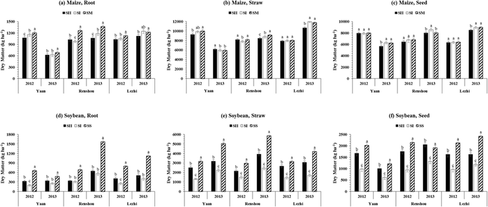
Figure 1

Dry matter distribution in root, straw, and seed of maize and soybean at various locations (Yaan, Renshou, and Lezhi) under different planting patterns. The SI (50 cm: 50 cm) and SII (40 cm: 160 cm) represent the different planting patterns under relay-intercropping system. The SM and SS refer to sole cropping system of maize and soybean, respectively. Means are averaged over three replicates. Bars show ± standard errors, (n = 2). Within a bar, different lowercase and same letters show a significant and non-significant difference (p ≤ 0.05) between treatments.