Abstract
Species of the genus Allium are well known for their large genomes. Allium cepa is of great economic significance. Among vegetables, it ranks second after tomato in terms of the global production value. However, there is limited genomics information available on A. cepa. In this study, we sequenced the A. cepa genome at low-coverage and annotated repetitive sequences by using a combination of next-generation sequencing (NGS) and bioinformatics tools. Nearly 92% of 16 Gb haploid onion genome were defined as repetitive sequences, organized in 162 clusters of at least 0.01 percent of the genome. Of these, a proportion representing 40.5% of the genome were further analyzed in detail to obtain an overview of representative repetitive elements present in the A. cepa genome. Few representative satellite repeats were studied by fluorescence in situ hybridization (FISH) and southern blotting. These results provided a basis for evolutionary cytogenomics within the Allium genus.
Similar content being viewed by others
Introduction
The C value, which is the DNA content in a gamete, may vary widely among closely related organisms. Large comparative analyses of the plant DNA C-value database (http://data.kew.org/cvalues/) have shown great variation in terms of genome size in plants1. Part of this variation is due to differences in the ploidy level, while the majority of the variation is based on differences in the repeats. There is a lack of correlation between genome size and complexity of eukaryotic genomes, which is called C-value paradox. The main reason for genome size variations are differences in the abundance of transposable elements (TEs), while gene numbers remain relatively constant2.
The genus Allium (Amaryllidaceae) belongs to monocotyledonous genera and includes more than 800 species, which are widely distributed over the Holarctic region from the dry subtropics to the boreal zone3. This genus includes the most common chromosome number x = 8 and other numbers (e.g., x = 7, 9, 10, 11) and a number of polyploids are characterized by a large genome size. The genome size of 30 Allium species varies from 7 pg (A. altyncolicum, 2n = 4 × = 32) to 31.5 pg (A. ursinum, 2n = 2 × = 14)4. The genus Allium is of great economic importance because it includes several important vegetable crops and ornamental species, such as A. cepa L. (onion), A. sativum (garlic), A. schoenoprasum (chives), A. wakegi (scallion), A. cepa var. aggregatum (shallot), and A. ampeloprasum var. porrum (leek). In terms of the global production value, onion ranks second after tomato. While the tomato genome is fully sequenced, little is known about the onion genome. This is partly attributed to the giant size of the onion genome (1 C = 16 Gbp), which consists of more than 95% of repetitive elements5.
An increasing number of plant genomes are fully sequenced (https://genomevolution.org/wiki/index.php/Sequenced_plant_genomes). But it is still a challenge and costly to sequence large genomes such as, that of A. cepa. Therefore, in the onion genome sequencing project (SEQUON, http://www.oniongenome.net), it is proposed to only sequence gene-rich regions combining transcriptome sequencing and enrichment of low-copy regions by removing repetitive DNAs. Until now, only reference gene sets have been revealed by transcriptome sequencing6. The study of repetitive sequences in onion has mainly focused on tandem repeats, including the 375 bp satellite sequence family7,8,9 and telomeric repeats10. Mancia et al. (2015) analyzed the distribution of rDNA, cot-1 DNA and 375 bp satellite in two A. cepa varieties by FISH9. There was no comprehensive analysis of repetitive sequences in A. cepa. Until recently, a comparative study of the repeatome on three Allium species, including onion has been performed11.
Based on advances in next-generation sequencing (NGS), de novo assembly and annotation methods, repetitive sequences can be studied effectively at reasonable costs by combining low-pass NGS12 and graph-based clustering analysis13,14. Differences in genome sizes between Arabidopsis (1 C = 150 Mb) and A. cepa (1 C = 16 Gb) are mainly due to the amplification of repetitive DNA sequences. Repetitive sequences include tandem repeats (satellites, minisatellites and microsatellites) and transposable elements (TEs)15. As in all other eukaryotes, TEs in plants are categorized as class I (retrotransposons) or class II (DNA transposons) transposons. Class I (retrotransposons) contains all TEs that transpose via an RNA intermediate in a “copy-and-paste” process. Class II DNA transposons transpose through a DNA intermediate via a “cut-and-paste” mechanism, usually maintaining a moderate copy number in the genome16. In this study, we sequenced the A. cepa genome at low-coverage, identified and characterized its most abundant repetitive sequences and determined the chromosomal localization of a few repeats.
