Abstract
Planting patterns affect nitrogen (N), phosphorus (P), and potassium (K) acquisition and distribution in maize and soybean under intercropping conditions. Here we reveal that strip relay-intercropping increases the N, P, and K uptake and distribution across plant organs (root, straw, and seed) of maize and soybean, accelerates the dry-matter production of intercrop-species, and compensates the slight maize yield loss by considerably increasing the soybean yield. In a two-year experiment, soybean was planted with maize in different planting patterns (SI, 50:50 cm and SII, 40:160 cm) of relay-intercropping, both planting patterns were compared with sole cropping of maize (SM) and soybean (SS). As compared to SI, SII increased the N, P, and K accumulation in each organ of soybean by 20, 32, and 18 (root) %, 71, 61, and 76 (straw) %, and 68, 65, and 62 (seed) %, respectively, whereas decreased the N, P, and K accumulation in each organ of maize by 1, 4, and 8 (root) %, 1, 10, and 3 (straw) %, and 5, 10, and 8 (seed) %, respectively. Overall, in SII, relay-cropped soybean accumulated 91% of total nutrient uptake (TNU) of sole soybean plants, and relay-cropped maize accumulated 94% of TNU of sole maize plants.
Similar content being viewed by others
Introduction
Relay-intercropping systems are used worldwide since these can increase the land use efficiency and nutrient use efficiency1. It is important and continues to be broadly practiced not only under tropical regions2, but in temperate regions also3, resulting in higher seed yields4. The maize soybean relay-intercropping is the major planting system, especially under rainfed regions5,6,7. As compared to intercropping systems, the advantage of relay-intercropping system is higher because in intercropping systems both crops almost have the similar growth periods and they required high amount of inputs to produce higher intercrop yields, whereas under relay-intercropping system both crop species have different growth periods and have complementary resource use in time. In addition, for maize soybean relay-intercropping system (MSR), the land equivalent ratio (LER) often reaches 1.7–1.8 when both crops were planted at their optimal planting density8, which increases its popularity among farmers, especially among small farmers. In MSR, spring maize is sown as two rows narrow strips in the first or second week of April, while two rows of soybean are sown in the fellow wide rows in the mid of June. Maize is subsequently harvested in the mid of August and soybean is harvested in the first week of November9. Previously, researchers have obtained higher values of LER under MSR8,10,11. The reasons for high LER are as follows: (a) increase in the gap between maize and soybean rows by narrowing the distance between maize rows12; (b) use of similar planting density between sole and intercropping system by adjusting the plant distance (smaller distance) in every row under intercropping conditions, which compensates for decreased row number10; and (c), optimum light distribution in maize and soybean rows by developing compact varieties of maize which enables sun light to reach maximum at soybean canopy13. Presently this system has been used in many provinces of China, such as Ningxia, Henan, Guizhou, Shandong, Sichuan, etc.14,15. The maximum intercrop yields in every province were utilized for comparison to estimate LER, e.g., 9000 and 3000 kg ha−1 for maize and soybean, respectively in Shandong province. This method reached LER of 1.8 under relay-intercropping system11, which is much higher as compared to the averaged value of LER 1.22 ± 0.0216 and 1.3017. In relay-intercropping system, maize had a yield advantage due to the better growth and border rows effect, and almost produced equal or higher seed yield than sole maize yield11, whereas soybean is the later grown crop of this system, as the result of crop competition with maize, the early growth of soybean is slower than sole soybean18. Previously, it has been reported that during the co-growth period soybean suffered from heavy maize shading which negatively affected the plant morphology19, physiology13 and carbon production20. In addition, relay-intercropped soybean attained lower photosynthetic rate21 and biomass per plant than sole cropped plants22. However, soybean plants exhibited fast recovery growth after the harvest of maize crop, and the severe competition for light and nutrients from maize plants during the co-growth period is compensated after the maize harvesting because the ability of soybean recovery growth was found to be stronger in MSR23. Moreover, in later stages of growth, soybean under relay-intercropping system has the better access to land, nutrients, light, and water resources per plant in comparison with sole cropping system8. In past, it has been found that the stronger recovery growth of relay intercropped crop species related to higher nutrient uptake24 and radiation use efficiency of soybean plants under relay-intercropping system14. In addition, this type of strong competition during the co-growth period and then relaxed competition during the later growth stages recognized as ‘competition recovery production principle25.
In previous studies, scientists have mainly focused on the morphological characteristics and seed yield of intercrop species under different planting (plant density and row spacing) arrangements5,26. However, no experiment has been carried out to investigate the major nutrient (nitrogen, phosphorus, and potassium) uptake and distribution among different plant parts of maize and soybean under different planting patterns in MSR. Some researchers have documented the nitrogen (N) and phosphorus (P) uptake in maize under wheat-maize relay intercropping system under different row configuration27, but the effects of different planting patterns on nutrient uptake and distribution in maize and soybean are not clearly understood. Therefore, it is important to investigate the nutrient uptake and distribution pattern in maize and soybean for sustainable agriculture production. In addition, relay-intercropping systems are different from the intercropping systems in co-growth periods of intercrop species, and planting pattern plays a vital role in increasing the intercrop advantage28. Up till now, the nutrient uptake and distribution pattern among different plant parts of maize and soybean under MSR remain unclear. Therefore, investigating the effects of different planting patterns on nutrient uptake and distribution in intercrop species is important in making nutrient decisions for intercrop species and to maintain agriculture sustainability in MSR. This experiment aims (i) to investigate the effects of different planting patterns on nutrient uptake and distribution in maize and soybean at plant and organ level; (ii) how increase in nutrient uptake (N, P, and K) affects the dry matter production and yields of maize and soybean under different planting patterns; (iii) to suggest an appropriate planting pattern which is better in utilizing the nutrients (N, P, and K) and resources with respect to competition and productivity.
