solvable one-dimensional compass models. Phys. Rev. B 89, 104425 (2014).
Barouch, E., McCoy, B. M. & Dresden, M. Statistical mechanics of the XY model. i. Phys. Rev. A 2, 1075–1092 (1970).
Nussinov, Z. & van den Brink, J. Compass models: Theory and physical motivations. Rev. Mod. Phys. 87, 1–59 (2015).
Jafari, R. & Johannesson, H. Decoherence from spin environments: Loschmidt echo and quasiparticle excitations. Phys. Rev. B 96, 224302 (2017).
Jafari, R. Quench dynamics and ground state fidelity of the one-dimensional extended quantum compass model in a transverse field. J. Phys. A: Math. Theor 49, 185004 (2016).
Zhang, J. M. & Yang, H.-T. Cusps in the quench dynamics of a bloch state. EPL (Europhysics Letters) 114, 60001 (2016).
Zhang, J. M. & Yang, H.-T. Sudden jumps and plateaus in the quench dynamics of a bloch state. EPL (Europhysics Letters) 116, 10008 (2016).
Acknowledgements
The author would like to thank Henrik Johannesson, Alireza Akbari and Utkarsh Mishra for reading the manuscript and valuable comments.
Author information
Authors and Affiliations
Contributions
All parts of this paper have been done by R. Jafari.
Corresponding author
Ethics declarations
Competing Interests
The author declares no competing interests.
Additional information
Publisher’s note: Springer Nature remains neutral with regard to jurisdictional claims in published maps and institutional affiliations.
Supplementary information
Rights and permissions
Open Access This article is licensed under a Creative Commons Attribution 4.0 International License, which permits use, sharing, adaptation, distribution and reproduction in any medium or format, as long as you give appropriate credit to the original author(s) and the source, provide a link to the Creative Commons license, and indicate if changes were made. The images or other third party material in this article are included in the article’s Creative Commons license, unless indicated otherwise in a credit line to the material. If material is not included in the article’s Creative Commons license and your intended use is not permitted by statutory regulation or exceeds the permitted use, you will need to obtain permission directly from the copyright holder. To view a copy of this license, visit http://creativecommons.org/licenses/by/4.0/.
About this article
Cite this article
Jafari, R. Dynamical Quantum Phase Transition and Quasi Particle Excitation. Sci Rep 9, 2871 (2019). https://doi.org/10.1038/s41598-019-39595-3
Received:
Accepted:
Published:
Version of record:
DOI: https://doi.org/10.1038/s41598-019-39595-3







