Abstract
Shewanella oneidensis MR-1 is quickly becoming a synthetic biology workhorse for bioelectrochemical technologies due to a high level of understanding of its interaction with electrodes. Transmembrane electron transfer via the Mtr pathway has been well characterized, however, the role of NADH dehydrogenases in feeding electrons to Mtr has been only minimally studied in S. oneidensis MR-1. Four NADH dehydrogenases are encoded in the genome, suggesting significant metabolic flexibility in oxidizing NADH under a variety of conditions. A strain lacking the two dehydrogenases essential for aerobic growth exhibited a severe growth defect with an anode (+0.4 VSHE) or Fe(III)-NTA as the terminal electron acceptor. Our study reveals that the same NADH dehydrogenase complexes are utilized under oxic conditions or with a high potential anode. Our study also supports the previously indicated importance of pyruvate dehydrogenase activity in producing NADH during anerobic lactate metabolism. Understanding the role of NADH in extracellular electron transfer may help improve biosensors and give insight into other applications for bioelectrochemical systems.
Similar content being viewed by others
Introduction
Bioelectrochemical systems (BESs) interface electrochemically active bacteria with electrodes for biotechnological applications including biosensing and electricity production1,2. Shewanella oneidensis MR-1 is a γ-proteobacterium that has been used as a pure-culture model organism to study the biochemical underpinnings of microbe-electrode interaction in BESs. Detailed understanding of the Mtr electron transfer pathway in S. oneidensis MR-1 has enabled development of new bioelectrochemical technologies, such as genetically-encoded biosensors3,4 and strains with increased current production capability2,5. Continued development of synthetic biology tools for electrochemically active bacteria, combined with increased knowledge of the molecular basis of extracellular electron transfer can increase functionality of bioelectrochemical technologies2,6.
The extracellular electron transfer capability of S. oneidensis MR-1 is dependent on the Mtr pathway7, which is a porin-cytochrome complex (Fig. 1)8. Porin-cytochrome complexes create transmembrane electron conduits that facilitate extracellular electron transfer9. Once electrons reach the outer surface of the cell, multiple mechanisms are used to transfer electrons to solid terminal electron acceptors. The major mode of electron transfer in S. oneidensis relies on flavins as diffusible shuttles or bound cofactors to enhance electron transfer between an outer membrane cytochrome, MtrC, and solid minerals or electrodes7,10,11. Flavins do not need to be added exogenously to enhance electron transfer rates because S. oneidensis MR-1 naturally secretes flavins in up to µM concentrations7,12. MtrC can also transfer electrons directly to solid electron acceptors, although at a lower rate than flavin-based mechanisms10,12.
Metabolism of NAG and pyruvate and resulting electron transfer mechanisms within Shewanella oneidensis MR-1.
Electrons transported through the Mtr pathway are derived from upstream organic carbon metabolism and enter the inner membrane quinone pool via quinone-linked dehydrogenases, such as lactate dehydrogenase, or NAD+-linked dehydrogenases coupled with NADH dehydrogenases (Fig. 1). Hunt et al.13 proposed that anaerobic lactate oxidation by S. oneidensis MR-1 utilizes only quinone-linked dehydrogenases to bring electrons into the quinone pool, making NADH dehydrogenases theoretically unnecessary under these conditions. This model rests on the assumptions that pyruvate is processed only by pyruvate-formate lyase (Pfl) under anoxic conditions and that all acetyl-coA is converted to acetate and excreted. However, Hirose et al.14 recently demonstrated that the NAD+-linked pyruvate dehydrogenase (Pdh) is activated under anoxic conditions with a high potential electron acceptor, and NADH dehydrogenase activity is necessary under such conditions. Beyond the importance of NADH dehydrogenases in anaerobic lactate metabolism, S. oneidensis also uses other substrates that must be oxidized by NAD+-linked dehydrogenases, such as N-acetylglucosamine (NAG). NAG is a carbohydrate that is metabolized via the Entner-Doudoroff glycolysis pathway15 in S. oneidensis MR-1, resulting in production of NADH as an electron carrier.