Materials and Methods
Materials
A. cepa cv. Fuxing was obtained from Institute of Economic Crops, Hubei Academy of Agriculture Sciences, China.
DNA extraction for NGS
We collected leaves and roots from the greenhouse grown seedlings and carried out DNA extraction using a DNeasy plant mini kit from Qiagen.
NGS
A sequencing library was prepared using NEB Next® Ultra™ DNA Library Prep Kit Illumina (New England, Biolabs, Ipswich, MA, USA). Paired-end sequencing (2 × 150 bp, 350–400 bp insert size) of total genomic DNA was performed by iGeneTech Co. Ltd. (Beijing, China) on the Illumina HiSeq2500 platform on a single lane. Clean sequencing data were supplied in FASTQ format without adapters.
Repeat explorer
The RepeatExplorer pipeline14 (https://repeatexplorer-elixir.cerit-sc.cz/galaxy/) was performed to cluster NGS raw reads into groups of similar reads with default setting. Repeat clusters with genome proportions of no less than 0.01% were selected for further analysis. Repeat clusters with known protein domains can be classified by RepeatExplorer pipeline directly. Other clusters were subjected to manual analysis with similarity searches against GenBank databases (Nt and Nr) using Blastn and Blastx17 with an E-value of 1e−5.
PCR amplification, cloning, and sequencing of AceSat01–377 and AceSat02–750
Amplification of the determined repeats was performed by using specific primers (Table 1) designed by NCBI Primer blast (https://www.ncbi.nlm.nih.gov/tools/primer-blast). The PCR conditions were 98 °C 1 min, 35 cycles: 98 °C 15 s; 60 °C 15 s; 72 °C 30 s; final elongation: 72 °C 3 min. The sequences of the repeats were validated by cloning of the PCR product into pGEM-TEasy vector (Promega, Madison, WI, USA) according to manufacturer’s instruction. The individual clones were sequenced using an ABI 3130xl Genetic Analyzer. The sequences of the repeat units were submitted to NCBI GenBank (Table 1).
Chromosome preparation
The chromosomes are prepared as mentioned by He et al.18. Root tips of A. cepa cv. Fuxing were collected when they reached 0.5–1 cm. Mitosis was blocked in α- bromonaphthalene avoiding light at room temperature for 4 hours, followed by fixing in 4% (w/v) paraformaldehyde, stored at 4 °C for 40 min. After that the root tips were digested by 2% cellulase and 2% photolyase for 60 min at 37 °C. The digested root tips were homogenized in 60% acetic acid solution and dripped on glass slides. The prepared slides were dehydrated with an ethylalcohol series.
Fluorescence in situ hybridization (FISH)
pTa71 of 45 S rDNA was used in the present investigation. The repeated DNA sequences used for FISH were labelled by nick translation with RED: Texas Red-12-dUTP (Invitrogen C3176) and GREEN: Fluor 488–5-dUTP (Invitrogen C11397) FISH was performed as described18. The slides were treated in 70% formamide in 2 × saline sodium citrate (SSC) for 5 min at 90 °C. Simultaneously, 2 mg/ml probes and 1 mg/ml sheared salmon sperm DNA were pre-mixed in 2 × SSC with 10% dextran sulphate and 50% deionized formamide, denatured at 80 °C for 5 min and immediately cooled in ice water. After dehydrating and air drying, the slides were incubated in denatured hybridization solution overnight at 37 °C. Nuclei and chromosomes were stained with 4, 6- diamidino-2-phenylindole (DAPI, 0.2 mg/ml, Sigma, Deisenhofen, Germany) and observed under an Olympus BX-60 fluorescence microscope. Images obtained using a CCD monochrome camera Sensys 1401E were pseudo-colored and processed with the Metamorph imaging system (Universal Imaging Corp., PA, USA. version 4.6.3) and Adobe Photoshop 9.0 software.