Results
Dry matter accumulation and partioning
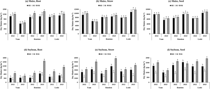
The mean values for dry matter accumulation (DMA) showed that different planting patterns and locations had significant impact on DMA of maize and soybean (Table 1). In our study, plants in sole maize (SM) and sole soybean (SS) always accumulated higher dry matter than those under SI (single row relay-intercropping system of maize and soybean) and SII (double row relay-intercropping system of maize and soybean) in MSR. However, the planting pattern, SI (17244 kg ha−1) and SII (4983.1 kg ha−1), and location Lezhi (18431 kg ha−1) and Renshou (5515.2 kg ha−1) produced the highest dry matter of maize and soybean, respectively. Furthermore, the DMA of maize showed the trend planting pattern, SM > SI > SII > and locations, Lezhi > Renshou > Yaan, and in soybean it showed planting pattern, SS > SII > SI > and locations, Renshou > Lezhi > Yaan, suggesting that increasing the distance between maize and soybean rows (planting pattern, SII) under MSR significantly increased the DMA of soybean by reducing the negative effects of maize shade on soybean growth. For instance, for treatment SII, it increased the DMA of soybean by 61% as compared to SI treatment. Moreover, the different planting patterns and locations significantly changed the pattern of dry matter partitioning among different plant parts of maize (Fig. 1a–c) and soybean (Fig. 1d–f). At maturity of maize and soybean, the maximum partitioning of dry matter was measured in straw followed by seed and root under all the treatments. Importantly, between SI and SII treatments in MSR, the soybean seed dry matter, maximum (1624.8 kg ha−1) was found under SII, while minimum (999.9 kg ha−1) was noted in SI. Among the locations, highest soybean seed dry matter (1689.3 kg ha−1) was recorded at Renshou, whereas, lowest (1252.4 kg ha−1) was measured at Yaan in both years. In addition, the planting pattern, SI (7485.7 kg ha−1) and location, Lezhi (7593.2 kg ha−1) produced the highest maize seed dry matter, while lowest seed dry matter of maize was found under SII (7150.1 kg ha−1) at Yaan (7007.1 kg ha−1). On average, treatment SII significantly increased the dry matter allocation to soybean seed by 41, 46, and 40% in 2012 and 38, 36, and 27% in 2013 at Yaan, Renshou, and Lezhi, respectively than those of under SI treatment.
Dry matter distribution in root, straw, and seed of maize and soybean at various locations (Yaan, Renshou, and Lezhi) under different planting patterns. The SI (50 cm: 50 cm) and SII (40 cm: 160 cm) represent the different planting patterns under relay-intercropping system. The SM and SS refer to sole cropping system of maize and soybean, respectively. Means are averaged over three replicates. Bars show ± standard errors, (n = 2). Within a bar, different lowercase and same letters show a significant and non-significant difference (p ≤ 0.05) between treatments.
Root, straw, and seed nitrogen (N) concentration of maize and soybean
Different planting patterns and locations significantly (p ≤ 0.05) affected the total nitrogen accumulation (TNA) in maize and soybean. The mean maximum TNA was 190.9 and 141.7 kg ha−1 under SM and SS, 208.8 and 126.4 kg ha−1 at Lezhi and Renshou, respectively in both study years (Table 2). Concentration of N among different plant parts of maize and soybean is presented in Fig. 2 for all planting patterns and locations. In different relay-intercropping planting patterns, the root, straw and seed concentration in maize decreased as the distance between maize and soybean rows increased under MSR, while the opposite results were noticed for soybean. Root (7.3 and 3.1 kg ha−1), straw (79.1 and 44.5 kg ha−1) and seed (104.6 and 122.9 kg ha−1) N concentration of maize and soybean in SM and SS, respectively was higher than the corresponding values under SI and SII treatments. In all treatments (i.e., different planting pattern and locations), seed and straw of maize (Fig. 2a–c) and soybean (Fig. 2d–f), respectively had significantly higher while root had significantly (p ≤ 0.05) lower nitrogen concentration in both years. Locations had significant and non-significant effects on root and straw, and seed N concentrations of maize. In maize, the mean highest root (8.1 kg ha−1) and straw (97.9 kg ha−1) N concentration was measured at Renshou and Lezhi, respectively, whereas mean lowest N concentration in root (5.7 kg ha−1) and straw (64.8 kg ha−1) was observed at Yaan in both years. Furthermore, the average maximum root (4.7 kg ha−1) and seed (126.4 kg ha−1), and straw (54.7 kg ha−1) N concentration in soybean were determined at Renshou and Yaan, respectively as compared to other locations. Overall, soybean plants accumulated 68, 69, and 64% higher N in SII than SI at Yaan, Renshou, and Lezhi, respectively.
Nitrogen allocation in root, straw, and seed of maize and soybean at various locations (Yaan, Renshou, and Lezhi) under different planting patterns. The SI (50 cm: 50 cm) and SII (40 cm: 160 cm) represent the different planting patterns under relay-intercropping system. The SM and SS refer to sole cropping system of maize and soybean, respectively. Means are averaged over three replicates. Bars show ± standard errors, (n = 2). Within a bar, different lowercase and same letters show a significant and non-significant difference (p ≤ 0.05) between treatments.
Root, straw, and seed phosphorus (P) concentration of maize and soybean
The mean root (0.97 kg ha−1), and straw (10.5 kg ha−1) and seed (23.1 kg ha−1) P concentration of maize were significantly (p ≤ 0.05) higher in SM and SI, respectively than other treatments (Fig. 3a–c). Additionally, the mean P concentration in root (1.2 kg ha−1), straw (11.3 kg ha−1) and seed (18.9 kg ha−1) was found considerably (p ≤ 0.05) higher in SS than those of under SI and SII in MSR (Fig. 3d–f), and showed the increasing trend as the gap between maize and soybean rows (from SII to SI) increased under MSR. On average, relative to SI planting pattern, P concentration in root, straw and seed was increased by 68, 54, and 67% at Yaan, Renshou and Lezhi, respectively in SII in both study years. Furthermore, locations also showed the significant effects on root, straw, and seed P concentrations of maize and soybean. The mean highest P concentration in root (1.2 kg ha−1) and seed (24.3 kg ha−1), and straw (10.8 kg ha−1) of maize was obtained at Renshou and Yaan, respectively, and the average maximum root (0.9 kg ha−1), straw (8.7 kg ha−1), and seed (16.7 kg ha−1) P concentration of soybean was measured at Renshou, Yaan, and Lezhi, respectively. In addition, the different planting patterns significantly (p ≤ 0.05) affected the total P accumulation in maize and soybean at all locations. The average highest total phosphorus accumulation (TPA) of maize and soybean respectively was 34.5 kg ha−1 in SI and 31.5 kg ha−1 in SS, 35.2 kg ha−1 at Renshou and 25.2 kg ha−1 at Lezhi in both study years (Table 2).
Phosphorus allocation in root, straw, and seed of maize and soybean at various locations (Yaan, Renshou, and Lezhi) under different planting patterns. The SI (50 cm: 50 cm) and SII (40 cm: 160 cm) represent the different planting patterns under relay-intercropping system. The SM and SS refer to sole cropping system of maize and soybean, respectively. Means are averaged over three replicates. Bars show ± standard errors, (n = 2). Within a bar, different lowercase and same letters show a significant and non-significant difference (p ≤ 0.05) between treatments.
