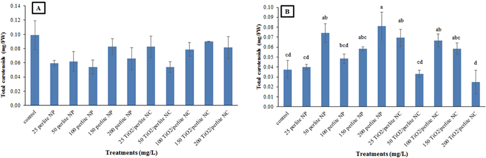
Figure 12

The effect of perlite NPs and TiO2/perlite NCs on the total carotenoids (Cx + c) contents of calli obtained from in vitro grown (A) and field grown (B) plants. Different letters indicate significant differences at p ≤ 0.05. The error bars represent standard error of the mean. Figure 12A shows statistically non-significant results (p > 0.05).