Abstract
The successful synthesis of the single to few layer transition metal dichalcogenides has opened a new era in the nanoelectronics. For their efficient implementations in the electronic devices while taking care of their overheating issues, the characterization of their thermal transport properties is extremely vital. So, we have systematically investigated the thermal transport properties of monolayer transition metal dichalcogenides MX2 (M = Mo, W; X = S, Se, Te) by combining the first-principles calculations with Boltzmann transport equation. We find that monolayer WTe2 possesses the lowest lattice thermal conductivity κL (33:66 Wm−1K−1 at 300 K) among these six semiconducting materials, in contrast to the highest κL (113:97 Wm−1K−1 at 300 K) of WS2 among them. Further analyses reveal that the higher (lower) anharmonic and isotopic scatterings together with the lower (higher) phonon group velocities lead to the lowest (highest) value of κL in WTe2 (WS2) monolayer. In addition, we have also calculated the cumulative thermal conductivity κC as a function of mean free path, which indicates that the nanostructures with the length of about 400 nm would reduce κL drastically. These results offer important understanding from thermal conductivity point of view to design the 2D transition metal dichalcogenides MX2 (M = Mo, W; X = S, Se, Te) electronics.
Similar content being viewed by others
Introduction
In the past few years, two-dimensional (2D) materials like graphene have attracted great attention owing to the unique properties related to low dimensionality1. With the boom of 2D materials, monolayer transition metal dichalcogenides (TMDC) MX2 monolayers have emerged as new terrace for exploring 2D semiconducting physics, which facilitates the studies such as photodetectors, transistors, and electroluminescent devices2. For instance, due to the band gap of 1.0–2.0 eV, TMDC MX2 monolayer field-effect transistors are expected to possess high on/off ratio3,4. It has been predicted that an indirect bandgap can be changed into the direct one as the bulk TMDC MX2 crystal become thinned to the monolayers, which provides more possibilities to manipulate the electronic dispersion of TMDC MX2 monolayers at nanoscale5. Furthermore, for the TMDC MX2 monolayers, the biaxial stain can adjust the bandgap reversibly, which makes the system capture an increased range of solar spectrum6. In addition, the TMDC MX2 monolayers are also good candidates for spintronics and valleytronics researches7,8. In all of these applications, thermal properties have significant influences on the performance of the devices. Based on the conditions of specific application, different thermal conductivities κ are needed. As an example, a high κ is required for efficient heat dissipation in the high-performance electronic devices, while a low κ is preferred in thermoelectric application. On the bases of the phonon Boltzmann transport equation, the calculated thermal conductivities at room temperature for WS2, MoS2 and MoSe2 monolayers are 142, 103, and 54 Wm−1 K−1, respectively9. On the other hand, the experimentally measured thermal conductivities for the MoS2 (34.5 ± 4 Wm−1 K−1)10 and WS2 (32 Wm−1 K−1)11 monolayers differ from the theoretical predictions. Also, much lower room temperature thermal conductivity (23.2 Wm−1 K−1) has been proposed for monolayer MoS2 as compared to graphene from first-principles calculations combined with the nonequilibrium Green’s function calculations12. Furthermore, sulfur vacancies and molecular adsorption can modulate the carrier densities which in turn greatly influence the Seebeck coefficient in case of MoS2 monolayer13. The phonon transport is greatly affected by the crystal structure, atomic mass, interatomic bonding, and anharmonicity14,15,16. Recently, theoretical investigations have been performed to elaborate the role of mass, structure, bond strength, and anharmonicity in thermal expansion as well as thermo-mechanics of TMDC MX2 monolayers and other 2D materials17,18,19,20. In contrast to the electronic, optical, and mechanical properties of single-layer or few-layer TMDC, which have been widely studied, the investigations of the thermal properties still lacking. Nevertheless, the significant knowledge of thermal properties is essential regarding the performance and reliability of the nano-devices. According to the classical theory, due to their heavy atom mass and low Debye temperature, the thermal conductivities of TMDC sheets are low21. Thus, single-layer or few-layer TMDC sheets are considered as potential thermoelectric materials22,23,24,25,26. From some classical molecular dynamics (MD) simulations implemented with empirical inter-atomic potentials, it is reported that the thermal conductivity of the single-layer MoS2 is found less than 10 W/mK27,28, as compared to the measured thermal conductivities for the single-layer and multilayer MoS2 which are usually larger than 30 W/mK10,29. Owing to this large variance in the results, so far reported in literature, here we are encouraged to present a detailed study on the intrinsic lattice thermal conductivities of TMDC MX2 (M = Mo, W; X = S, Se, Te) monolayers. Even though, the size dependency of ZT and the Seebeck coefficient in case of the MX2 (M = Mo, W; X = S, Se, Te) monolayers have been explored for thermoelectric applications. However, the details for the suggested κL regarding the TMDC MX2 monolayers are lacking. We have try to analyze the uninvestigated details regarding the intrinsic thermal conductivities for considered materials by mutually combining the scattering effects, group velocities, relaxation time, and nanostructuring.