Root, straw, and seed potassium (K) concentration of maize and soybean
The pattern of K distribution in different plant parts of maize and soybean is presented in (Fig. 4) for all planting patterns and locations. Large fluctuations were noted for K concentration in root, straw and seed of maize and soybean under all treatments. Maize showed mean maximum K concentrations in their root (20.7 kg ha−1) and straw (169.9 kg ha−1), and seed (33.5 kg ha−1) in SM and SI, respectively (Fig. 4a–c). Whereas, the mean maximum root (3.9 kg ha−1), straw (61.1 kg ha−1) and seed (35.2 kg ha−1) K concentrations of soybean were recorded under SS (Fig. 4d–f) than other treatments. However, among locations, the average highest K concentration in root (24.9 kg ha−1 and 2.9 kg ha−1), straw (174.4 kg ha−1 and 55.5 kg ha−1), and seed (33.1 kg ha−1 and 30.1 kg ha−1) of maize and soybean, respectively was measured at Renshou. Overall, soybean plants under SII accumulated 56, 65 and 85% higher K in root, straw, and seed, respectively as compared to SI. Furthermore, all the planting patterns and locations significantly (p ≤ 0.05) affected the total K accumulation in maize and soybean, and the mean highest total potassium accumulation (TKA) was 222.6 and 100.2 kg ha−1 under SM and SS, 232.5 and 88.5 kg ha−1 at Renshou, in both study years (Table 2).
Potassium allocation in root, straw, and seed of maize and soybean at various locations (Yaan, Renshou, and Lezhi) under different planting patterns. The SI (50 cm: 50 cm) and SII (40 cm: 160 cm) represent the different planting patterns under relay-intercropping system. The SM and SS refer to sole cropping system of maize and soybean, respectively. Means are averaged over three replicates. Bars show ± standard errors, (n = 2). Within a bar, different lowercase and same letters show a significant and non-significant difference (p ≤ 0.05) between treatments.
Total nutrient uptake of maize and soybean
The average values for total nutrient uptake (TNU) exhibited that different planting patterns and locations had significant impact on TNU of maize and soybean (Fig. 5). In this field experiment, plants under SM and SS always accumulated higher amount of nutrients than those in SI and SII under relay intercropping system. However, the planting pattern, SI (438.5 kg ha−1) and SII (269.7 kg ha−1), and location Lezhi (447.2 kg ha−1) and Renshou (285.2 kg ha−1) accumulated the highest nutrients by maize (Fig. 5a) and soybean (Fig. 5b), respectively. Furthermore, the TNU of maize showed the trend planting pattern, SM > SI > SII > and locations, Lezhi > Renshou > Yaan, and in soybean it showed planting pattern, SS > SII > SI > and locations, Renshou > Lezhi > Yaan, indicating that the wide distance between maize and soybean rows under MSR considerably increased the soybean TNU (by 83% in 2012 and 57% in 2013).
Total nutrient uptake (TPU) of maize and soybean at various locations (Yaan, Renshou, and Lezhi) under different planting patterns. The SI (50 cm: 50 cm) and SII (40 cm: 160 cm) represent the different planting patterns under relay-intercropping system. The SM and SS refer to sole cropping system of maize and soybean, respectively. Means are averaged over three replicates. Bars show ± standard errors, (n = 2). Within a bar, different lowercase and same letters show a significant and non-significant difference (p ≤ 0.05) between treatments.
Yield, land equivalent ratio, and competition ratio of maize and soybean
Different planting patterns and locations led to significant (p ≤ 0.05) differences in seed yields, harvest index and partial land equivalent ratio (LER) of maize and soybean (Table 3). By averaging the two years data, we observed that the seed yield of maize in relay intercropping planting patterns was 95% in SII - 99% in SI of that under SM; but the planting pattern showed non-significant differences for harvest index (HI) of maize. Among locations, maximum seed yield (8021.5 kg ha−1) and harvest index (49.6%) of maize were found at Lezhi and Yaan, respectively. In addition, with the increased distance between maize rows (SI), the partial LER value of maize also increased, and the maximum LERm (1.0) was noticed at Renshou. Soybean seed yield depicted the significant (p ≤ 0.05) response to all treatments and locations. The mean maximum seed yield of soybean was noted in SS (2012.0 kg ha−1) followed by SII (1721.5 kg ha−1) and SI (992.4 kg ha−1). However, among locations, the average highest seed yields of soybean were recorded for Renshou (1640.0 kg ha−1) and lowest for Yaan (1492.9 kg ha−1) in both years. Planting pattern also showed the significant (p ≤ 0.05) effect on HI of soybean, and the mean maximum (35%) HI was measured in SII followed by SI (33%) and SS (30%). The average value of HI for locations revealed that Yaan (34%) had produced the highest value followed by Lezhi (33%) and Renshou (32%). Furthermore, with the increased distance for planting soybean between maize and soybean rows (SII) under MSR, the maximum partial LER (0.88) and CR (0.92) values of soybean were found in SII, among locations the highest LERs (0.80) and CRs (0.81) values were noticed at Renshou and Yaan, respectively. Overall, the LER under different planting patterns and locations ranged from 1.51 to 1.84, and SII produced the highest LER (1.81) at Renshou in both study years.
Discussion
Higher nutrient acquisition under intercropping system confirmed the advantage of this system over sole cropping which resulted to highest dry matter accumulation (DMA) and yield. Since different planting patterns significantly influence the light environment under intercropping systems, and mutual shading considerably affects the productivity of intercrops because sun-light plays a vital role in increasing the photosynthetic rate and biomass yield29,30. In our experiment, different planting patterns exhibited a significant effect on the DMA of maize and soybean, and highest DMA of maize and soybean was recorded in SI and SII, respectively that was probably due to the optimum planting space, light availability and nutrients availability for maize and soybean. Our findings are similar to the previously published literature in which they concluded that DMA in maize and soybean under MSR significantly affected by changing the planting pattern and light interception9,11. Importantly, the SII planting pattern significantly increased the soybean DMA by 61, 57, and 57% and decreased the maize DMA by 3, 3, and 5% at Yaan, Renshou, and Lezhi, respectively, maize showed small decrease in DMA as compared to a gain of dry matter by soybean plants (Table 1), results were consistent with previous researches10. Furthermore, the maximum DMA of maize and soybean in both study years would have been due to the adequate uptake of major nutrients31 during the life period of crops because improved major nutrient uptake directly increased the intercrop dry matter production3. Among locations, the highest DMA at Renshou as compared to Yaan and Lezhi was may be due to the favorable cropping conditions i.e. enough rainfall and temperature during the life cycle of maize and soybean (Table 2), could easily elucidate the differences in DMA of intercrop species at various locations32.
