Abstract
Mankind is on the verge of a postantibiotic era. New concepts are needed in our battle to attenuate infectious diseases around the world and broad spectrum plant-inspired synergistic pharmaceutical preparations should find their place in the global fight against pathogenic microorganisms. To progress towards the discovery of potent antifungal agents against human pathologies, we embarked upon developing chemometric approach coupled with statistical design to unravel the origin of the anticandidal potential of a set of 66 essential oils (EOs). EOs were analyzed by GC-MS and tested against Candida albicans and C. parapsilosis (Minimal Inhibitory Concentration, MIC). An Orthogonal Partial Least Square (OPLS) analysis allowed us to identify six molecules presumably responsible for the anticandidal activity of the oils: (Z)-ligustilide, eugenol, eugenyl acetate, citral, thymol, and β-citronellol. These compounds were combined following a full factorial experimental design approach in order to optimize the anticandidal activity and selectivity index (SI = IC50(MRC5 cells)/MIC) through reconstituted mixtures. (Z)-Ligustilide and citral were the most active compounds, while (Z)-ligustilide and eugenol were the two main factors that most contributed to the increase of the SI. These two terpenes can, therefore, be used to construct bioinspired synergistic anticandidal mixtures.
Similar content being viewed by others
Introduction
Microbial pathogen chemoresistance has become a worrying worldwide phenomenon1,2 and the global mortality of patients suffering from microbial infections is increasing regularly. Resistance to azoles and cross-resistances to azoles and echinocandins are now emerging in medically relevant fungi3,4. In fact, it seems that pathogens may be more indomitable than imagined, and even the WHO, alongside several authors, is indicating that humanity is on the verge of a postantibiotic era5,6. Moreover, it is now demonstrated that antibiotic resistance is a natural and ancient phenomenon, even described in pristine environments without exposure to human antimicrobial agents. Inadequate use of antimicrobials may also promote the selection of pre-existing resistance elements7,8. Therefore, even the well-reasoned use of antibacterial and antifungal compounds may be insufficient to prevent the acquisition of resistance, and new concepts and techniques are necessary to manage microbial pathologies.
Meanwhile, it is common knowledge that synergism, or at least combination therapies, is indispensable in limiting the risk of development of chemoresistant pathogens. This fact as well as the underlying mechanisms is thoroughly explored to discover new treatment strategies9,10. In this perspective, we may have much to learn from studying the natural world, in particular synergies in plant defensive traits. Indeed, some examples highlight that chemical defense against biotic and abiotic stress may rely on synergy11,12,13, even if these phenomena do not lead to a general rule14. Interestingly, this concept may also be extended to the combination of exogenous chemicals from various plant sources used by animal species to defend themselves, a phenomenon defined as “acquired combinatorial chemical defense”15. Eventually, biomimetic synergistic systems may provide new solutions to combat human pathogens.
Plant volatile organic compounds serve as chemical answers to the pressure from predators and pathogens and in conspecific and mutualistic interactions. They act through various modes of action linked to the structural and functional diversity of their components12,16. Due to these characteristics, multifaceted and versatile mixtures can find numerous applications. Alone or in combination with clinical drugs the mixtures can exhibit remarkable activities against various pathogenic microorganisms17,18,19 and synergistic effects between their constituents have also been demonstrated20,21,22. They could, therefore, represent one solution to fight microbial resistance. More particularly, synergy is a composite concept, simultaneously uniting interactions between inactive molecules to create active mixtures and isolated active compounds leading to even more active associations, the second point being the focus of our research.
The current leading method to evaluate complex mixtures is metabolomics23. This field consists of the global analysis of small molecules characterizing a biological system, while traditional bioguided fractionation does not consider synergistic effects24. When associated with chemometrics, metabolomics will guide the identification given activity markers25,26. Maree et al.27 recently explored the correlation of antimicrobial activity and chemical composition of various essential oils by GC-MS and statistics (Orthogonal Partial Least Square Discriminant Analysis, OPLS-DA). Their work nominated eugenol as the most potent antibacterial compound in the dataset.
The next stage would consist in evaluating interactions between selected combinations of compounds, notably through the use of statistical design, which consists of systematically investigating the effect of independent variables on a studied response. This technique was used to evaluate the influence of extraction solvent28 or mixture composition29 on the antimicrobial activity of plant extracts. Interactions between the four major constituents of Thymus vulgaris essential oil were also studied using statistical models to evaluate their insecticidal activity, highlighting synergy between thymol and p-cymene in a binary mixture30.
Because our group previously highlighted that several EOs antimicrobial potential originated from synergy22,31, we embarked upon characterizing 66 EOs in order to better understand their antifungal activity and eventually propose optimized antifungal mixtures using a full factorial experimental design.
Results
Essential oils anticandidal activity and composition
The antimicrobial activities of 66 essential oils off commercial or laboratory origin were evaluated against C. albicans and two strains of C. parapsilosis. The results are provided in the Supporting Information (Table S1). Antimicrobial activity was represented through a score ranking the global antifungal activity (Antifungal Activity Score, AAS). The scores ranged from 0 to 12, with 13 EOs having antifungal scores ≥ 5 (Table 1). GC/MS analyses performed on all EOs allowed for the detection of 343 different compounds, distinguished by a compound code according to their retention time and mass spectra. Major compounds identified among the most active EOs are also listed in Table 1.