In this paper, we systematic study the thermal transport properties in monolayer TMDC MX2 (M = Mo, W; X = S, Se, Te) using first-principles calculations and an iterative solution of the Boltzmann transport equation (BTE) for phonons30,31,32. We find that monolayer WTe2 possesses the lowest lattice thermal conductivity κL (33.66 Wm−1 K−1 at 300 K) among these six semiconducting materials. We have analyzed the vital role played by the anharmonic and isotopic scatterings along phonon group velocities due to which WTe2 monolayer attained the lowest lattice thermal conductivity κL. Significantly, the lowest obtained value of κL become easy to analyze by combining the group velocities with relaxation time. Moreover, the cumulative thermal conductivity κC as a function of mean free path, clearly indicates that nanostructuring up to the length of 400 nm would reduce κL drastically which differ from graphene.
Computational Methods and Structural Modeling
From the solution obtained through Boltzmann transport equation (BTE)30, we have calculated thermal transport properties. The equation represents the lattice thermal conductivity measure along the x direction i.e.
where, N, kB, and Ω, represents the density of q points in the first Brillouin zone, Boltzmann constant, and the unit cell volume, respectively. f0 denotes the well-known Bose-Einstein distribution function under equilibrium condition. ωλ denotes the particular phonon frequency for such phonon mode λ which includes both wave vector q and phonon branch ν. Finally, ℏ represents reduced Planck-constant and \({v}_{g}^{x,\lambda }\) demonstrate the phonon group-velocity for mode λ in the x-direction. \({F}_{\lambda }^{x}\) can be obtained from30
Where τλ denotes the lifetime calculated with help of phonon relaxation-time approximation i.e. (RTA). To eliminate the inaccuracy of RTA, we have included Δλ which is a correction term that can easily be obtained by solving BTE iteratively. By setting Δλ equal to zero, the value of \({\kappa }_{L}^{xx}\) is obtained from RTA. In the present work, the RTA and the iterative solution (ITS) of the BTE are both used to calculate κL. To determine κL, the ShengBTE-code30 is utilized. For ShengBTE calculations, the harmonic and anharmonic interatomic force constants i.e. IFCs are obtained with the help of PHONOPY program33 joined with VASP34,35 and THIRDORDER.PY script provided with ShengBTE. Using finite-difference approach implemented in THIRDORDER.PY, anharmonic IFC3 is calculated using the 4 × 4 × 1 supercell by considering the interaction up to third-nearest neighbors33. The isotopic effect is calculated from the equation (10) by considering the natural occurring case, while the size dependence effect is estimated from the cumulative thermal conductivity versus the scalar mean free path defined by the equation (21)30. In calculations, ion cores electron are treated by the projector-augmented wave potentials (PAW)36, while valance electrons are treated by a plane-wave basis set by using an cutoff energy of 520 eV and the exchange-correlation-functional of generalized-gradient approximation (GGA) of Perdew-Burke-Ernzerhof (PBE) are utilized37. The primitive cell is relaxed until the forces experienced by each atom become less than 10−8 eV/Å with the energy convergence criteria of 10−8 eV. To simulate Brillouin zone, 15 × 15 × 1 Γ-centered Monkhorst-Pack k-point mesh is utilized. At last, for ShengBTE calculations, a q-mesh of 30 × 30 × 1 is used to simulate the corresponding q space integration.