Cereal and legume planting together is a common agricultural phenomenon in many parts of the world33. However, less consideration has been given to major nutrient behavior among plant parts of intercrop species in their intercropping mixtures. In this study, nitrogen, phosphorus, and potassium concentrations among plant parts of maize and soybean varied with the planting patterns and locations, but their accumulation patterns were different in all treatments. Different planting patterns significantly affected the root, straw, and seed nitrogen concentration of maize and soybean, which might be linked to the high and low nitrogen requirement of maize and soybean, respectively in all three plant parts in different planting conditions34,35. In cereal-legume intercropping systems, it is possible that the maize (cereal) accumulated nitrogen that was released by soybean (legume) root and root nodule-system, resulting from efficient utilization of nutrients36,37,38,39. Additionally, in our experiment nitrogen concentration in roots, straw, and seeds of maize and soybean in sole maize (SM) and sole soybean (SS) was higher as compared to those plants under SI and SII at all locations, suggesting that intercropping mixtures reduced the nitrogen accumulation amount in root, straw, and seed (Fig. 2). Similar to our results, Gou et al., (2018) reported the decreased nitrogen and phosphorus concentration in maize under relay intercropping system than sole cropping system27. However, the nitrogen concentration differences between relay-cropped maize and sole cropped maize were smaller as compared to soybean (Fig. 2a–c). It might be caused by the strong nitrogen acquisition ability of neighboring deep-root cereal species maize, whose root hair system intermingled with the soybean roots and acquired more legume-derived nitrogen40,41. Importantly, soybean plants significantly accumulated higher amounts of nitrogen in SII than SI which is might be due to the better growing conditions and availability of nutrients because increasing distance between maize and soybean rows reduced the maize shade23, increased the light transmittance on soybean canopy11 and decreased competition for the accumulation of nitrogen8 which significantly enhanced the concentration of N in soybean under MSR.
Phosphorus concentrations among different plant parts of soybean plants under MSR had been reduced as compared with its sole cropping plants (Fig. 3d–f), however, these differences were decreased under SII than SI planting pattern. Likely, there were two main processes that might had influenced the phosphorus concentration in soybean plants as its concentration decreased under the intercropping systems: (1) application of phosphorus-containing fertilizers tended to enhance phosphorus availability, and (2) limited phosphorus availability from soil and fertilizer was equally utilized by every single plant of soybean. Consequently, increased number of plants under intercropping conditions would reduce the phosphorus reallocation, limiting soybean phosphorus acquisition and concentration in different plant parts of soybean42. Similar findings were found for citrus-soybean intercropping system, where phosphorus accumulation and distribution among the different plant parts of soybean were reduced as compared to their corresponding monoculture43. These dissimilarities with what was estimated that phosphorus uptake would be increased in both cereals and legumes in their intercropping stands because pH decreased in soil-rhizosphere, and phosphorus activities in roots (i.e. phosphatase activities in soil-rhizosphere) and soil and soil-rhizosphere phosphorus concentration increased1,44. Unfortunately, in this experiment, we have not determined the phosphatase activity and soil-rhizosphere pH in the roots and soil. Interestingly, the differences of total phosphorus uptake (Table 3) and distribution among different plant parts of maize under SI and SII in MSR and SM decreased (Fig. 3a–c) as the distance between maize and soybean rows decreased (SI), indicating the reduced interspecific competition which significantly increased the phosphorus uptake45. Similarly, it may also be caused due to the border row effects in MSR because previously scientists have confirmed that the border row wheat plants had higher nitrogen and phosphorus uptake than those of under sole cropping system3,25. On average, soybean plants in SII accumulated 63% of higher phosphorus (TPU) as compared to SI where soybean plants experienced severe shading conditions which showed the direct relationship between light intensity and phosphorus uptake because several scientists have proved that shading conditions significantly reduced the phosphorus uptake ability in crops46,47. Therefore, higher accumulation of phosphorus in maize and soybean is might be due the improved light conditions and growing space for intercrop species under SII (narrow wide row planting pattern) than SI.
In this paper, we also measured the differences of potassium uptake and distribution in different plant parts of maize and soybean under MSR in response to different planting patterns at different locations (Fig. 4). The potassium concentration in maize plants was generally higher as compared to soybean plants. However, the smaller amount of potassium uptake was recorded in relay-cropped maize and soybean plants than those with under SM and SS, which indicates the interspecific competition between maize and soybean. On contrary to our findings, higher potassium uptake in intercropped wheat was reported under wheat-maize intercropping system3. The different planting patterns significantly affected the potassium uptake in soybean, and planting pattern SII increased the uptake of potassium in soybean. It might be due to the better planting space and arrangement that enhanced the potassium accumulation ability of soybean plants by ameliorating the negative effects of competition and maize shading4. Results of our experiment confirm that different planting patterns significantly affected the nutrient uptake ability of intercrop species, differences in nutrient acquisition (K) between MSR and sole cropping system by soybean plants (Fig. 4d–f) was larger as compared to maize plants (Fig. 4a–c). Overall, the higher N and P concentrations in seed than in other parts and the higher K concentration in straw than root and seed of maize and soybean, could be described by the competition among plant parts for N, P, and K demand for plant growth, and the advantage of that plant part may have for being adjacent to source of nutrient. This is because N, P, and K are distributed to distant parts after the request of adjacent parts to a nutrient source are met45. Conversely, this challenges the results from shrubs, where the nutrient content in roots enhanced in equivalent with the stem and leaves45. Nutrient distribution is also controlled by the crop and plant part request for nitrogen-rich proteins and phosphorus-rich RNAs48. Extra nitrogen and phosphorus distribution to the leaf are important to maintain the photosynthesis process efficiency and photo-assimilate remobilization49. In arid areas (or drought years), a high nitrogen content in leaf may provide adaptation to water scarce conditions and competition by exploiting the greater sunlight availability45,49,50.
Previously, it has been reported that nutrient uptake and nutrient use efficiency were greatly reduced by decrease in light intensity47,51,52,53. Therefore, these experiments were carried out to determine the effects of different planting patterns on total nutrient uptake of maize and soybean at different locations. The findings of the present study reported here demonstrate that total nutrient uptake (TNU) in soybean was increased by increasing the distance between maize and soybean rows under MSR. Specifically, soybean plants grown under SII accumulated 18% higher TNU than those plants in SI while SII decreased the TNU of maize by 4% than SI in both years (Fig. 6). This enhanced TNU in soybean under narrow-wide row planting pattern (SII) increased both the dry matter production (Table 1) and distribution in plant organs (Fig. 1). Based on these results, non-exclusive, hypotheses might be postulated for the uptake of nutrients in MSR that improvement in light environment (data not shown) in SII enhances the photosynthesis, carbon fixation, and plant growth rate of soybean plants. To maintain these processes at optimum level soybean plants uptake higher amount of N, P, and K in SII than SI. Results were similar with previous findings in which scientists reported that nutrients uptake increased in lupin (Lupinus albus L.) with increasing the light intensity54. Moreover, higher light (photosynthetically active radiations) intensity improved the distribution pattern of major nutrients in crops which significantly increased the dry matter production47.
Field layout of different planting patterns of relay-intercropped maize soybean: SI (traditional single row relay-intercropping system of maize and soybean, one row of soybean relay-intercropped with one row of maize, the row to row distance between maize and soybean rows was 50 cm), SII (modern double row relay-intercropping system of maize and soybean, two rows of soybean relay-intercropped with two rows of maize, maize row to row distance was 40 cm, soybean row to row distance was 40 cm, distance between the maize and soybean rows was 60 cm), SM (sole maize, row to row distance was 70 cm), and SS (sole soybean, row to row distance was 50 cm).