Identification of putative antifungal activity markers by OPLS
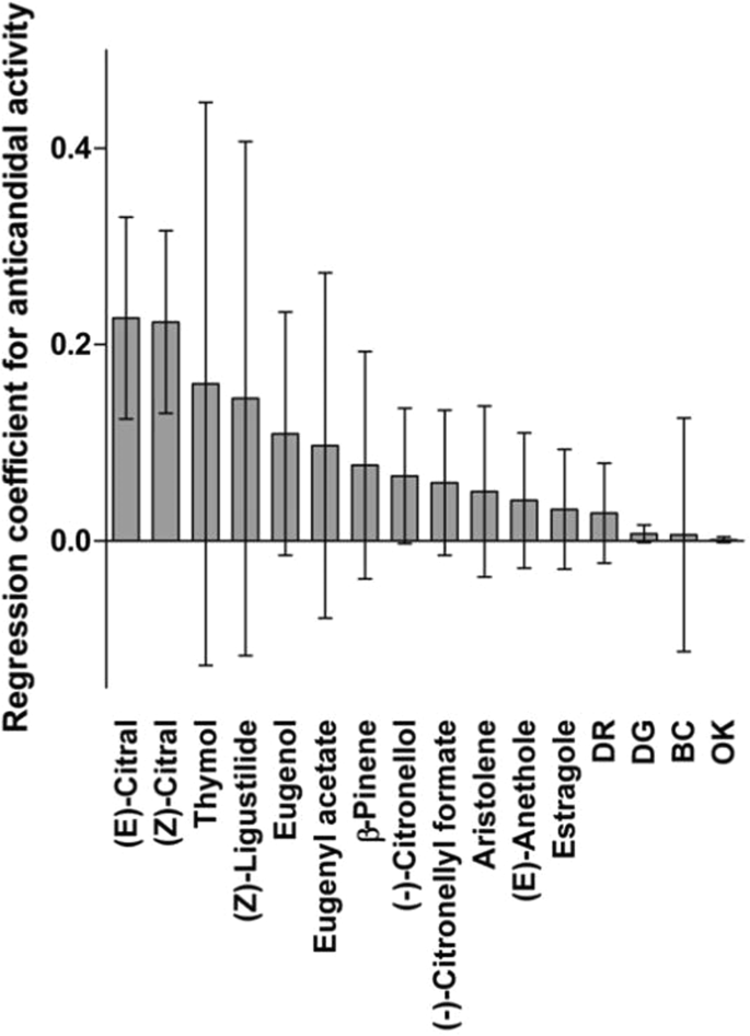
In a second step, the regression coefficients were calculated by an OPLS model for all compounds accounting for at least 9% in one EO (60 compounds), in relation to EOs anticandidal activity. The predictive accuracy of the model was characterized by a R2 value of 0.67 and a Q2 value of 0.34. The compounds that most contributed to the antifungal activity are represented in Fig. 1.
All putative markers were tested individually. Whereas β-pinene had a positive regression coefficient, this compound was not considered further because it was found to be inactive according to endpoint criteria proposed by Cos et al. and Gertsch et al.32,33, exhibiting a MIC > 64 µg/mL when concurrently tested as a pure compound. The positive coefficient of β-pinene in the OPLS model coefficient-plot evidently originated from its presence in a large relative proportion (6.7 and 14.9%) in moderately active Pimenta racemosa EOs (antifungal scores of 4–5), along with approximately 60% of eugenol. β-Pinene was also present in many inactive essential oils, although always in a proportion below 6%. Overall, this explains why its regression coefficient was positive, and why β-pinene was excluded from the list of active metabolites.
Eventually, the seven compounds identified as the most influential for this model were (E)-citral (Variable Importance for the Projection 3.12), (Z)-citral (VIP 3.11), thymol (VIP 0.96), (Z)-ligustilide (VIP 0.89), eugenol (VIP 1.57), eugenyl acetate (VIP 1.07), and (−)-citronellol (VIP 1.42). OPLS analysis highlighted several of the major compounds in active EOs, but also relatively rare compounds (present in only one active EO) such as thymol or (Z)-ligustilide. In contrast, other compounds such as α-pinene or limonene did not correlate to the EOs antifungal activity because they were also present in some of the inactive EOs. Whereas thymol and ligustilide had VIP values slightly lower than 1, they were selected for further analysis34,35. Their role as putative marker was confirmed by their interesting antifungal potential when tested individually. All selected compounds had AAS ranging from 3 (eugenol) to 9 ((Z)-ligustilide).
Combination effects of compound mixtures on anticandidal activity
Citral was commercially available as a mixture of (Z) and (E) isomers. Since the contribution of both isomers seemed identical, the mixture of (Z) and (E)-citral was used for the rest of the work under the name citral. The effect of the six putative antifungal markers citral (Ci), thymol (Th), (Z)-ligustilide (Li), eugenol (Eu), eugenyl acetate (EA), and (−)-citronellol (–C) alone or in combination with the others was measured using a full factorial design of experiment (DOE). A fractional DOE appeared inappropriate as it was difficult to omit a priori one interaction effect or the other while a full factorial designed required only 128 experiments (64 in duplicate).