Although Hirose et al.14, demonstrated that NADH dehydrogenase activity is necessary for growth on lactate with high potential electrodes, their study did not investigate which specific NADH dehydrogenases are used. The S. oneidensis MR-1 genome encodes four putative NADH dehydrogenases: Nuo (SO_1009 to SO_1021), Ndh (SO_3517), Nqr1 (SO_1103 to SO_1108) and Nqr2 (SO_0902 to SO_0907) (Fig. 1)16,17. Nuo couples NADH oxidation with proton translocation (4 H+/2 e−), Nqr1 and Nqr2 act as sodium-ion translocators (2 Na+/2 e−), and Ndh acts as a type II ‘uncoupling’ dehydrogenase that does not translocate ions16,17. Ion translocation by these complexes generates a membrane potential that powers flagellar motors and ATP synthesis. Therefore, energy conservation from extracellular electron transfer will differ depending on which NADH dehydrogenases are active. We recently determined that activity of either Nuo or Nqr1 is essential for aerobic growth in minimal medium18.
To follow up on our previous study and work by Hirose et al.14, we investigated the effects of deleting each NADH dehydrogenase on anaerobic respiration in S. oneidensis. We used mutant strains lacking single or multiple NADH dehydrogenases and studied their electron transfer capability in BESs under anoxic conditions18. We utilized both NAG and d,l-lactate as substrates to investigate the effect of differing levels of NADH generation on phenotypic differences between the strains. Current production, growth, and major metabolites were compared between wild-type and all mutant strains. We learned that under the conditions tested here, S. oneidensis requires either Nuo or Nqr1, the same dehydrogenases needed under aerobic conditions.
Materials and Methods
Bacterial strains and culture conditions
S. oneidensis MR-1 cultures were inoculated from colonies on lysogeny broth (LB) agar plates and grown overnight in LB at 30 °C with shaking at 275 rpm. After overnight growth, 1 mL was sub-cultured into 4 mL of fresh LB and grown for 8 hours (30 °C, 275 rpm). NADH dehydrogenase mutants of S. oneidensis MR-1 (∆nuoN, ∆ndh, ∆nqrF1, ∆nqrF2, ∆nuoN∆nqrF1, ∆nqrF2∆ndh, ∆nuoN∆ndh) were previously generated using an in-frame deletion method, and functions were confirmed via complementation studies18. Knockout mutants were confirmed by PCR using flanking primers of the target knockout region18. Strains containing the in-frame deletions of each of these dehydrogenases were grown in anodic bioelectrochemical systems with N-acetylglucosamine or d,l-lactate as the carbon source to determine impact on extracellular electron transfer.
Growth in bioelectrochemical systems
Two-chambered BESs were constructed as follows. The working and counter chambers were separated by a cation exchange membrane (Membranes International, CMI-7000S). M5 minimal medium18 was added to each working electrode chamber and 175 mL of PBS was added to each counter chamber. After autoclaving, Wolfe’s minerals and Wolfe’s vitamins19 were added to 1X concentration, riboflavin was added to 1 µM, and 20 mM d,l-lactate or 10 mM NAG were added, resulting in a final working anodic chamber volume of 160 mL. Working electrodes were constructed using carbon felt cut into 25 mm × 25 mm squares (Alfa Aesar, Part No: 43200). A segment of titanium wire (Malin Co., 0.025” titanium) was inserted through the carbon felt and sealed with carbon cement (Fluka Analytical, Part No: 09929-30 G). Carbon rods, 1/8” in diameter (Electron Microscopy Science, 07200) were used for counter electrodes. Ag/AgCl/sat’d KCl reference electrodes were prepared in house. The assembled systems were placed on a magnetic stirrer and the electrodes were connected to a potentiostat (Bio-Logic Science Instruments). The working electrode potential was set to +0.2 V vs reference and current was measured every 1 second.
Baseline current measurements were collected for 24 hours before inoculation while bubbling nitrogen gas (Airgas, purity: 99.9%) into the working chamber. Each culture was pelleted, washed once with M5 minimal medium and standardized to an OD600 equal to 1.0. The BES working chambers were inoculated to an OD600 equal to 0.01 in a final volume of 160 mL. Samples for measurement of OD600 and substrate and product concentrations were taken daily. Samples were stored at −20 °C prior to HPLC analysis. The working electrodes were removed at the end of the five day experiment for NAG and four day experiment for d,l-lactate and stored in 50 mL conical tubes at −20 °C.