The effect of different planting patterns on yield of maize and soybean under MSR, SM, and SS at different locations was evaluated, and the results of our study revealed that the total yield of maize and soybean were significantly (p ≤ 0.05) increased with optimum strip width arrangement SII at all locations (Table 3). This increase might be due to the optimum availability and utilization of major nutrients (N, P, and K) as these nutrients increased the yield and yield related parameters8,55,56. Further, our results exhibited that increasing the distance between maize and soybean rows i.e. 40:160 (SII) improved the seed yield of soybean at all locations due to the substantial increase in DMA and nutrient uptake by maintaining the maize seed yield. In the past study, researchers have reported that balanced fertilization and optimum uptake of major nutrient significantly increased the intercrop yields under MSR24. Total LER values were always higher than one in both planting patterns in MSR at all locations, which exhibits the yield benefit of MSR over sole cropping due to the better utilization of land and environmental resources for crop growth and development12. Particularly, the mean values of LER under SI and SII were 1.84 and 1.51 (Table 3), respectively, which means that 50 to 80% of extra farmland will be needed by the sole cropping of maize and soybean to equal the seed yields of relay-intercropping system, showing intercrops land use efficiency as compared with sole crops10,57,58. These results are in line with those of Yang et al., (2017) who reported the MSR advantage with narrow wide row planting pattern11. Similarly, Liu et al., (2017) reported higher LER values 1.3–1.4 in narrow wide row intercropping system of maize and soybean59. In addition, less distance (52 cm) between maize and soybean rows negatively affected the light interception at the soybean canopy9,60,61, therefore it is an effective method to ameliorate the negative effects of maize shade by increasing the distance (SII, 40:160) between maize and soybean rows for planting soybean, which resulted in higher light interception9, dry matter14 and seed yield production of soybean and ultimately the total LER of relay-intercropping system. In addition, the partial values of CR clearly showed maize as the dominant crop species under MSR (Table 3). Similarly, in many previous investigations, it has been proved that the values of CR were always higher than soybean12,59. Moreover, higher competitive ability of maize crop to exploit and use available resources i.e. light, land, and water in association with soybean or groundnut or chickpea has been confirmed by other scientists8,62,63. Whereas, in pea-rye intercropping the partial values of CRp of legume (pea) were greater than cereal (rye)64, which was the different trend which we observed as cereal (maize) was more aggressive and competitive than legume (soybean).
Conclusion
In our experiment, relay-cropped maize and soybean under different planting patterns had accumulated lower nutrient (N, P, and K) than those of under SM and SS. However, the differences in nutrient uptake and distribution among different plant parts for soybean between relay-cropped and sole cropped plants were larger than maize plants under SI and SII planting patterns. Furthermore, the high seed yield of soybean under SII in MSR was a result of higher dry matter accumulation. In SII, 40:160 optimum strip width for growing maize and soybean, it is the best planting pattern to minimize the shading effect of maize on soybean at critical stages during the co-growth period i.e. vegetative stage and the start of flowering stage. Therefore, planting pattern SII can be adopted in MSR to avoid sever shading of maize at flowering stage. In MSR wide distance between maize and soybean rows potentially increased the land equivalent ratio (1.84) which was the result of adequate maize (182.8 kg N ha−1, 31.3 kg P ha−1, and 206.2 kg K ha−1) and soybean (170.5 kg N ha−1, 23.9 kg P ha−1, and 44.7 kg K ha−1) nutrient acquisition in SII (Table 2). In addition, our experiment suggested that for the sustainability and productivity of maize soybean relay-intercropping system, narrow wide row strip width planting pattern (SII) has to be used to improve the competition indices of maize and soybean under MSR. Moreover, by the selection of optimum planting pattern (SII; 40:160), we can achieve higher seed yield and economic return under MSR. Furthermore, planning the long-term field observations to understand the impact of various planting pattern and intercrop combinations on the nutrients uptake of intercrop species is an important direction for future research.
Methods
Experimental sites
Three experimental sites, Yaan, Renshou, and Lezhi, with different altitude levels and rainfall characteristics, were selected for this experiment. The field experiment did not include any protected or endangered species and no permissions were needed for the selected locations. All the experiments were conducted by following the institutional rules and regulations of Sichuan Agricultural University, China. Yaan (29°59′N, 103°00′E, altitude 620 m elevation) has a humid climatic condition with mean annual temperature of 16.2 °C and rainfall 1200 mm. The subtropical and humid site Renshou (30°16′4”N, 104°12′53”E, altitude 482 m elevation), has average rainfall of 1009.4 mm and temperature 17.4 °C. Lezhi (30°30′4′′N and 104°45′2′′E, altitude 446 m elevation) has monsoon humid, with mean rainfall of 949.4 mm and temperature of 16.7 °C. Weather data which includes monthly rainfall, average temperature, humidity and wind speed during the planting seasons from 2012 to 2013 are shown in Table 4. The physiochemical characteristics of soil at Yaan pH = 6.6, organic matter = 29.8 g kg−1, total N = 1.6 g kg−1, total P = 1.28 g kg−1, total K = 16.3 g kg−1, available N = 317.1 mg kg−1, available P = 42.2 mg kg−1, and available K = 382.1 mg kg−1, at Renshou pH = 6.8, organic matter = 17.3 g kg−1, total N = 0.9 g kg−1, total P = 0.5 g kg−1, total K = 14.3 g kg−1, available N = 77.4 mg kg−1, available P = 10.2 mg kg−1, and available K = 197.1 mg kg−1, and at Lezhi were pH = 6.8, organic matter = 11.1 g kg−1, total N = 1.0 g kg−1, total P = 1.4 g kg−1, total K = 17.9 g kg−1, available N = 165.1 mg kg−1, available P = 4.9 mg kg−1, and available K = 391.1 mg kg−1, in the 0–20 cm soil layer.
Planting material and experimental details
The maize genotype ‘Chuandan-418 (semi-compact)’ and the soybean genotype ‘Nandou-12 (shade resistant)’ were selected for the experiments. This field study consisted of four different planting pattern arrangements (Fig. 6), described as follows, sole maize (SM, row to row distance was 70 cm), sole soybean (SS, row to row distance was 50 cm), single row relay-intercropping system of maize and soybean (SI, one row of soybean relay-intercropped with one row of maize, the row to row distance between maize and soybean rows was 50 cm), and double row relay-intercropping system of maize and soybean (SII, two rows of soybean relay-intercropped with two rows of maize, maize row to row distance was 40 cm, soybean row to row distance was 40 cm, distance between the maize and soybean rows was 60 cm). Every experimental block was 6 m long with three strips. The field experiments were laid out using a randomized complete block design with three replicates. Both varieties were over seeded and thinned to maintain a uniform planting density of 6 and 10 plants m−2 for maize and soybean, respectively in relay-intercropping system, and similar planting density was kept in sole cropping system of maize and soybean. The maize crop was sown in the second week of April in 2012 and 2013, and harvested in the first week of August 2012 and 2013. Soybean was sown on in the second week of June 2012 and 2013 and harvested in the last week of October 2012 and 2013. All plots were treated with basal fertilizer. Basal nitrogen (N) at 135 kg ha−1 as urea, phosphorus (P) at 40 kg ha−1 as calcium superphosphate, and potassium (K) at 10 kg ha−1 as potassium sulfate were applied at the time of sowing in intercropped and sole-cropped maize. At the V6 stage of maize, the second dose of N was applied at 75 kg ha−1 as urea in all plots. The N, P, and K at 75, 40, and 4 kg ha−1 as urea, calcium superphosphate, and potassium sulfate, respectively were basally applied for soybean at the time of soybean sowing. Other farming measures were used according to the farmer’s practices.