The effect of factors and interaction plots for the antifungal activity calculated from the DOE are presented in Fig. 2. (Z)-ligustilide is the strongest antimicrobial compound (p < 0.0001). Among the 64 combinations tested, for which the antifungal scores ranged from 0 (control) to 11 (Li:Eu 50:50), all the mixtures containing ligustilide exhibited antifungal scores ≥7, with an average antifungal score of 8.1, whereas the mixtures that did not contain (Z)-ligustilide exhibited an average antifungal score of 5.6. Citral also exhibited a significant antifungal effect (p 0.013). Moreover, the full interaction plot indicates that a slight positive interaction effect exists between citral and (Z)-ligustilide (average antifungal score of 8.2), thus demonstrating a synergistic effect of these two compounds.
(A) Main effect plot for Antimicrobial Activity Score (AAS, ordinates). Li: (Z)-Ligustilide; Eu: Eugenol; Ci: Citral; Th: Thymol; EA: Eugenyl acetate; -C: (−)-Citronellol. Abscissa = –1: average AAS for mixtures that do not contain the compound; Abscissa = 1: average AAS for mixtures containing the compound. (B) Interaction plot for Antimicrobial Activity Score. Abscissa = –1: the two dots represent the average AAS for mixtures that contain the cited compound and do not contain the other; Abscissa = 1: average AAS for mixtures that contain both compounds. In this representation, two positive slopes indicate synergism, and two negative slopes denote antagonism. Otherwise, the effects are additive.
Combination effects of compounds mixtures on selectivity index
The impact of combinations on the selectivity index, here defined as the average IC50(MRC5 cells)/MIC ratio, was evaluated following the same full factorial experimental design. The effect of factors and interaction plots for antifungal activity are presented in Fig. 3. The two compounds with a significantly positive effect on the selectivity index are (Z)-ligustilide (p < 0.0001) and eugenol (p 0.021). Citral demonstrated no effect, and the other three molecules showed a somewhat negative effect, although it was not statistically significant. (Z)-Ligustilide-containing mixtures exhibit an average SI of 0.21 whereas this value is 0.13 in the absence of the compound. The effect is less obvious for eugenol, with an average SI of 0.18 in the presence of the compound, and 0.16 in its absence. The full interaction plot clearly shows a strong positive effect between (Z)-ligustilide and eugenol with an average SI of 0.24 for these two compounds in association. Overall, if the presence of eugenol exerts almost no effect on the antifungal potential of (Z)-ligustilide, then combinations of these two compounds offer the advantage of decreasing (Z)-ligustilide cytotoxicity. On the other hand, (Z)-ligustilide/citral combinations, which demonstrated intriguing antimicrobial activity, showed no improved selectivity when compared to (Z)-ligustilide alone (average SI of 0.21).
(A) Main effect plot for selectivity index (SI, ordinates). Li: (Z)-Ligustilide; Eu: Eugenol; Ci: Citral; Th: Thymol; EA: Eugenyl acetate; -C: (−)-Citronellol. Abscissa = −1: average SI for mixtures that do not contain the compound; Abscissa = 1: average SI for mixtures containing the compound. (B) Interaction plot for selectivity index. Abscissa = −1: the two dots represent the average SI for mixtures that contain the cited compound and do not contain the other; Abscissa = 1: average SI for mixtures that contain both compounds. In this representation, two positive slopes indicate synergism, and two negative slopes denote antagonism. Otherwise, the effects are additive.
Discussion
Our goal in this study was to propose an optimized antifungal mixture inspired by plant defensive cocktails. The approach was based on (1) an OPLS analysis followed by (2) a full factorial design taking into account not only the bioactivity of putative antifungal metabolites, but also the interaction effects between these molecules and their potential cellular toxicity.
The first step consisted in the evaluation of the antimicrobial activities of 66 essential oils against C. albicans and C. parapsilosis and chemical analysis of EOs composition using GC/MS. (Z)- and (E)-citral were the major compounds in 6 out of the 13 most active EOs, with total citral proportion ranging from 47.2 to 96.4%. Interestingly, it was recently suggested that large amounts of citral could be responsible for lemon essential oils antifungal effect against C. glabrata36. Eugenol was the major compound of two EOs (S. aromaticum and P. racemosa) whereas thymol, (Z)-ligustilide, limonene, α-pinene and (−)-citronellol were only identified as major compounds of one of the 13 most active EOs (Thymus vulgaris var1, Levisticum officinale, Protium heptaphyllum, Sphagneticola trilobata, and Pelargonium graveolens var2). Many of these compounds are described in the literature for anticandidal27,37,38 or other antifungal39,40 activities.