Culturing S. oneidensis MR-1 with Fe(III)-NTA
M5/Fe(III)-NTA medium was prepared in 1 L volumes by preparing 450 mL of sterile 2X M5 minimal medium then adding 500 mL of filter sterilized (0.2 µm) 200 mM Fe(III)-NTA solution. The 200 mM Fe(III)-NTA medium was prepared by adding the following components to 400 mL of dH2O: 390 mM NaHCO3, 210 mM Fe(III)-NTA, 333 mM FeCl320 (Sigma Aldrich). The pH was adjusted to 6.8 using 5 M NaOH and the final volume was brought to 500 mL using dH2O. After combining the solutions, Wolfe’s minerals, Wolfe’s vitamins and 1 µM riboflavin were added. Medium and carbon sources were degassed in anaerobic chamber for five days prior to culture preparation. Cultures were inoculated to OD600 = 0.01 in a final volume of 5 mL and grown in an anaerobic chamber without shaking at 30 °C with 10 mM d,l-lactate or NAG. The cultures were sampled for reduction of Fe3+ daily by diluting 25 µL of culture with 75 µL of degassed 2 M HCl in an anaerobic chamber and storing the samples at −20 °C. Culture samples of 1 mL were taken at the beginning and end of the experiment and stored at −20 °C. NAG, lactate, and acetate concentrations were determined by HPLC as described previously18.
Measuring Fe3+ reduction
Fe2+ standards were prepared anaerobically at concentrations of 5, 10, 25, 50, 75, 100 and 125 mM. Standards and samples were diluted 1:20 in 0.5 M HCl before adding ferrozine reagent. Ferrozine reagent was prepared by adding 1 g/L ferrozine to 50 mM (11.9 g/L) HEPES and pH was adjusted to 7.021. The diluted standards and samples from each culture were added to a 96 well plate (VWR, Part No: 734-2327) in 10 µL aliquots and mixed with 190 µL of ferrozine reagent21. Absorbance was read at 562 nm (A562) in a 96-well plate reader (SpectraMax, Part No: M2)21. Standard curves were prepared by graphing concentration of Fe2+ (mM) versus A562 to convert absorbance of samples to concentrations.
Data analysis
Current, OD600, HPLC, Fe2+ and BCA protein measurements were evaluated and plotted using Rstudio using the following packages: ggplot222, reshape223, dplyr24, plyr25, and TTR26.
Results and Discussion
Presence of Nuo, Nqr1, or both is required for growth with an electrode or Fe(III)-NTA
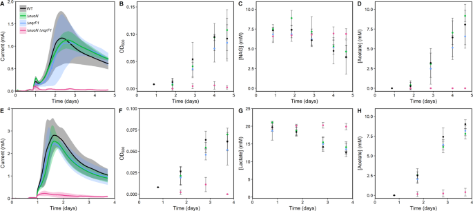
In-frame deletions of each of the four NADH dehydrogenases in S. oneidensis MR-1 were generated in a previous study (Fig. 1)18. The present study investigates single-knockouts of each NADH dehydrogenase (ΔnuoN, ΔnqrF1, ΔnqrF2 and Δndh), and a subset of the possible double knockout combinations (ΔnuoNΔnqrF1, ΔnuoNΔndh, ΔnqrF2Δndh and ΔnqrF1ΔnqrF2). The wild-type (WT) and mutant strains were grown in BESs with 10 mM NAG or 20 mM d,l-lactate and an electrode potential of +0.4 VSHE. Under these conditions, none of the single mutant strains showed a significant difference from WT in electric current production, growth, or substrate utilization (Figs 2, S1 and S2). Of the double knockout strains, only ∆nuoN∆nqrF1 performed significantly differently from WT (Figs 2, S1, S2 and S3). The ∆nuoN∆nqrF1 strain produced 35-fold less current and 11-fold less planktonic biomass than WT. The ∆nuoN∆nqrF1 strain consumed essentially no NAG and produced no acetate (Fig. 2A–D). When grown with d,l-lactate, the ∆nuoN∆nqrF1 strain produced 19-fold less current and 12-fold less planktonic biomass compared to WT without metabolizing a significant amount of d,l-lactate and producing minimal acetate by the end of the experiment (Fig. 2E–H).
Current production (A), OD600 (B),NAG metabolism (C) and acetate production (D) by WT, ∆nuoN∆nqrF1 and single mutants with 10 mM NAG as carbon source. Current production (E), OD600 (F),d,l-lactate metabolism (G) and acetate production (H) by WT, ∆nuoN∆nqrF1 and single mutants with 20 mM d,l-lactate as carbon source. Points or lines represent an average of multiple replicates and error bars represent standard deviation (n = 3).