Results and Discussion
Transition metal dichalcogenides crystallize in hexagonal crystal lattice, resulting in a honeycomb structure. A typical TMDC is built up of X − M − X layers. Each MX2 layer consists of a transition metal M atomic plane sandwiched between two chalcogen X atomic planes in a trigonal prismatic arrangement through Van der Waals (vdW) interaction. First, we have fully relaxed the atomic positions as well as lattice vectors in order to obtain the optimized geometry of TMDC MX2 (M = Mo and W; X = S, Se, and Te) monolayers. The optimized value of lattice constant a0 is found to be 3.18 Å (MoS2), 3.32 Å (MoSe2), 3.55 Å (MoTe2), 3.18 Å (WS2), 3.31 Å (WSe2), and 3.55 Å (WTe2). The value of a0 increases going from S to Se to Te, while it remains the same with the change in transition metal, i.e. a0(MoX2) ≅ a0 (WX2).
Phononic band structures of monolayer MX 2
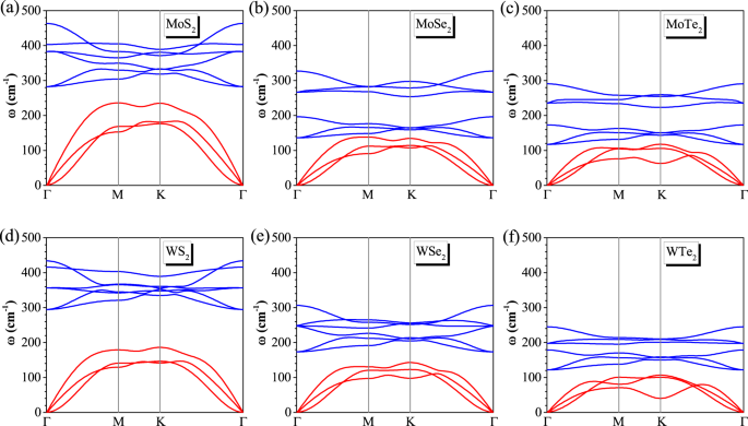
The phonon dispersion along the high-symmetry Γ − M − K − Γ directions in the first Brillouin zone for the TMDC MX2 monolayers are plotted in Fig. 1(a–f). As shown in Fig. 1, the acoustic branches for all the MX2 monolayers have significant differences in the Γ − M and Γ − K directions, particularly near the Brillouin-zone boundary. The unit cell of TMDC MX2 monolayers have three atoms, resulting in the nine dispersion branches: three acoustic phonon modes and six optical phonon modes. In general, the MTe2 phonon bands are significantly shifted down to lower frequencies as compared to the frequencies of the rest of the considered systems. The cause of this trend is the larger mass of the tungsten atoms, and therefore their lower vibration frequency. Noticeably, th general down-shift of the phonon branches associated to the TMDC MX2 monolayers gradually reduces the phonon gaps. For instant the acoustic and optical branches are separated by a gap of about 67.95, 10.07, 22.95, 141.06, 58.99, and 37.26 cm−1 for all of TMDC MX2 monolayers, respectively. Moreover, the slopes of the MS2(Se2) monolayers acoustical phonon bands near zero energy are much steeper than those of WTe2 and MTe2 monolayers, indicating a higher thermal conductance for them. All of our results are in good overall agreements for already reported works with a little bit discrimination, which supports our methods utilized in these calculations9,38,39,40.
Intrinsic thermal conductivities κ L
The intrinsic thermal conductivities κL associated with TMDC MX2 monolayers between temperatures 200 and 1000 K are presented in Fig. 2. With reference to Eq. (1), the originally obtained value of κL from the BTE calculations needs to be re-sized by a factor of c/h, where c and h denoted the lattice constant along z-axis and the thickness of the monolayer sheets, respectively. The iterative solutions (ITS) of the BTE results shown in Fig. 2 reveal that for all TMDC MX2 monolayers, thermal conductivities decrease with increasing temperature due to the phonon domination as found in other materials41,42.