Sampling and measurements
Dry matter accumulation and partioning
Ten consecutive maize and soybean plants, excluding the five border plants, were destructively sampled from all experimental blocks at maturity stage during both years and locations for the determination of total dry matter accumulation (DMA) and partitioning in different plant parts of maize and soybean. Then all the sampled plants were divided into different plant parts of maize (root, straw (leaves + stem), and seed) and soybean (root, straw (leaves + stem + pod cover), and seed) placed in oven for one hour at 80 °C to kill the fresh-tissues and then dried at 65 °C to obtain constant weight before weighing of each plant part of maize and soybean for total dry matter accumulation and partitioning analysis.
Nutrient uptake in maize and soybean
At maturity of maize and soybean, plant samples were collected from the central rows of each experimental block and location, divided into root, straw, and seed of maize and soybean. Then all the maize and soybean samples were dried in the oven at 80 °C for 96 hours to attain constant dry weights. Then dry matter of each plant part was ground using a ring-mill through hundred-mesh and the nitrogen (N) content of maize and soybean plant samples was measured by using the Kjeldahl method3, the phosphorus (P) content of maize and soybean plant samples was determined by using the vanadomolybdate procedure55, and the potassium (K) content of maize and soybean plant samples were estimated by following the previously described method65. The N, P, and K content in each organ of maize and soybean plants were measured by multiplying the total dry matter of each plant organ with the N, P, and K content and calculated in a kg ha−13. The total N accumulation (TNA), total P accumulation (TPA), and total K accumulation (TKA) were calculated from the summation of the nitrogen, phosphorus, and potassium in all plant parts56. Additionally, total nutrient uptake (TNU) was measured from the summation of the TNA, TPA, and TKA in maize and soybean.
Yield and competition parameters
In this experiment, at the time of maturity, four m−2 plants of maize and soybean were manually harvested from the central rows of each experimental block using sickle at ground level. Then these sampled plants were dried for ten days. The dried maize and soybean plants were threshed manually and weighed to determine the intercropped and sole cropped maize and soybean seed yields of every plant and then converted into kg ha−1. In addition, harvest index (HI) was estimated by dividing the seed weight per plant by the dry matter weight of each plant at physiological maturity. The relay-intercropping advantage and competition effects between two different crop species grown in mixture were determined by using several competition parameters as follows: the LER was applied as the standard for intercropping advantage because both maize and soybean were the preferred crop species in relay-intercropping system. One is considered as the crucial LER value because if the value of LER is greater than one then it means that intercropping system favors the crop growth and yield of intercropped species, while if LER value is less than one then that intercropping system negatively reduces the growth and yield of intercropped species66. LER was determined as:
where Yms and Yss are the seed yields of maize and soybean in sole cropping system, respectively, and Ymr and Ysr are the seed yields of maize and soybean, respectively under relay-intercropping system. The competition ratio (CR) is another parameter to investigate the competition between two crop species. The CRs is determined by using the following formulas:
where Zsr and Zmr are the soybean and maize sown proportion area in relay-intercropping system, respectively. When the value of CRs is higher than ‘one’ suggested the competitive ability of soybean greater than maize.
Statistical analysis
All the measured data for all parameter was analyzed using Statistix 8.1. An ANOVA (analysis of variance) technique was used to confirm the overall significance of data. The least significance difference (LSD) test was applied to compare the means at 5 percent probability level67. In addition, Microsoft Excel program was used for the graphical presentation of data using standard error (±SE).
Data Availability
The datasets generated during and/or analyzed during the current study are available from the corresponding author on reasonable request.
References
Inal, A., Gunes, A., Zhang, F. & Cakmak, I. Peanut/maize intercropping induced changes in rhizosphere and nutrient concentrations in shoots. Plant Physiology and Biochemistry 45, 350–356 (2007).
Vandermeer, J. H. The ecology of intercropping. (Cambridge University Press 1992).
Li, L. et al. Wheat/maize or wheat/soybean strip intercropping: I. Yield advantage and interspecific interactions on nutrients. Field Crops Research 71, 123–137 (2001).
Li, L., Yang, S., Li, X., Zhang, F. & Christie, P. Interspecific complementary and competitive interactions between intercropped maize and faba bean. Plant and Soil 212, 105–114 (1999).
Echarte, L. et al. Yield response to plant density of maize and sunflower intercropped with soybean. Field Crops Research 121, 423–429 (2011).
Coll, L., Cerrudo, A., Rizzalli, R., Monzon, J. & Andrade, F. Capture and use of water and radiation in summer intercrops in the south-east Pampas of Argentina. Field Crops Research 134, 105–113 (2012).
Monzon, J. P. et al. Maize–soybean intensification alternatives for the Pampas. Field Crops Research 162, 48–59 (2014).
Chen, P. et al. Effects of reduced nitrogen inputs on crop yield and nitrogen use efficiency in a long-term maize-soybean relay strip intercropping system. PloS one 12, e0184503 (2017).
Yang, F. et al. Growth of soybean seedlings in relay strip intercropping systems in relation to light quantity and red: far-red ratio. Field Crops Research 155, 245–253, https://doi.org/10.1016/j.fcr.2013.08.011 (2014).
Yang, F. et al. Yield response to different planting geometries in maize–soybean relay strip intercropping systems. Agronomy Journal 107, 296–304, https://doi.org/10.2134/agronj14.0263 (2015).
Yang, F. et al. Effect of aboveground and belowground interactions on the intercrop yields in maize-soybean relay intercropping systems. Field Crops Research 203, 16–23, https://doi.org/10.1016/j.fcr.2016.12.007 (2017).
Yang, F. et al. Effects of row spacing on crop biomass, root morphology and yield in maize-soybean relay strip intercropping system. Acta Agron. Sin 41, 642–650 (2015).
Liu, W. et al. Relationship between cellulose accumulation and lodging resistance in the stem of relay intercropped soybean [Glycine max (L.) Merr.]. Field Crops Research 196, 261–267, https://doi.org/10.1016/j.fcr.2016.07.008 (2016).
Liu, X. et al. Relationships among light distribution, radiation use efficiency and land equivalent ratio in maize-soybean strip intercropping. Field Crops Research 224, 91–101, https://doi.org/10.1016/j.fcr.2018.05.010 (2018).