We also conducted experiments using Fe(III)-NTA as the electron acceptor in an anaerobic chamber. Fe(III)-NTA has a redox potential of +0.587 VSHE at pH 7, similar to the electrode potential of +0.4 VSHE. Under these conditions, all single knockout strains again grew similarly to WT (Fig. 3). Only the ∆nuoN∆nqrF1 showed a significant growth defect, producing 6.4 ± 0.73 mM and 6.1 ± 0.13 mM of Fe2+ when using NAG or d,l-lactate respectively, compared 26 ± 2.2 mM Fe2+ and 88 ± 7.0 mM Fe2+ for WT, respectively (Fig. 3). The ∆nuoN∆nqrF1 strain also consumed minimal NAG or d,l-lactate during iron reduction (Fig. 3).
Reduction of Fe3+ (A) and NAG metabolism (B) by WT, ∆nuoN∆nqrF1 and single mutants with 10 mM NAG as the carbon source. Reduction of Fe3+ by (C) and d,l-lactate metabolism (D) by WT, ∆nuoN∆nqrF1 and single mutants with 10 mM d,l-lactate as the carbon source. Points represent an average of multiple replicates and error bars represent standard deviation (n = 3).
NADH dehydrogenase usage is similar between aerobic and anaerobic growth
We initially hypothesized that NADH dehydrogenase mutants would show no growth defect in BESs with d,l-lactate based on previous predictions that NADH is not an electron carrier in anaerobic lactate metabolism by S. oneidensis MR-116,17. However, we observed that either Nuo or Nqr1 was necessary for growth under these conditions. Similar to NAG results, as long as Nuo or Nqr1 is present, then electron transfer can be sustained leading to growth and current production because one can compensate for the loss of the other. However, if both are non-functional then electron transfer is nearly halted, resulting in essentially no current production or growth. Ndh and Nqr2 are not sufficient to compensate for the loss of Nuo and Nqr1. This can be explained by anaerobic Pdh activity, which generates NADH during pyruvate oxidation, as previously observed in anaerobically grown S. oneidensis MR-127. Hirose et al.14 recently observed that Pdh is transcriptionally upregulated at high electrode potentials or with high potential minerals27. We used electron acceptors with high potentials in this study (electrode at +0.4 VSHE and Fe(III)-NTA at E° = + 0.587SHE), therefore, Pdh was likely upregulated and active in our system. It appears that Pdh was the main source of NADH, rather than the TCA cycle, because most acetyl-coA was converted to acetate and excreted. We observed production of ~2.5 moles of acetate for every mole of NAG consumed (3 is the theoretical maximum), and ~1.3 moles of acetate per mole of lactate consumed (1 is the theoretical maximum).
Surprisingly, we observed that the same two NADH dehydrogenases necessary for aerobic growth, Nuo and Nqr1, were necessary for anaerobic growth with high potential electron acceptors. Duhl et al.18 observed a minor growth defect in Nuo and Nqr1 single mutants during specific aerobic growth conditions and a severe defect in the Nuo and Nqr1 double mutant strain. Additionally, the Ndh and Nqr2 single mutants did not show a growth defect under aerobic conditions. We observed the same set of phenotypes for this set of strains under anaerobic conditions when measuring electron transfer under high redox potential. There similarity in the phenotypes observed under the two conditions suggests that the same NADH dehydrogenases are functioning in both cases. Previous high-throughput fitness analysis suggested that Nqr2 and Ndh would be more important for growth under anoxic conditions18,28. However, these two complexes were not sufficient to maintain growth under the conditions tested here. Considering that oxygen is also a high-potential electron acceptor, our results suggest that regulation of the NADH dehydrogenases may be more sensitive to the redox potential of the electron acceptor rather than its specific identity. Indeed, Hirose et al.14 found that Nuo transcript levels were higher with a high-potential electrode than with a low-potential electrode. Our results confirm that Nuo is important for respiration under very similar conditions. Because Nuo is the most efficient of the four NADH dehydrogenases, its upregulation with high potential electron acceptors may allow S. oneidensis MR-1 to generate more ATP by harnessing the greater voltage gap between quinols and the terminal electron acceptor. The capability of S. oneidensis MR-1 to reshape its electron transport chain to maximize energy production with a variety of electron acceptors likely has significant impacts on its growth in different conditions.