Southern blotting
Genomic DNA was digested by restriction enzymes EcoRI and XbaI respectively at 37 °C for 12 h. Southern blotting was carried out using the method described by Li et al.19. Nylon transfer membranes were MILLIPORE.IMMOBILON-NY + 30 cm × 3.3 m Roll (Catalog No. INYC00010). Repeated DNA sequences used for southern blotting were labelled by nick translation with digoxin-11-dUTP (Roche, Mannheim, Germany). Hybridization was performed using the DIG High Primer DNA Labeling and Detection Starter Kit I (Cat.No.11 745 832 910, Roche Diagnostics GmbH, Germany). Detection was performed using alkaline phosphatase (AP) conjugated anti-DIG antibody (1:5000) and chemiluminescence visualization with 5-bromo-4-chloro-3-indolyl phosphate/ nitro blue tetrazolium (BCIP/NBT).
Results and Discussion
Genomic repeatome composition
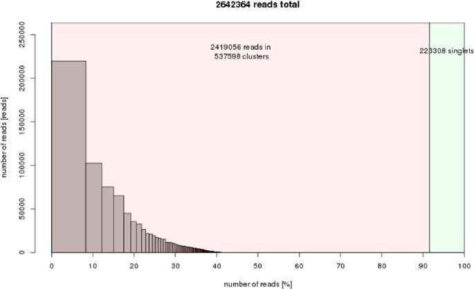
Because of its large genome size of about 16 Gbp/1 C, it is difficult to analyze the repeat composition of the whole onion genome by traditional molecular methods20. Thus, we used the latest NGS technology and RepeatExplorer computational pipeline to reveal the genome structure. A total of 15,990,607 clean paired-end reads were obtained with a length of 150 bp each. Illumina sequencing can lead to a bias at the beginning and the end of reads21. Therefore, we trimmed the 10 bp on both ends of each read. Reads with quality score > = 10 over 95% of bases without Ns were further analyzed. Only complete read pairs (interlaced reads) were used. The RepeatExplorer pipeline revealed us to use 0.01–0.5 × genome coverage reads for analysis (https://repeatexplorer-elixir.cerit-sc.cz). To maintain a balance between high sensitivity and moderate running times with the available computational resources, we decided to use 2,642,364 reads representing ca. 2.16% of the genome for clustering in RepeatExplorer pipeline. The RepeatExplorer pipeline arranged 2,419,056 reads in 537,598 clusters, and nearly 92% of the genome were found to be repetitive sequences (Fig. 1). Top 162 clusters of not less than 0.01% of the genome comprised ~40.5% of the genome. The total repeat composition is similar as previously reported5. Until now, only a few giant genomes have been analyzed for repetitive DNA composition; most of them are composed of highly heterogeneous groups with relatively low abundance of repeat-derived DNA. For example, in the Australian lungfish (Neoceratodus forsteri) genome (~50 Gbp/1 C), only 40.2% can be assigned to recognizable repetitive DNA22; in the black salamander (Aneides flavipunctatus) with a genome of ~44 Gb, less than 50% can be assigned to known TEs23. The genome size of diploid Fritillaria species varies between 30.15 and 85.38 Gb; about 42% of the genome was assigned to known TEs in F. imperialis24. Our results suggested that unlike other giant genomes, the genome of A. cepa seems to be more similar to smaller genomes because very large genomes are usually derived from massive amplification of a small number of LTR retrotransposons25. The 162 clusters of at least 0.01 percent of the genome represent together 40.5% of the genome and were further annotated (Fig. 1 and Table 2). No coding genes were found in these clusters except rDNA, mobile elements and plastid genes (ca. 1.05%). The proportion of repeat types within the A. cepa genome was shown (Table 2). The most abundant repeats are LTR-retrotransposons, including 14.227% Gypsy and 3.569% Copia elements. The genome also consists of 8.599% of low complexity repeats and 8.393% of unknown repeats, which may be due to lack of sufficient annotated sequences from close related species in public database. In addition, there were 1.912% of simple sequence repeats (4 clusters), 1.421% of satellite sequences (3 clusters), 0.581% of rDNA (1 cluster), 0.528% of DNA. CMC.EnSpm (3 clusters) and 0.22% of LINE.L1 repeats (1 cluster). There are ca. 50.049% of the tiny repeat clusters composing ca. 8 Gb DNA sequences in A. cepa, which stay undetermined due to the RepeatExplorer threshold for clustering. The question if they come from the mainstream repeats