Du, J.-b et al. Maize-soybean strip intercropping: Achieved a balance between high productivity and sustainability. Journal of Integrative Agriculture 16, 60345–60347, https://doi.org/10.1016/S2095-3119(17)61789-1 (2017).
Yu, Y., Stomph, T.-J., Makowski, D. & Van Der Werf, W. Temporal niche differentiation increases the land equivalent ratio of annual intercrops: a meta-analysis. Field Crops Research 184, 133–144 (2015).
Martin-Guay, M.-O., Paquette, A., Dupras, J. & Rivest, D. The new green revolution: sustainable intensification of agriculture by intercropping. Science of the Total Environment 615, 767–772 (2018).
Wu, Y. et al. Responses to shade and subsequent recovery of soya bean in maize-soya bean relay strip intercropping. Plant Production Science 19, 206–214 (2016).
Wu, Y., Gong, W. & Yang, W. Shade inhibits leaf size by controlling cell proliferation and enlargement in soybean. Scientific Reports 7, 9259, https://doi.org/10.1038/s41598-017-10026-5 (2017).
Yang, F. et al. Effect of interactions between light intensity and red-to-far-red ratio on the photosynthesis of soybean leaves under shade condition. Environmental and Experimental Botany 150, 79–87, https://doi.org/10.1016/j.envexpbot.2018.03.008 (2018).
Yang, F. et al. Auxin-to-Gibberellin Ratio as a Signal for Light Intensity and Quality in Regulating Soybean Growth and Matter Partitioning. Frontiers in Plant Science 9, 56, https://doi.org/10.3389/fpls.2018.00056 (2018).
Wu, Y. et al. Shade adaptive response and yield analysis of different soybean genotypes in relay intercropping systems. J. Integr. Agric 16, 1331–1340 (2017).
Fan, Y. et al. Effect of shading and light recovery on the growth, leaf structure, and photosynthetic performance of soybean in a maize-soybean relay-strip intercropping system. PloS one 13, e0198159, https://doi.org/10.1371/journal.pone.0198159 (2018).
Gou, F., van Ittersum, M. K., Wang, G., van der Putten, P. E. & van der Werf, W. Yield and yield components of wheat and maize in wheat–maize intercropping in the Netherlands. European Journal of agronomy 76, 17–27 (2016).
Zhang, F. & Li, L. Using competitive and facilitative interactions in intercropping systems enhances crop productivity and nutrient-use efficiency. Plant and Soil 248, 305–312 (2003).
Borghi, É. et al. Effects of row spacing and intercrop on maize grain yield and forage production of palisade grass. Crop and Pasture. Science 63, 1106–1113 (2013).
Gou, F. et al. Intercropping with wheat lowers nutrient uptake and biomass accumulation of maize, but increases photosynthetic rate of the ear leaf. AoB Plants 10, ply010 (2018).
Mao, L. et al. Yield advantage and water saving in maize/pea intercrop. Field Crops Research 138, 11–20 (2012).
Midmore, D., Berrios, D. & Roca, J. Potato (Solanum spp.) in the hot tropics V. Intercropping with maize and the influence of shade on tuber yields. Field Crops Research 18, 159–176 (1988).
Li, H., Jiang, D., Wollenweber, B., Dai, T. & Cao, W. Effects of shading on morphology, physiology and grain yield of winter wheat. European Journal of agronomy 33, 267–275 (2010).
Raza, M. et al. Effect of Sulphur Application on Photosynthesis and Biomass Accumulation of Sesame Varieties under Rainfed Conditions. Agronomy 8, 149 (2018).
Woli, K. P., Sawyer, J. E., Boyer, M. J., Abendroth, L. J. & Elmore, R. W. Corn Era Hybrid Macronutrient and Dry Matter Accumulation in Plant Components. Agronomy Journal (2018).
Hauggaard-Nielsen, H., Ambus, P. & Jensen, E. S. Interspecific competition, N use and interference with weeds in pea–barley intercropping. Field Crops Research 70, 101–109 (2001).
Fujita, Y., de Ruiter, P. C., Wassen, M. J. & Heil, G. W. Time-dependent, species-specific effects of N: P stoichiometry on grassland plant growth. Plant and Soil 334, 99–112 (2010).
Sardans, J., Rivas-Ubach, A. & Peñuelas, J. The C: N: P stoichiometry of organisms and ecosystems in a changing world: a review and perspectives. Perspectives in Plant Ecology, Evolution and Systematics 14, 33–47 (2012).
Hauggaard-Nielsen, H. & Jensen, E. S. In Root Physiology: from Gene to Function 237–250 (Springer 2005).
Chen, Y. L., Dunbabin, V. M., Diggle, A. J., Siddique, K. H. & Rengel, Z. Phosphorus starvation boosts carboxylate secretion in P-deficient genotypes of Lupinus angustifolius with contrasting root structure. Crop and Pasture Science 64, 588–599 (2013).
Neugschwandtner, R. W. & Kaul, H.-P. Sowing ratio and N fertilization affect yield and yield components of oat and pea in intercrops. Field Crops Research 155, 159–163 (2014).
Neugschwandtner, R. W. & Kaul, H.-P. Nitrogen uptake, use and utilization efficiency by oat–pea intercrops. Field Crops Research 179, 113–119 (2015).
Xu, B. et al. N: P ratio of the grass Bothriochloa ischaemum mixed with the legume Lespedeza davurica under varying water and fertilizer supplies. Plant and Soil 400, 67–79 (2016).
Dhamala, N. R., Rasmussen, J., Carlsson, G., Søegaard, K. & Eriksen, J. N transfer in three-species grass-clover mixtures with chicory, ribwort plantain or caraway. Plant and Soil 413, 217–230 (2017).
Mi, Z. et al. Leaf P increase outpaces leaf N in an Inner Mongolia grassland over 27 years. Biology letters 11, 20140981 (2015).
Wei-Jun, Z., Kai-Rong, W., Zhang, Y.-Z., Li-Chu, Y. & He-Song, L. Phosphorus Transfer and Distribution in a Soybean-Citrus Intercropping System1. Pedosphere 16, 435–443 (2006).
Betencourt, E., Duputel, M., Colomb, B., Desclaux, D. & Hinsinger, P. Intercropping promotes the ability of durum wheat and chickpea to increase rhizosphere phosphorus availability in a low P soil. Soil biology and Biochemistry 46, 181–190 (2012).
Yang, X. et al. Scaling of nitrogen and phosphorus across plant organs in shrubland biomes across Northern China. Scientific reports 4, 5448 (2014).
Magalhaes, J. R. & Wilcox, G. Tomato growth and nutrient uptake patterns as influenced by nitrogen form and light intensity. Journal of plant nutrition 6, 941–956 (1983).
Baligar, V. C. et al. Growth, Physiological and Nutrient Uptake Traits of Crotalaria Cover Crops Influenced by Levels of Carbon Dioxide under Low Light Intensities. crops 3, 27 (2018).
Vrede, T., Dobberfuhl, D. R., Kooijman, S. & Elser, J. J. Fundamental connections among organism C: N: P stoichiometry, macromolecular composition, and growth. Ecology 85, 1217–1229 (2004).