The calculated values of κL are found to be very sensitive to particular atomic elements, from which the TMDC MX2 monolayers comprising of, for all range of temperatures. For instance at 500 K, the ITS (RTA) values of κL for WS2, MoS2, WSe2, MoSe2, MoTe2, and WTe2 monolayers are 58.3, 32.2, 18.2, 17.3, 16.3, 13.1 Wm−1 K−1, respectively. Also, the calculated results are quite dependent on the mass difference between the transition metals and chalcogen atoms, indicating that the mass difference plays a vital role in determining the values of κL. In Fig. 2, the MoTe2 and the WTe2 monolayer lies at the bottom because “Te” atoms possess high atomic weights as compared to “S” and “Se” atoms. At 300 K, for WTe2 the value of κL obtain is 33.66 Wm−1 K−1, which are lower than the rest of the members of TMDC MX2 monolayers.
Size dependency
To understand the size dependence of the κL, we have plotted the thermal conductivity accumulation functions for MX2 monolayers at a temperature of 300 K in Fig. 3. The accumulation function for κL clearly signifies how the phonons with mean free paths contribute to the total thermal conductivity. Phonons with mean free paths extending over two orders of magnitude ranging from 50 nm to 1 μm significantly take part in developing the thermal conductivity in the MX2 monolayers. Accumulation function looks like a step function for all MX2 monolayers. But the phonon having mean free paths falling between 50 and 500 nm play a vital role for the MX2 monolayers except the WTe2 monolayer because major contributions for the WTe2 monolayer come from the phonons with mean free paths in range 100 to 700 nm. Similar accumulation step function has also been reported for the blue phosphorene and the silicene. Also, the phonons having mean free paths in above mentioned ranges significantly differ from the blue phosphorene and the silicene43,44. Strikingly, as can be noticed from Fig. 3, changing the sample size greater than 10 nm exhibits negligible effect on the thermal conductivity of MX2 monolayers at a temperature 300 K.
Relaxation time for three-phonon processes
Keeping in view of the substantial difference in the contribution made by acoustic phonon modes towards the κ in TMDC MX2 monolayers and other 2D graphene like materials, it seems to be very meaningful to consider the relaxation time for each phonon mode as a function of frequency, as presented in Fig. 4. To avoid the boundary scattering effect in ShengBTE calculation procedures, the relation \(1/{\tau }_{\lambda }=\mathrm{1/}{\tau }_{\lambda }^{anh}+1/{\tau }_{\lambda }^{iso}\), which is measured from the anharmonic three-phonon scattering and isotopic scattering, can be adopted to evaluate the total relaxation time in RTA. The summation of three-phonon transition probabilities \({{\rm{\Gamma }}}_{\lambda \lambda {\prime} \lambda {\prime} {\prime} }^{\pm }\) results into \(\mathrm{1/}{\tau }_{\lambda }^{anh}\), which can directly be found from the anharmonic IFC345,46. To understand the low thermal conductivity of the WTe2 monolayer, we have calculated the anharmonic three-phonon scattering and isotopic scattering rates for all TMDC MX2 monolayers. The calculated relaxation times behave differently for all TMDC MX2 monolayers. Figure 4 shows that in all cases, the acoustic modes relaxation times are shorter than that of optical modes. But this feature is surprisingly more dominating in case of the WTe2 monolayer, especially. It is well established fact that major contribution to κL mainly comes from the acoustic modes. Thus, as compared to the rest of the TMDC MX2 monolayers, the relaxation times for WTe2 of the acoustic modes are fairly short, which clearly indicates very strong phonon scattering in the WTe2 monolayer. Moreover, further comparison indicates that for most of the TA, LA, and LO modes, the relaxation time for the WTe2 monolayer is shorter than the rest of the family of TMDC MX2 monolayers because the TO modes of them retains longer relaxation time.
