Figure 1
From: Identification and characterization of abundant repetitive sequences in Allium cepa

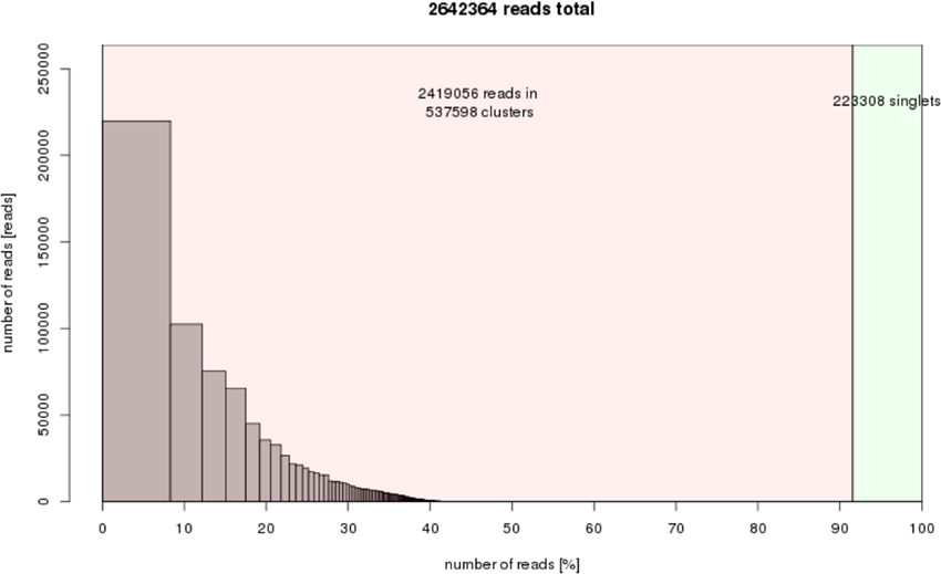
Repeat composition of clusters generated by RepeatExplorer of 2,642,364 reads (2.16% of genome coverage). And the RepeatExplorer pipeline arranged 2,419,056 reads in 537,598 clusters. The genomic proportion of these identified repeats was about 92%. X-axis: cumulative proportion of clusters of the genome. Y-axis: numbers of reads.