Li, A., Guo, D., Wang, Z. & Liu, H. Nitrogen and phosphorus allocation in leaves, twigs, and fine roots across 49 temperate, subtropical and tropical tree species: a hierarchical pattern. Functional Ecology 24, 224–232 (2010).
Wright, I. J., Reich, P. B. & Westoby, M. Least-cost input mixtures of water and nitrogen for photosynthesis. The American Naturalist 161, 98–111 (2002).
Baligar, V. et al. Light intensity effects on growth and micronutrient uptake by tropical legume cover crops. Journal of plant nutrition 29, 1959–1974 (2006).
Baligar, V. et al. In Toward Agroforestry Design 67–79 (Springer 2008).
Baligar, V., Bunce, J., Elson, M. & Fageria, N. Irradiance, external carbon dioxide concentration and temperature influence photosynthesis in tropical cover crop legumes. Tropical Grasslands 44, 24–32 (2010).
Cheng, L. et al. Interactions between light intensity and phosphorus nutrition affect the phosphate-mining capacity of white lupin (Lupinus albus L.). Journal of Experimental Botany 65, 2995–3003 (2014).
Xia, H.-Y. et al. Contribution of interspecific interactions and phosphorus application to sustainable and productive intercropping systems. Field Crops Research 154, 53–64 (2013).
Raza, M. A. et al. Sulphur application increases seed yield and oil content in sesame seeds under rainfed conditions. Field Crops Research 218, 51–58, https://doi.org/10.1016/j.fcr.2017.12.024 (2018).
Midya, A., Bhattacharjee, K., Ghose, S. & Banik, P. Deferred seeding of blackgram (Phaseolus mungo L.) in rice (Oryza sativa L.) field on yield advantages and smothering of weeds. Journal of Agronomy and Crop Science 191, 195–201 (2005).
Agegnehu, G., Ghizaw, A. & Sinebo, W. Yield performance and land-use efficiency of barley and faba bean mixed cropping in Ethiopian highlands. European Journal of agronomy 25, 202–207 (2006).
Liu, X. et al. Changes in light environment, morphology, growth and yield of soybean in maize-soybean intercropping systems. Field Crops Research 200, 38–46 (2017).
Oseni, T. O. Evaluation of sorghum-cowpea intercrop productivity in savanna agro-ecology using competition indices. Journal of Agricultural Science 2, 229 (2010).
Liu, W. et al. Evaluation of soybean (Glycine max) stem vining in maize-soybean relay strip intercropping system. Plant Production Science 18, 69–75, https://doi.org/10.1626/pps.18.69 (2015).
Ghosh, P. Growth, yield, competition and economics of groundnut/cereal fodder intercropping systems in the semi-arid tropics of India. Field Crops Research 88, 227–237 (2004).
Banik, P., Sasmal, T., Ghosal, P. & Bagchi, D. Evaluation of Mustard (Brassica compestris Var. Toria) and Legume Intercropping under 1: 1 and 2: 1 Row‐Replacement Series Systems. Journal of Agronomy and Crop Science 185, 9–14 (2000).
Lithourgidis, A., Vlachostergios, D., Dordas, C. & Damalas, C. Dry matter yield, nitrogen content, and competition in pea–cereal intercropping systems. European Journal of agronomy 34, 287–294 (2011).
Yildiz, O. et al. Effects of different site preparation methods on soil carbon and nutrient removal from Eastern beech regeneration sites in Turkey’s Black Sea region. Applied Soil Ecology 45, 49–55 (2010).
Mead, R. & Willey, R. The concept of a ‘land equivalent ratio’and advantages in yields from intercropping. Experimental Agriculture 16, 217–228 (1980).
Steel, R. G. & Torrie, J. H. Principles and procedures of statistics: a biometrical approach. (McGraw-Hill 1986).
Acknowledgements
The research was supported by the National Key Research and Development Program of China (2016YFD0300602, 2016YFD0300209), the National Nature Science Foundation (31571615), and Program on Industrial Technology System of National Soybean (CARS-04-PS19). Muhammad Ali Raza’s thanks, to Professor Yang Wenyu for his expert advices throughout this difficult research project, to Muhammad Yasin (Father) and Khalida Perveen (Mother) for their prayers and guidance, to Dr. Meki Gull for encouragement and support during the PhD study and research.
Author information
Authors and Affiliations
Contributions
X.Z. and L.Y.F. carried out the field study and collected all data from all locations in both study years; F.Y. and W.Y. conceived the study, secured the funding and led the project progress; M.A.R., performed the statistical analysis; M.A.R., M.H.B.K., Y.K.C. and Y.F.F. were involved in the data interpretation; M.A.R., wrote the whole paper; L.Y.F. I.K. and M.J.H. made the figures; M.A.R. and M.A. reviewed and revised this research paper.
Corresponding authors
Ethics declarations
Competing Interests
The authors declare no competing interests.
Additional information
Publisher’s note: Springer Nature remains neutral with regard to jurisdictional claims in published maps and institutional affiliations.
Rights and permissions
Open Access This article is licensed under a Creative Commons Attribution 4.0 International License, which permits use, sharing, adaptation, distribution and reproduction in any medium or format, as long as you give appropriate credit to the original author(s) and the source, provide a link to the Creative Commons license, and indicate if changes were made. The images or other third party material in this article are included in the article’s Creative Commons license, unless indicated otherwise in a credit line to the material. If material is not included in the article’s Creative Commons license and your intended use is not permitted by statutory regulation or exceeds the permitted use, you will need to obtain permission directly from the copyright holder. To view a copy of this license, visit http://creativecommons.org/licenses/by/4.0/.
About this article
Cite this article
Raza, M.A., Bin Khalid, M.H., Zhang, X. et al. Effect of planting patterns on yield, nutrient accumulation and distribution in maize and soybean under relay intercropping systems. Sci Rep 9, 4947 (2019). https://doi.org/10.1038/s41598-019-41364-1
Received:
Accepted:
Published:
Version of record:
DOI: https://doi.org/10.1038/s41598-019-41364-1
This article is cited by
-
Indica-Japonica rice intercropping enhances rice productivity by efficiently utilizing the resources
BMC Plant Biology (2025)
-
Unravelling the phenotypic plasticity of functional traits in relay-cropping: the case of soybean with winter barley
Plant and Soil (2025)
-
Integration of maize-soybean intercropping with black soldier fly frass fertilizer improves grain yield, carbon sequestration and soil nutrient dynamics
Discover Soil (2025)
-
Foliar Application of Silica Nanoparticles Positively Influences the Early Growth Stage and Antioxidant Defense of Maize Under Low Light Stress
Journal of Soil Science and Plant Nutrition (2024)
-
Impact of Cropping System and Planting Techniques On Soil Properties and Wheat Productivity Under Rainfed Condition
Journal of Crop Health (2024)