The isotopic relaxation time is also shown in Fig. 4(b). Isotopic scattering processes are sensitive to wavelength. Thus, the phonons of long-wavelength can transfer all the heat with small isotopic scattering45,46. Thus at low frequencies, the relative longer isotopic relaxation time of acoustic phonons can be observed. The inverse of the total relaxation time is a sum of contributions from anharmonic three-phonon scattering and isotopic scattering. For WTe2 monolayer, the span of the phonon frequency is much shorter than rest of MX2 monolayers. Figure 4(a,b) also show that for the WTe2 monolayer, the separation between acoustic and the optical phonon branches is much shorter than rest of the systems, which results in much more frequent scattering between acoustic modes and optical modes. In addition, the strength of such scatterings is expected to be strong compared with the rest of MX2 monolayers. The strong scattering in WTe2 monolayer is also correlated to their relatively small range of the phonon frequency. Thus, unlike the high thermal conductivity calculated in the case of rest of TMDC MX2 monolayers, the lattice thermal conductivities of WTe2 monolayer are found to be much lower, i.e. κL (33.66 Wm−1 K−1 at 300 K) when the size of sample is 1 μm, as shown in Fig. 2.
Based on the lattice thermal conductivity equation (1), the value of lattice thermal conductivity is mainly determined by ASRs and the group velocities of phonons. The ASRs of WS2 is much lower than those of MoS2 as shown in Fig. 4(a), which interprets the higher thermal conductivity of WS2 than that of MoS2, although MoS2 possesses higher phonon group velocity. In detail, the ASRs derive from the sum of three-phonon transition probabilities, which are determined by the anharmonic IFCs and the weighted phase space. The strength of the anharmonic IFCs corresponds to the anharmonicity of phonon modes, which is usually characterized by the Grüneisen parameter (γ). The weighted phase space is a direct measure of the number of scattering processes. Our results show that the weighted phase spaces of MoS2 and WS2 are almost same to each other, as shown in Fig. 1S (see Supplementary Information). However, the Grüneisen parameter (γ) of MoS2 is higher than that of WS2, which means WS2 has a weak anharmonic IFCs, as shown in Fig. 2S (see Supplementary Information), and thus resulting in a lower ASRs and higher thermal conductivity. However, for MoSe2 and WSe2, their corresponding ASRs values are almost equivalent to each other as presented in Fig. 3S (see Supplementary Information). Thus, the difference in their group velocities mainly determines the existing difference in their thermal conductivities as mentioned in Table 1 (see Supplementary Information). As shown in Fig. 5, the calculated group velocities for MoSe2 are higher than those of WSe2, which mainly accounts for the higher thermal conductivity of MoSe2 than that of WSe2. Obviously, similar features prevail in case of MoTe2 and WTe2 as well, as shown in Figs 4 and 5, respectively.
Phonon group velocities for all phonon modes
To get further insight to understand the difference of κL among this family of TMDC MX2 low dimensional materials, we have calculated the phonon group velocities that are extended over the first Brillouin zone as presented in Fig. 5. The equation vg = dωn/dq is being used to find out the phonon group velocities for the nth branch regarding all the systems under consideration. As expected, the WTe2 monolayer which constitutes of the heavier atomic mass elements, possess much smaller group velocities than rest of the family of TMDC MX2 monolayers, particularly for the acoustic as well as optical branches. For one of the acoustic modes, the maximum group velocities for TMDC MX2 monolayers are about 7.35, 6.09, 6.08, 5.86, 5.03, and 5.02 km/s, respectively. But it is interesting to note that for those of optical modes, similar gradual decreasing trend in the group velocities is being observed as in the former cases of acoustic modes. Thus, for one of the optical modes, the maximum group velocities for TMDC MX2 monolayers are about 2.23, 2.06, 1.43, 1.65, 1.38, and 0.87 km/s, respectively. It can be seen the minimum group velocity for optical and the acoustic modes is only found in the case of the WT2 monolayer. These findings clearly support the lower κL that is proposed for WTe2 monolayer as determined for \({\kappa }_{L}\sim {v}_{g}^{2}\) using RTA. Hence, it is easy to analyze the dependence of κL on the polarization by combining the group velocities with relaxation time as shown in Fig. 2.