OPLS analysis allowed for the identification of seven terpenes influential for this model: (Z)- and (E)-citral, thymol, (Z)-ligustilide, eugenol, eugenyl acetate, and (−)-citronellol. Although OPLS analysis did indicate compounds present in high amounts in numerous strongly active EOs such as citral (Z/E mixture) and eugenol, it also determined additional metabolites such as (−)-citronellol. Moreover, limonene and α-pinene, which were present in very high proportion (90.0 and 77.1%) in active EOs did not exhibit positive regression coefficients because they were also occurring in inactive oils. For example α-pinene was present in variable proportions (from 9 to 55%) of different inactive EOs from the dataset (including Cinnamomum camphora, Cupressus sempervirens, Eucalyptus globulus or Mikania micrantha) besides S. trilobata EO. Limonene was present in proportion ranging from 40 to 96% in Citrus EOs, or from 43 to 60% in Licaria canella EOs. These results are in accordance with literature data36 and with our experimental data, in which limonene and α-pinene tested concurrently were considered inactive pure compounds41. Interestingly, Maree et al. also identified eugenol as a marker contributing to the antibacterial and anticandidal activity of their selected oils27 whereas limonene and α-pinene correlated with samples with poor antimicrobial activity. The statistical tool also discovered thymol and (Z)-ligustilide as putative antifungal activity markers, despite the fact that these compounds were only present in one (ligustilide) or two (thymol) of the 66 EOs. These results reinforce the interest of using chemometric approaches to search for active metabolites in complex mixtures.
The second step was devised to understand the interactions between terpenes on a larger scale, rather than focusing on their individual bioactivity and mechanism of action, and eventually design optimal antifungal mixtures. Such an approach may lead to the development of novel effective antimicrobial agents based on the construction of artificial bioinspired blends. The possibilities of using reconstructed EOs, synergistic combinations of terpenes or synergistic combinations of EOs with antifungal drugs have been explored in the literature22,31,41,42,43,44. While synergy has been found in some cases, our group also found antagonistic effects between terpenes, and noted that the antimicrobial potentials were simply additive in many cases.
With this experimental design approach, it was possible to pinpoint the most active compounds and evaluate synergies and antagonisms altogether. (Z)-ligustilide was the strongest antifungal alone and in combination with other terpenes. Our results reinforce the interest in studying this compound in combination with other terpenes to complement existing studies concerning mixtures of (Z)-ligustilide and azoles39,45, in particular to decrease toxicity rather than attempting to improve antifungal potential. Additionally, a synergistic effect was demonstrated between citral and (Z)-ligustilide in combination. Citral was recently reviewed for its effects in laboratory conditions against Candida spp., including fluconazole-resistant isolates37, and its mechanism of action was investigated46. Citral was shown to inhibit C. albicans growth by affecting membrane integrity and arrest of cell cycle.
However, as for (Z)-ligustilide, citral toxicity should be considered in order to better evaluate its potential as antifungal agent. This was exemplified in a recent study considering the genotoxicity of EOs alongside antifungal activity47. If (Z)-ligustilide and citral were the most active compounds, (Z)-ligustilide and eugenol were the two main factors that most contributed to the increase of the SI. A positive interaction effect was recorded between these two compounds. Eugenol was less active, but decreased (Z)-ligustilide toxicity without attenuating its antimicrobial activity. These results underscore a potential protective effect of eugenol which will be investigated further with other antifungal compounds, including commercially available drugs.
In conclusion, this work was originally designed as a model study to evaluate the utilization of statistical design for the discovery of innovative antimicrobial natural products and their respective mixtures. To our knowledge, this is the first time that chemometrics and statistical design were associated in a single study to perform a full investigation of putative antimicrobial markers. We highlighted that mixtures of (Z)-ligustilide and eugenol could represent a promising starting point for the development of antifungal agents, mostly for topical application. Combinations of these two substances in various ratios should be studied, and it will be enlightening to evaluate the interaction effects of either or both (Z)-ligustilide and eugenol with antifungal drugs.
Methods
Essential oils
Forty-seven commercially available essential oils were obtained from Aroma-zone (www.aroma-zone.com). Nineteen essential oils were obtained from plants collected and distilled in French Guiana. These plants are not protected and could be collected without restriction at the concerned locations. Collection authorizations were unnecessary at the time of the collection (2006–2007). Plants were collected by Pierre Silland, except for V. americana wood, obtained from forest exploitation wastes and collected by Alice Rodrigues. Herbarium vouchers were deposited in the French Guiana Herbarium (CAY), where specialists confirmed botanical identification. All collection data are available at: http://publish.plantnet-project.org/project/caypub. The botanical identification of the 66 EOs is available in the supplementary information (Table S1). All names used are accepted botanical names according to botanical databases (www.theplantlist.org; http://www.tropicos.org). The fresh parts collected from each plant were hydrodistilled. All EOs were stored at −18 °C in the absence of light until the subsequent analyses were performed.
GC-MS analyses
A Shimadzu GC-MSQP2010 fitted with a AOC-20i injector and FID and MS detectors (Shimadzu, Tokyo, Japan) was used for the GC-MS analysis. The GC was run with a nonpolar Supelco MDN-5S fused silica capillary column (30 m × 0.25 mm ID, 0.25 µm film thickness) commonly used for the analysis of VOCs. The injection volume (EO dissolved in chromatography grade hexane) was 1 μL. Helium was used as the carrier gas at a constant flow of 1 mL/min. The column temperature was set at 50 °C for 30 s, then increased from 50–150 °C at 4 °C/min, from 150–175 °C at 1.5 °C/min and from 175–300 °C at 20 °C/min for a total analysis time of 58.42 min. The injector temperature was set to 250 °C and the injection was accomplished with a split ratio of 1/50 throughout the entire run. The MS was operated in the electron impact mode at 70 eV, with a scan range of 40–400 m/z. The temperatures were set to 200 °C for the ion trap, 50 °C for the manifold and 305 °C for the transfer line.