Conclusions
We assessed the impact of NADH dehydrogenase deletions on current production, growth and metabolism in S. oneidensis MR-1. Our results suggest that Nuo and Nqr1 are both involved in electron transfer from NADH to the Mtr pathway and either Nuo or Nqr1 must be present to sustain growth with high-potential anodes or Fe(III)-NTA as the electron acceptor. When both Nuo and Nqr1 are non-functional, electron transfer is significantly diminished while as long as one is present electron transfer is comparable to WT. This signifies that Nuo and Nqr1 are the most crucial NADH dehydrogenases at high potentials. Accordingly, these results indicate that neither Nqr2 nor Ndh are sufficient to maintain electron flux to the Mtr pathway without at least Nuo or Nqr1 present to catalyze the majority of electron transfer under these conditions. This fundamental science may unlock potential applications in BESs and biosensors and facilitate understanding of electron transfer in S. oneidensis MR-1.
Data availability
All strains and data described here are available to other researchers. Requests for strains and/or data should be directed to the corresponding author.
References
Logan, B. E. et al. Microbial fuel cells: Methodology and technology. Environ. Sci. Technol. 40, 5181–5192 (2006).
TerAvest, M. A. & Ajo-Franklin, C. M. Transforming exoelectrogens for biotechnology using synthetic biology. Biotechnol. Bioeng. 113, 687–697 (2015).
Golitsch, F., Bücking, C. & Gescher, J. Proof of principle for an engineered microbial biosensor based on Shewanella oneidensis outer membrane protein complexes. Biosens. Bioelectron. 47, 285–291 (2013).
Webster, D. P. et al. An arsenic-specific biosensor with genetically engineered Shewanella oneidensis in a bioelectrochemical system. Biosens. Bioelectron. 62, 320–324 (2014).
Tao, L. et al. Improving electron trans-inner membrane movements in microbial electrocatalysts. Chem. Commun. 52, 6292–6295 (2016).
Bird, L. J. et al. Engineered living conductive biofilms as functional materials. MRS Commun. 9, 505–517 (2019).
Coursolle, D., Baron, D. B., Bond, D. R. & Gralnick, J. A. The Mtr respiratory pathway is essential for reducing flavins and electrodes in Shewanella oneidensis. J. Bacteriol. 192, 467–474 (2010).
Richardson, D. J. et al. The ‘porin–cytochrome’ model for microbe-to-mineral electron transfer. Mol. Microbiol. 85, 201–212 (2012).
Shi, L. et al. Extracellular electron transfer mechanisms between microorganisms and minerals. Nature Reviews Microbiology 14, 651–662 (2016).
Kotloski, N. J. & Gralnick, J. A. Flavin electron shuttles dominate extracellular electron transfer by Shewanella oneidensis. MBio 4, e00553–12 (2013).
Xu, S., Jangir, Y. & El-Naggar, M. Y. Disentangling the roles of free and cytochrome-bound flavins in extracellular electron transport from Shewanella oneidensis MR-1. Electrochim. Acta 198, 49–55 (2016).
Brutinel, E. & Gralnick, J. Shuttling happens: soluble flavin mediators of extracellular electron transfer in Shewanella. Appl. Microbiol. Biotechnol. 93, 41–48 (2012).
Hunt, K. A., Flynn, J. M., Naranjo, B., Shikhare, I. D. & Gralnick, J. A. Substrate-level phosphorylation is the primary source of energy conservation during anaerobic respiration of Shewanella oneidensis strain MR-1. J. Bacteriol. 192, 3345–3351 (2010).
Hirose, A. et al. Electrochemically active bacteria sense electrode potentials for regulating catabolic pathways. Nat. Commun. 9, 1083 (2018).
Gödeke, J., Binnenkade, L. & Thormann, K. M. Transcriptome analysis of early surface-associated growth of Shewanella oneidensis MR-1. PLoS One 7 (2012).
Flynn, C. M., Hunt, K. A., Gralnick, J. A. & Srienc, F. Construction and elementary mode analysis of a metabolic model for Shewanella oneidensis MR-1. BioSystems 107, 120–128 (2012).
Pinchuk, G. E. et al. Constraint-based model of Shewanella oneidensis MR-1 metabolism: A tool for data analysis and hypothesis generation. PLoS Comput. Biol. 6, 1–8 (2010).
Duhl, K. L., Tefft, N. M. & TerAvest, M. A. Shewanella oneidensis MR-1 utilizes both sodium- and proton-pumping NADH dehydrogenases during aerobic growth. Appl. Environ. Microbiol. 84, e00415–18 (2018).