Conclusion
In summary, we have systematically studied the thermal transport properties of monolayer transition metal dichalcogenides MX2 (M = Mo, W; X = S, Se, Te) using first-principles calculations and the Boltzmann transport equation for phonons. Our results indicate that monolayer WTe2 possesses the lowest lattice thermal conductivity κL (33.66 Wm−1 K−1 at 300 K) among this family of six semiconducting low dimensional materials, while the highest κL (113.97 Wm−1 K−1 at 300 K) comes from the WS2 monolayer. Further analyses reveal that the higher anharmonic and isotopic scatterings along lower phonon group velocities lead to the lowest obtained value of κL in case of WTe2. Additionally, we have also calculated the cumulative thermal conductivity κC as a function of mean free path, which suggests that the nanostructuring even up to the length of about 400 nm would reduce κL drastically. Keeping in view of the lowest thermal conductivity for the WTe2 monolayer, we propose that WTe2 monolayer may find its potential applications regarding the high-performance 2D nano-devices at nanoscale47.
References
Castro, N. A. H., Guinea, F., Peres, N. M. R., Novoselov, K. S. & Geim, A. K. The electronic properties of graphene. Rev. Mod. Phys., 20 81, 109–162.
Wang, Q. H., Kalantar-Zadeh, K., Kis, A., Coleman, J. N. & Strano, M. S. Electronics and optoelectronics of two-dimensional transition metal dichalcogenides. Nat. Nanotech. 7, 699–712 (2012).
Jiadan, L. et al. Modulating electronic transport properties of MoS2 field effect transistor by surface overlayers. Appl. Phys. Lett. 103, 063109 (2013).
Sarkar, D. et al. MoS2 field-effect transistor for next-generation label-free biosensors. ACS Nano 8, 3992–4003 (2014).
Sahin, H. et al. Anomalous Raman spectra and thickness-dependent electronic properties of Wse2. Phys. Rev. B. 87, 165409 (2013).
Horzum, S. et al. Phonon softening and direct to indirect band gap crossover in strained single-layer MoSe2 Phys. Rev. B. 87, 125415 (2013).
Klinovaja, J. & Loss, D. Spintronics in MoS2 monolayer quantum wires. Phys. Rev. B. 88, 075404 (2013).
Zeng, H. L., Dai, J. F., Yao, W., Xiao, D. & Cui, X. D. Valley polarization in MoS2 monolayers by optical pumping. Nat. Nanotech. 7, 490–493 (2012).
Gu, X. K. & Yang, R. G. Phonon transport in single-layer transition metal dichalcogenides: A first-principles study. Appl. Phys. Lett. 105, 131903 (2014).
Yan, R. et al. Thermal conductivity of monolayer molybdenum disulfide obtained from temperature-dependent Raman spectroscopy. ACS Nano 8, 986–993 (2014).
Peimyoo, N. et al. Thermal conductivity determination of suspended mono-and bilayer WS2 by Raman spectroscopy. Nano Research 8, 1210–1221 (2015).
Cai, Y.-Q., Lan, J.-H., Gang, Z. & Yong-Wei, Z. Lattice vibrational modes and phonon thermal conductivity of monolayer MoS2. Phys. Rev. B. 89, 035438 (2014).
Cai, Y.-Q., Hangbo, Z., Gang, Z. & Yong-Wei, Z. Modulating carrier density and transport properties of MoS2 by organic molecular doping and defect engineering. Chem. Mater. 28, 8611–8621 (2016).
Slack, G. A. Nonmetallic crystals with high thermal conductivity. J. Phys. Chem. Solids 34, 321–335 (1973).
Lindsay, L., Broido, D. A. & Reinecke, T. L. First-Principles Determination of Ultrahigh Thermal Conductivity of Boron Arsenide: A Competitor for Diamond? Phys. Rev. Lett. 111, 025901 (2013).
Jain, A. & McGaughey, A. J. H. Thermal conductivity of compound semiconductors: Interplay of mass density and acoustic-optical phonon frequency gap. J. Appl. Phys. 116, 073503 (2014).
Michel, K. H., Costamagna, S. & Peeters, F. M. Theory of anharmonic phonons in two-dimensional crystals. Phys. Rev. B. 91, 134302 (2015).
Huang, L.-F. & Zeng, Z. Roles of Mass, Structure, and Bond Strength in the Phonon Properties and Lattice Anharmonicity of Single-Layer Mo and W Dichalcogenides. J. Phys. Chem. C. 119, 18779–18789 (2015).