A Varian 450-GC fitted with an MS240 iontrap MS and a Combipal autosampler (Varian Instruments, Sunnyvale, CA, USA) and run with a nonpolar Varian FactorFour VF-5ms column (30 m × 0.25 mm ID, 0.25 μm film) commonly used for the analysis of VOCs was used under the same conditions to assist in compound identification.
Fungal strains
Bioassays were performed on two clinical isolates of Candida sp. (Candida albicans LMGO103 and Candida parapsilosis LMGO06; Federal University of Goiás Hospital, Brazil), alongside the reference strain Candida parapsilosis ATCC22020. Strains were maintained on potato dextrose agar and cultured onto an appropriate new agar plate at 28 °C for 2 days prior to any antimicrobial test.
Minimal inhibitory concentration (MIC)
The standard microdilution test was used to determine the MIC of the EOs. The experimental details were similar to those described previously31 except for yeast suspensions, which were adjusted to 0.5 McFarland standard and then diluted 1:1000 (v/v) with RPMI 1640 medium according to the Clinical and Laboratory Standards Institute48. EOs were tested at concentrations ranging from 512 to 1 µg/mL and pure compounds were tested from 64 to 0.125 µg/mL. All assays were conducted in triplicate.
To allow for direct regression of analytical data as a function of antifungal potential, a score representing the global antifungal activity was attributed to each EO. A MIC greater than 512 μg/mL received a 0, a MIC of 512 μg/mL received a 1, a MIC of 256 μg/mL received a 2 and each subsequent reduction in MIC by a factor of 2 increased the number of the score by 1.
Data pretreatment and chemometric analysis (OPLS model)
The GC/MS profiles recorded on the Shimadzu system were integrated automatically with a slope set to 15,000 and a width of 0.1. The peak corresponding to the solvent stabilizer (di-tert-butyl-2,6-para-cresol, RT = 25.97 min) was removed manually in each analysis. All integrations were checked manually, and some were split, removed or added as necessary. Integrations are reported as a % total integration. All integration tables were gathered in an Excel sheet. The lines were organized by RT. The uncertainty on the RT was estimated at ±0.07 min based on the RT recorded for the solvent stabilizer. A compound code and a putative identification were attributed to each peak. When mass spectra recorded on both systems were considered identical, and when the peaks were not separated by more than 0.15 min, then the same code was assigned to peaks from different EOs. Putative identifications were as described below.
The data were then converted in a pivot table, with compound codes as lines and EOs as columns. The table contained 343 compounds from 66 EOs. Each box contained the relative integration of the compound in each corresponding EO. To reduce the number of variables, the compounds that did not account for at least 9% of one EO were removed. Sixty compounds remained. An orthogonal partial least square analysis (OPLS) was performed with Umetrics Simca 15. X-variables were the compound relative proportions in each EO, and the Y-variable was the note of antifungal activity recorded for each EO. One orthogonal component was sufficient to capture most of the inertia of the model. R2Y (cum) was 67%, R2X (cum) 4%, and Q2 (cum) 34%. The permutations plot provided in supporting information (Fig. S1) suggests that the model is valid. The regression coefficients for variables with positive coefficients are reported in Fig. 1. A full data table is provided in the Supporting Information (Table S2). Due to controversies over SIMCA permutation plots49 the model was concurrently assessed using R ropls package (https://www.bioconductor.org/packages/devel/bioc/vignettes/ropls/inst/doc/ropls-vignette.html). In this analysis R2Y(cum) was 79%, R2X(cum) 10%, and Q2(cum) 33%. This permutations plot is provided in supporting information (Fig. S2) alongside with inertia barplot, observation diagnostics of the model and scores plot. Loadings plot obtained using Umetrics Simca 15 is presented as Fig. S3.
Identification of the putatively active compounds
The 12 most active compounds as defined by OPLS analysis were identified by (i) GC retention indices (RI), (ii) computer matching with commercial mass spectral libraries (NIST 98 MS, ADAMS)50, (iii) comparisons of RI and spectra with those from previous work31,51 and an in-house library of analyses of commercial EOs of known composition (Aroma-Zone), and (iv) confirmation by comparison with identifications provided in the literature.
Design of experiment
A full factorial experimental design including the six putative antifungal markers citral (Ci), thymol (Th), (Z)-ligustilide (Li), eugenol (Eu), eugenyl acetate (EA), and (−)-citronellol (–C) was constructed with Minitab 16 and XLStat 2014. All 64 possible combinations were randomly tested (order defined by the software) in duplicate against Candida spp. for antifungal activity, and MRC5 cells for cytotoxicity. All compounds were distributed equally in the tested mixtures. All combinations were tested at concentrations ranging from 512 to 1 µg/mL such as performed for crude EOs.
The effect of factors and interaction plots are displayed in Figs 2 and 3 for antifungal activity and antifungal selectivity, respectively. The plots were obtained using Minitab 16 data and drawn with Graphpad Prism 5 software. A full data table is provided in Supporting Information (Table S3).
