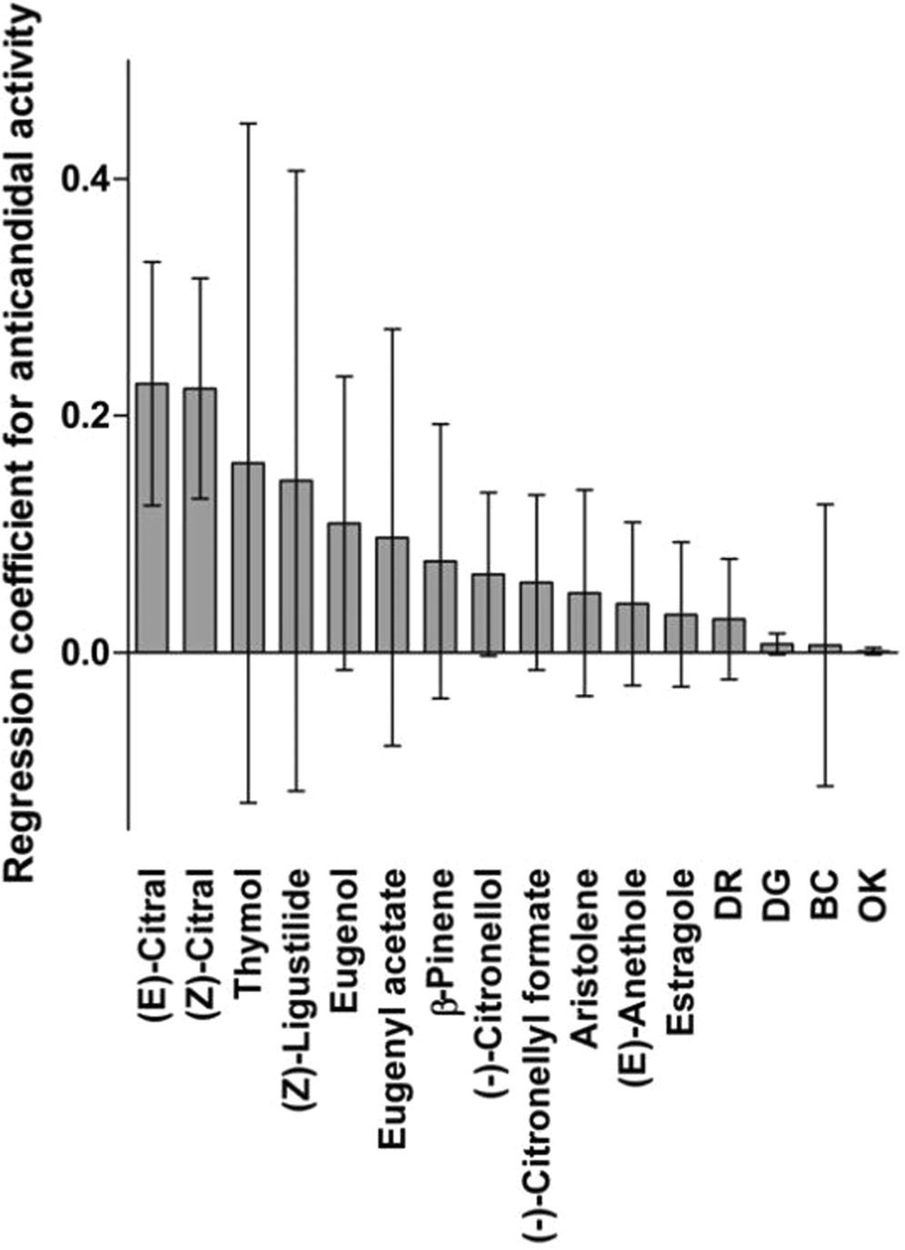
Figure 1

Coefficient-plot of the OPLS analysis limited to compounds accounting for more than 9% in at least one EO (60 metabolites). Only compounds with positive regression coefficient are reported.

Coefficient-plot of the OPLS analysis limited to compounds accounting for more than 9% in at least one EO (60 metabolites). Only compounds with positive regression coefficient are reported.