Boukhicha, M., Calandra, M., Measson, M.-A., Lancry, O. & Shukla, A. Anharmonic phonons in few-layer MoS2: Raman spectroscopy of ultralow energy compression and shear modes. Phys. Rev. B. 87, 195316 (2013).
Da Silva, A. L. C., Cândido, L., Rabelo, J. N. T., Hai, G.-Q. & Peeters, F. M. Anharmonic effects on thermodynamic properties of a graphene monolayer. Euro. Phys. Lett. 107, 56004 (2014).
Muratore, C. et al. Cross-plane thermal properties of transition metal dichalcogenides. Appl. Phys. Lett. 102, 081604 (2013).
Huang, W., Da, H.-X. & Liang, G.-C. Thermoelectric performance of MX2 (M = Mo, W; X = S, Se) monolayers. J. Appl. Phys. 113, 104304 (2013).
Lee, C.-H. et al. Enhancing the thermoelectric properties of layered transition-metal dichalcogenides 2H-MQ2 (M = Mo, W; Q = S, Se, Te) by layer mixing: Density functional investigation. Chem. Mater. 25, 3745–3752 (2013).
Huang, W., Luo, X., Gan, C. K., Quek, S. Y. & Liang, G.-C. Theoretical study of thermoelectric properties of few-layer MoS2 and Wse2. Phys. Chem. Chem. Phys. 16, 10866–10874 (2014).
Sahoo, S. P. et al. Temperature-dependent Raman studies and thermal conductivity of few-layer MoS2. J. Phys. Chem. C. 117, 9042–9047 (2013).
Yinchang, Z. et al. Intrinsic electronic transport and thermoelectric power factor in n-type doped monolayer MoS2. New J. Phys. 20, 043009 (2018).
Li, W., Carrete, J. & Mingo, N. Thermal conductivity and phonon linewidths of monolayer MoS2 from first principles. Appl. Phys. Lett 103, 253103 (2013).
Jiang, J.-W., Park, H. S. & Rabczuk, T. Molecular dynamics simulations of single-layer molybdenum disulphide (MoS2): Stillinger-Weber parametrization, mechanical properties, and thermal conductivity. J. Appl. Phys. 114, 064307 (2013).
Jo, I. S., Pettes, M. T., Ou, E., Wu, W. & Shi, L. Basal-plane thermal conductivity of few-layer molybdenum disulfide. Appl. Phys. Lett 104, 201902 (2014).
Li, W., Carrete, J., Katcho, N. A. & Mingo, N. ShengBTE: A solver of the Boltzmann transport equation for phonons. Comput. Phys. Commun. 185, 1747–1758 (2014).
Li, W., Lindsay, L., Broido, D. A., Stewart, D. A. & Mingo, N. Thermal conductivity of bulk and nanowire Mg2SixSn1−x alloys from first principles. Phys. Rev. B. 86, 174307 (2012).
Li, W. et al. Thermal conductivity of diamond nanowires from first principles. Phys. Rev. B. 85, 195436 (2012).
Togo, A., Oba, F. Y. & Tanaka, I. First-principles calculations of the ferroelastic transition between rutile-type and CaCl2-type SiO2 at high pressures. Phys. Rev. B. 78, 134106 (2008).
Kresse, G. & Furthmüller, J. Efficient iterative schemes for ab initio total-energy calculations using a plane-wave basis set. Phys. Rev. B. 54, 11169–11186 (1996).
Kresse, G. & Furthmüller, J. Efficiency of ab-initio total energy calculations for metals and semiconductors using a plane-wave basis set. Comput. Mater. Sci. 6, 15–50 (1950).
Kresse, G. & Joubert, D. From ultrasoft pseudopotentials to the projector augmented-wave method. Phys. Rev. B. 59, 1758–1775 (1999).
Perdew, J. P., Burke, K. & Ernzerhof, M. Generalized gradient approximation made simple. Phys. Rev. Lett. 77, 3865–3868 (1996).
Kumar, S. & Schwingenschlogl, U. Thermoelectric response of bulk and monolayer MoSe2 and Wse2. Chem. Mater. 27, 1278–1284 (2015).
Ding, Y.-C., Chen, M. & Xiao, B. Anisotropy in lattice thermal conductivity tensor of bulk hexagonal-MT2 (M = W, Mo and T = S and Se) by first principles phonon calculations. RSC Adv. 6, 7817–7828 (2016).