For antifungal activity, R2 was 57%, R2 (adj) 53%, and R2 (pred) 54%. The analysis of variance of the model was a follows in Table 2.
For antifungal selectivity, R2 was 46%, R2(adj) 40%, and R2(pred) 41%. The analysis of variance of the model was a follows in Table 3.
Cytotoxicity assays
Cytotoxicity assays were conducted with MRC5 (normal lung tissue of a 14-week-old male fetus) cell lines using the procedure described by Tempête et al.52; docetaxel was used as positive control.
Data Availability
All data generated or analyzed during this study are included in this published article (and its Supporting Information files).
References
Woodhouse, M. & Farrar, J. Policy: an intergovernmental panel on antimicrobial resistance. Nature 509, 555–557, https://doi.org/10.1038/509555a (2014).
Reardon, S. Antibiotic resistance sweeping developing world. Nature 509, 141–142, https://doi.org/10.1038/509141a (2014).
Shor, E. & Perlin, D. S. Coping with stress and the emergence of multidrug resistance in fungi. PLoS Pathog 11, e1004668, https://doi.org/10.1371/journal.ppat.1004668 (2015).
Paiva, J. A. Adding risk factors for potentially resistant pathogens, increasing antibiotic pressure and risk creating the ‘untreatable bacteria’: time to change direction. Intensive Care Med 39, 779–781, https://doi.org/10.1007/s00134-012-2811-x (2013).
Kåhrström, C. T. Entering a post-antibiotic era? Nat. Rev. Microbiol. 11, 146, https://doi.org/10.1038/nrmicro2983 (2013).
World Health Organization Antimicrobial Resistance: Global Report on Surveillance 2014 (WHO, 2014).
D’Costa, V. M. et al. Antibiotic resistance is ancient. Nature 477, 457–461, https://doi.org/10.1038/nature10388 (2011).
Bhullar, K. et al. Antibiotic resistance is prevalent in an isolated cave microbiome. PLoS One 7, e34953, https://doi.org/10.1371/journal.pone.0034953 (2012).
Bollenbach, T. Antimicrobial interactions: mechanisms and implications for drug discovery and resistance evolution. Curr. Opin. Microbiol. 27, 1–9, https://doi.org/10.1016/j.mib.2015.05.008 (2015).
Worthington, R. J. & Melander, C. Combination approaches to combat multi-drug resistant bacteria. Trends Biotechnol. 31, 177–184, https://doi.org/10.1016/j.tibtech.2012.12.006 (2013).
Brunetti, C., Guidi, L., Sebastiani, F. & Tattini, M. Isoprenoids and phenylpropanoids are key components of the antioxidant defense system of plants facing severe excess light stress. Environ. Exp. Bot. 119, 54–62, https://doi.org/10.1016/j.envexpbot.2015.04.007 (2015).
Gershenzon, J. & Dudareva, N. The function of terpene natural products in the natural world. Nat. Chem. Biol. 3, 408–414, https://doi.org/10.1038/nchembio.2007.5 (2007).
Richards, L. A. et al. Phytochemical diversity and synergistic effects on herbivores. Phytochem. Rev. 15, 1153–1166, https://doi.org/10.1007/s11101-016-9479-8 (2016).
Jones, A. C., Blum, J. E. & Pawlik, J. R. Testing for defensive synergy in Caribbean sponges: bad taste or glass spicules? J. Exp. Mar. Biol. Ecol. 322, 67–81, https://doi.org/10.1016/j.jembe.2005.02.009 (2005).
Mason, P. A. & Singer, M. S. Defensive mixology: combining acquired chemicals towards defence. Funct. Ecol. 29, 441–450, https://doi.org/10.1111/1365-2435.12380 (2015).
Unsicker, S. B., Kunert, G. & Gershenzon, J. Protective perfumes: the role of vegetative volatiles in plant defense against herbivores. Curr. Opin. Plant Biol. 12, 479–485, https://doi.org/10.1016/j.pbi.2009.04.001 (2009).
Baby, S. & George, V. Essential oils and new antimicrobial strategies in New strategies combating bacterial infection (ed. Ahmad, I. & Aqil, F.) 165–203 (Wiley, 2009).
Lopes, G., Pinto, E. & Salgueiro, L. Natural products: an alternative to conventional therapy for dermatophytosis? Mycopathologia 182, 143–167, https://doi.org/10.1007/s11046-016-0081-9 (2017).
Yap, P. S. X., Yiap, B. C., Ping, H. C. & Lim, S. H. E. Essential oils, a new horizon in combating bacterial antibiotic resistance. Open Microbiol. J. 8, 6–14, https://doi.org/10.2174/1874285801408010006 (2014).
Tian, J. et al. The mechanism of antifungal action of essential oil from dill (Anethum graveolens L.) on Aspergillus flavus. PLoS One 7, e30147, https://doi.org/10.1371/journal.pone.0030147 (2012).
Tserennadmid, R. et al. Anti-yeast activities of some essential oils in growth medium, fruit juices and milk. Int. J. Food Microbiol. 114, 480–486, https://doi.org/10.1016/j.ijfoodmicro.2010.11.004 (2011).
