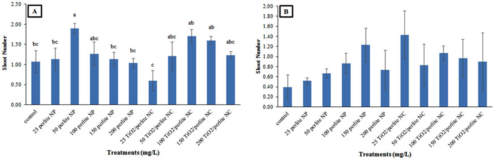
Figure 10

The effect of perlite NPs and TiO2/perlite NCs on shoot number of the calli obtained from in vitro grown (A) and field grown (B) plants. Different letters indicate significant differences at p ≤ 0.05. The error bars represent standard error of the mean. Figure 10B shows statistically non-significant results (p > 0.05).