Ma, J.-L., Chen, Y., Han, Z. & Li, W. Strong anisotropic thermal conductivity of monolayer Wte2. 2D Mater. 3, 045010 (2016).
Tian, Z.-T. et al. Phonon conduction in PbSe, PbTe, and PbTe1−xSex from first-principles calculations. Phys. Rev. B. 85, 184303 (2012).
El-Sharkawy, A. A. et al. Thermophysical properties of polycrystalline PbS, PbSe, and PbTe in the temperature range 300–700 K. Int. J. Thermophys. 4, 261–269 (1983).
Jain, A. & McGaughey, A. J.-H. Strongly anisotropic in-plane thermal transport in single-layer black phosphorene. Sci. Rep. 5, 8501 (2015).
Gu, X. K. & Yang, R. G. First-principles prediction of phononic thermal conductivity of silicene: A comparison with graphene. J. Appl. Phys. 117, 025102 (2015).
Li, W. & Mingo, N. Ultralow lattice thermal conductivity of the fully filled skutterudite YbFe4Sb12 due to the flat avoided-crossing filler modes. Phys. Rev. B. 91, 144304 (2015).
Li, W. & Mingo, N. Thermal conductivity of fully filled skutterudites: Role of the filler. Phys. Rev. B. 89, 184304 (2014).
Ziman, J. M. Electrons and phonons: the theory of transport phenomena in solids. Oxford University Press (1960).
Acknowledgements
This research was supported by the National Natural Science Foundation of China under Grant No. 11374175 and the National Key Research and Development Program of China under Grant No. 2016YFB0700102.
Author information
Authors and Affiliations
Contributions
All of the authors made important contribution to this work. Specifically Jun Ni and ZhengCao Li proposed the project and analyze the results. Muhammad Zulfiqar, Yinchang Zhao and Geng Li have done all the DFT simulations. Muhammad Zulfiqar has composed the manuscript. All the authors reviewed the manuscript.
Corresponding authors
Ethics declarations
Competing Interests
The authors declare no competing interests.
Additional information
Publisher’s note: Springer Nature remains neutral with regard to jurisdictional claims in published maps and institutional affiliations.
Supplementary information
Rights and permissions
Open Access This article is licensed under a Creative Commons Attribution 4.0 International License, which permits use, sharing, adaptation, distribution and reproduction in any medium or format, as long as you give appropriate credit to the original author(s) and the source, provide a link to the Creative Commons license, and indicate if changes were made. The images or other third party material in this article are included in the article’s Creative Commons license, unless indicated otherwise in a credit line to the material. If material is not included in the article’s Creative Commons license and your intended use is not permitted by statutory regulation or exceeds the permitted use, you will need to obtain permission directly from the copyright holder. To view a copy of this license, visit http://creativecommons.org/licenses/by/4.0/.
About this article
Cite this article
Zulfiqar, M., Zhao, Y., Li, G. et al. Intrinsic Thermal conductivities of monolayer transition metal dichalcogenides MX2 (M = Mo, W; X = S, Se, Te). Sci Rep 9, 4571 (2019). https://doi.org/10.1038/s41598-019-40882-2
Received:
Accepted:
Published:
Version of record:
DOI: https://doi.org/10.1038/s41598-019-40882-2
This article is cited by
-
Electrically-driven reversible phonon transport manipulation in two-dimensional heterostructures
Nature Communications (2025)
-
Type-II SiPGaS/SnC-based heterostructures for flexible electronic and optical devices
Applied Physics A (2025)
-
Theoretical Investigation of Thermoelectric Properties of Semiconducting Janus \(\hbox {M}_{2}\)COS (M = Zr, Hf) MXenes
Journal of Electronic Materials (2025)
-
Comparative Analysis of Phonon Thermal Transport Properties in 2D Janus TMDC Monolayers: Insights from First-Principles Calculations
Journal of Electronic Materials (2025)
-
Cu6GeWS8: A Two-Dimensional Quaternary Sulfide with Direct Bandgap and Ultralow Lattice Thermal Conductivity
Journal of Electronic Materials (2024)