Khoury, M. et al. Chemical composition and antimicrobial activity of the essential oil of Juniperus excelsa M. Bieb. growing wild in Lebanon. Chem. Biodivers. 11, 825–830, https://doi.org/10.1002/cbdv.201300354 (2014).
Fairlamb, A. H., Gow, N. A. R., Matthews, K. R. & Waters, A. P. Drug resistance in eukaryotic microorganisms. Nat. Microbiol. 1, 16092, https://doi.org/10.1038/nmicrobiol.2016.92 (2016).
Harvey, A. L., Edrada-Ebel, R. & Quinn, R. J. The re-emergence of natural products for drug discovery in the genomics era. Nat. Rev. Drug Discov. 14, 111–129, https://doi.org/10.1038/nrd4510 (2015).
Ali, K. et al. NMR spectroscopy and chemometrics as a tool for anti-TNFα activity screening in crude extracts of grapes and other berries. Metabolomics 8, 1148–1161, https://doi.org/10.1007/s11306-012-0406-8 (2012).
Rolli, E., Marieschi, M., Maietti, S., Sacchetti, G. & Bruni, R. Comparative phytotoxicity of 25 essential oils on pre- and post-emergence development of Solanum lycopersicum L.: A multivariate approach. Ind. Crops Prod. 60, 280–290, https://doi.org/10.1016/j.indcrop.2014.06.021 (2014).
Maree, J., Kamatou, G., Gibbons, S., Viljoen, A. & Van Vuuren, S. The application of GC-MS combined with chemometrics for the identification of antimicrobial compounds from selected commercial essential oils. Chemometr. Intell. Lab. Syst. 130, 172–181, https://doi.org/10.1016/j.chemolab.2013.11.004 (2014).
Blainski, A. et al. Antibacterial activity of Limonium brasiliense (Baicuru) against multidrug-resistant bacteria using a statistical mixture design. J. Ethnopharmacol. 198, 313–323, https://doi.org/10.1016/j.jep.2017.01.013 (2017).
Butassi, E. et al. Synergistic mutual potentiation of antifungal activity of Zuccagnia punctata Cav. and Larrea nitida Cav. extracts in clinical isolates of Candida albicans and Candida glabrata. Phytomedicine 22, 666–678, https://doi.org/10.1016/j.phymed.2015.04.004 (2015).
Tak, J. H. & Isman, M. B. Enhanced cuticular penetration as the mechanism of synergy for the major constituents of thyme essential oil in the cabbage looper, Trichoplusia ni. Ind. Crops Prod. 101, 29–35, https://doi.org/10.1016/j.indcrop.2017.03.003 (2017).
Houël, E. et al. In vitro antidermatophytic activity of Otacanthus azureus (Linden) Ronse essential oil alone and in combination with azoles. J. Appl. Microbiol. 116, 288–294, https://doi.org/10.1111/jam.12377 (2014).
Cos, P., Vlietinck, A. J., Berghe, D. V. & Maes, L. Anti-infective potential of natural products: How to develop a stronger in vitro “proof-of-concept”. J. Ethnopharmacol. 106, 290–302, https://doi.org/10.1016/j.jep.2006.04.003 (2006).
Gertsch, J. How scientific is the science in ethnopharmacology? Historical perspectives and epistemological problems. J. Ethnopharmacol. 122, 177–183, https://doi.org/10.1016/j.jep.2009.01.010 (2009).
Shang, X., Zhong, X. & Tian, X. Metabolomics of papillary thyroid carcinoma tissues. Potential biomarkers for diagnosis and promising targets for therapy. Tumor Biol. 37, 11163–11175, https://doi.org/10.1007/s13277-016-4996-z (2016).
Wheelock, A. M. & Wheelock, C. E. Trials and tribulations of ‘omics data analysis: assessing quality of SIMCA-based multivariate models using examples from pulmonary medicine. Mol. Biosyst. 9, 2589–2596, https://doi.org/10.1039/c3mb70194h (2013).
Białoń, M., Krzyśko-Łupicka, T., Koszałkowska, M. & Wieczorek, P. P. The influence of chemical composition of commercial lemon essential oils on the growth of Candida strains. Mycopathologia 177, 29–39, https://doi.org/10.1007/s11046-013-9723-3 (2014).
Lu, M., Li, T., Wan, J., Li, X. & Sun, S. Antifungal effects of phytocompounds on Candida species alone and in combination with fluconazole. Int. J. Antimicrob. Agents 49, 125–136, https://doi.org/10.1016/j.ijantimicag.2016.10.021 (2017).
Musthafa, K. S., Hmoteh, J., Thamjarungwong, B. & Voravuthikunchai, S. P. Antifungal potential of eugenyl acetate against clinical isolates of Candida species. Microb. Pathog. 99, 19–29, https://doi.org/10.1016/j.micpath.2016.07.012 (2016).
Sim, Y. & Shim, S. Combinatorial anti-Trichophyton effects of Ligusticum chuanxiong essential oil components with antibiotics. Arch. Pharm. Res. 31, 497–502, https://doi.org/10.1007/s12272-001-1184-7 (2008).
Pannek, J., Gach, J., Boratynski, F. & Olejniczak, T. Antimicrobial activity of extracts and phthalides occurring in Apiaceae plants. Phytother. Res. 32, 1459–1487, https://doi.org/10.1002/ptr.6098 (2018).