Atlas, R. Handbook of Microbiological Media, Fourth Edition. Handbook of Microbiological Media, Fourth Edition, https://doi.org/10.1201/ebk1439804063 (2010).
Kieft, T. L. et al. Dissimilatory reduction of Fe(III) and other electron acceptors by a Thermus isolate. Appl. Environ. Microbiol. 65, 1214–1221 (1999).
Lovley, D. R. & Phillips, E. J. Availability of ferric iron for microbial reduction in bottom sediments of the freshwater tidal potomac river. Appl. Environ. Microbiol. 52, 751–757 (1986).
Wickham, H. ggplot2 Elegant Graphics for Data Analysis. Media 35 (2009).
Wickham, H. Reshaping data with the reshape package. J. Stat. Softw. 21, 1–20 (2007).
Wickham, H. & Francois, R. dplyr: A Grammar of Data Manipulation. R Packag. version 0.4.2. 3 (2015).
Package, T. & Wickham, H. plyr: Tools for splitting, applying and combining data. R Packag. version 0.1 9 (2014).
Ulrich, J. TTR: Technical Trading Rules. R Packag. version 0.23-2 (2017).
Pinchuk, G. E. et al. Pyruvate and lactate metabolism by Shewanella oneidensis MR-1 under fermentation, oxygen limitation, and fumarate respiration conditions. Appl. Environ. Microbiol. 77, 8234–8240 (2011).
Deutschbauer, A. et al. Evidence-based annotation of gene function in Shewanella oneidensis MR-1 using genome-wide fitness profiling across 121 conditions. PLoS Genet. 7, e1002385 (2011).
Acknowledgements
The authors thank Nicholas Tefft for assisting in bioreactor sampling and HPLC analysis, Kody Duhl for developing S. oneidensis mutants, and Dr. Magdalena Felczak for insightful questions on the project. The authors also thank Dr. Neal Hammer for helpful comments on the manuscript. Support for this work was provided by internal funding to the PI from Michigan State University, and the Richard L. Anderson Award and the Pamela Fraker Research Scholarship to Cody Madsen. The Michigan State University College of Natural Science and Department of Biochemistry and Molecular Biology also provided six research stipends to support this work. This work was also supported by the USDA National Institute of Food and Agriculture, Hatch project 1009805.
Author information
Authors and Affiliations
Contributions
C.S.M. designed and performed experiments, analyzed and interpreted data, and drafted the manuscript. M.A.T. designed the study, designed experiments, analyzed and interpreted data, and revised the manuscript.
Corresponding author
Ethics declarations
Competing interests
The authors declare no competing interests.
Additional information
Publisher’s note Springer Nature remains neutral with regard to jurisdictional claims in published maps and institutional affiliations.
Supplementary information
Rights and permissions
Open Access This article is licensed under a Creative Commons Attribution 4.0 International License, which permits use, sharing, adaptation, distribution and reproduction in any medium or format, as long as you give appropriate credit to the original author(s) and the source, provide a link to the Creative Commons license, and indicate if changes were made. The images or other third party material in this article are included in the article’s Creative Commons license, unless indicated otherwise in a credit line to the material. If material is not included in the article’s Creative Commons license and your intended use is not permitted by statutory regulation or exceeds the permitted use, you will need to obtain permission directly from the copyright holder. To view a copy of this license, visit http://creativecommons.org/licenses/by/4.0/.
About this article
Cite this article
Madsen, C.S., TerAvest, M.A. NADH dehydrogenases Nuo and Nqr1 contribute to extracellular electron transfer by Shewanella oneidensis MR-1 in bioelectrochemical systems. Sci Rep 9, 14959 (2019). https://doi.org/10.1038/s41598-019-51452-x
Received:
Accepted:
Published:
Version of record:
DOI: https://doi.org/10.1038/s41598-019-51452-x
This article is cited by
-
Energetic constraints of metal-reducing bacteria as biocatalysts for microbial electrosynthesis
Biotechnology for Biofuels and Bioproducts (2025)
-
Effects of different electron shuttles on the degradation of penoxsulam in single-chamber air microbial fuel cells
Bioprocess and Biosystems Engineering (2025)
-
Transcriptomic analysis of the response of Photobacterium phosphoreum and Photobacterium carnosum to co-contaminants on chicken meat
Archives of Microbiology (2022)
-
Repurposing INCI-registered compounds as skin prebiotics for probiotic Staphylococcus epidermidis against UV-B
Scientific Reports (2020)