Houël, E. et al. Therapeutic switching: from antidermatophytic essential oils to new leishmanicidal products. Mem. Inst. Oswaldo Cruz 110, 106–113, https://doi.org/10.1590/0074-0276014033 (2015).
Fahed, L. et al. Essential oils composition and antimicrobial activity of six conifers harvested in Lebanon. Chem. Biodivers. 14, e1600235, https://doi.org/10.1002/cbdv.201600235 (2017).
Mulyaningsih, S., Sporer, F., Zimmermann, S., Reichling, J. & Wink, M. Synergistic properties of the terpenoids aromadendrene and 1,8-cineole from the essential oil of Eucalyptus globulus against antibiotic-susceptible and antibiotic-resistant pathogens. Phytomedicine 17, 1061–1066, https://doi.org/10.1016/j.phymed.2010.06.018 (2010).
Van Vuuren, S. F. & Viljoen, A. M. Antimicrobial activity of limonene enantiomers and 1,8-cineole alone and in combination. Flavour Fragr. J. 22, 540–544, https://doi.org/10.1002/ffj.1843 (2007).
Sim, Y. & Shin, S. Anti-Aspergillus activities of the Ligusticum chuanxiong essential oil alone and in combination with antibiotics. Nat. Prod. Sci. 16, 175–179 (2010).
Zore, G. B., Thakre, A. D., Jadhav, S. & Karuppayil, S. M. Terpenoids inhibit Candida albicans growth by affecting membrane integrity and arrest of cell cycle. Phytomedicine 18, 1181–1190, https://doi.org/10.1016/j.phymed.2011.03.008 (2011).
Ruiz-Pérez, N. J. et al. Antimycotic activity and genotoxic evaluation of Citrus sinensis and Citrus latifolia essential oils. Sci. Rep. 6, 25371, https://doi.org/10.1038/srep25371 (2016).
CLSI (Clinical and Laboratory Standards Institute). Reference method for broth dilution antifungal susceptibility testing of yeasts; Approved Standard, 2nd edn. Document M27-A3 (2008).
Triba, M. N. et al. PLS/OPLS models in metabolomics: the impact of permutation of dataset rows on the K-fold cross-validation quality parameters. Mol. BioSyst. 11, 13–19, https://doi.org/10.1039/C4MB00414K (2015).
Adams, R.P. In Identification of essential oil components by gas chromatography/mass spectrometry, 4th ed. (Allured Publishing Corporation, 2007).
Courtois, E. A. et al. Diversity of the volatile organic compounds emitted by 55 species of tropical trees: a survey in French Guiana. J. Chem. Ecol. 35, 1949–1962, https://doi.org/10.1007/s10886-009-9718-1 (2009).
Tempête, C., Werner, G., Favre, F., Roja, A. & Langlois, N. In vitro cytostatic activity of 9-demethoxyporothramcyn B. Eur. J. Med. Chem. 30, 647–650 (1995).
Acknowledgements
This work benefited from the support of “Investissements d’avenir” of the French National Agency for Research (Labex CEBA, ref. ANR-10-LABX-25-01). The authors thank Pierre Silland, Mehdi Khodjet El Khil and Caroline Makerri for technical support, and Dr Maria do Rosario Silva (Federal University of Goiás Hospital, Brazil) and Laila Salmen Espindola (University of Brasília) for providing the strains.
Author information
Authors and Affiliations
Contributions
D.S., V.E., G.O. and E.H. designed the study. A.M.S.R. and V.E. performed DOE anticandidal activity and cytotoxicity bioassays. D.S. and V.E. performed GC-MS analyses. D.S., E.H. and G.O. performed statistical analyses. D.S. prepared Figure 1–3, and E.H. prepared tables and supplementary data tables. D.S. and E.H. drafted the manuscript. N.A. and G.O. revised the manuscript and offered critical inputs. All authors read the final manuscript and agreed to its submission.
Corresponding authors
Ethics declarations
Competing Interests
The authors declare no competing interests.
Additional information
Publisher’s note: Springer Nature remains neutral with regard to jurisdictional claims in published maps and institutional affiliations.
Supplementary information
Rights and permissions
Open Access This article is licensed under a Creative Commons Attribution 4.0 International License, which permits use, sharing, adaptation, distribution and reproduction in any medium or format, as long as you give appropriate credit to the original author(s) and the source, provide a link to the Creative Commons license, and indicate if changes were made. The images or other third party material in this article are included in the article’s Creative Commons license, unless indicated otherwise in a credit line to the material. If material is not included in the article’s Creative Commons license and your intended use is not permitted by statutory regulation or exceeds the permitted use, you will need to obtain permission directly from the copyright holder. To view a copy of this license, visit http://creativecommons.org/licenses/by/4.0/.
About this article
Cite this article
Rodrigues, A.M.S., Eparvier, V., Odonne, G. et al. The antifungal potential of (Z)-ligustilide and the protective effect of eugenol demonstrated by a chemometric approach. Sci Rep 9, 8729 (2019). https://doi.org/10.1038/s41598-019-45222-y
Received:
Accepted:
Published:
Version of record:
DOI: https://doi.org/10.1038/s41598-019-45222-y