as degenerative copies or if they are unrelated to them stays to be answered. Hertweck and Bainard used de novo repeat assembly methods (MSR-CA) rather than graph-based clustering methods (RepeatExplorer) and assembled Allium fistulosum repeats by low coverage single-end reads. And annotated repeats are about 9% of the genome, which are likely underestimated26. Kiseleva et al. (2014) applied RepeatExplorer by 10,725 genome survey sequences around 1,000 bp each of A. cepa with focus on centromeric Ty3/gypsy retrotransposons27. Peška et al. (2019) analyzed repeatome of three Allium species (A. cepa, A. sativum, and A. ursinum) and defined 60% of genome of A. cepa represented by repetitive sequences 11, which is much lower than the present findings (ca. 92%). We selected 600,000 reads from A. cepa NGS data released by Peška et al. (2019) and did the co-clustering with 600,000 reads from current study. And we confirmed the difference came from these two datasets themselves rather than personal errors between different laboratories (Fig. S6). However, Peška et al. (2019) used PCR free library for NGS, while we used normal library for sequencing. In addition, the difference might be attributed to intraspecific variability caused by different cultivars used in both studies.
Repeat composition of clusters generated by RepeatExplorer of 2,642,364 reads (2.16% of genome coverage). And the RepeatExplorer pipeline arranged 2,419,056 reads in 537,598 clusters. The genomic proportion of these identified repeats was about 92%. X-axis: cumulative proportion of clusters of the genome. Y-axis: numbers of reads.
PCR amplification, cloning and sequence analysis of satellite DNAs
Tandem repetitive DNA is an important component of the repetitive sequences. According to the length of the repeat arrays and their sizes, tandem repetitive DNA sequences can be classified into three groups: (i) microsatellites with 2–5 bp repeats and an array size of the order of 10–100 units, (ii) minisatellites with 6–100 bp (usually around 15 bp) repeats and an array size of 0.5–30 kb and (iii) satellite DNA (satDNA) with a variable AT-rich repeat unit that often forms arrays up to 100 Mb, suitable as chromosome markers in FISH experiments8,28.
NGS and graph-based clustering analyses provide high-throughput tools for detecting satellite DNA28,29. As suggested by Ruiz-Ruano et al.29, the satDNA terminology should begin with species abbreviation in Repbase (e.g. Ace for Allium cepa) followed by the term “Sat”, a catalog number in order of decreasing abundance (according to the first genome analyzed), followed by consensus monomer length. Therefore, we termed two satellites as AceSat01–377 for cluster 7 (AcCL7) and AceSat02–750 for cluster 43 (AcCL43). Such satellite DNA usually showed a globula-like (AceSat01–377) or ring-like (AceSat02–750) graph30,31 (Fig. 2A). The AceSat01–377 and AceSat02–750 clusters comprised of 1.24% and 0.17% of the genome, respectively. The monomer length of satDNA sequences ranges from 150–400 bp in majority of plants and animals15. The length of the monomers for AceSat01–377 and AceSat02–750 are 377 bp and 750 bp, respectively (Table 1). These two repeats have been cloned and sequenced (GenBank accession numbers are MH017542 for AceSat01–377 and MH017541 for AceSat02–750). AceSat01–377 showed high similarity with a satellite commonly found in Allium species32 and low diversity among monomers. For AceSat02–750, BLASTn analysis revealed no significant match against National Center for Biotechnology Information (NCBI) databases (e–value = 10−5), suggesting that this might be a novel satellite repeat.
(A) The layout of AceSat01–377 and AceSat02–750 clusters from RepeatExplorer. (B) PCR amplification with primers for AceSat01–377 (1) and AceSat02–750 (2) repeats. M: marker.
PCR with AceSat01–377 and AceSat02–750 primers with genomic DNA of A. cepa resulted in ladder-like PCR products (Fig. 2B, S2 and S3), confirming the tandem organization of these repeats in A. cepa. The AceSat02–750 clone was used as a probe for southern hybridization of genomic DNA. After EcoRI and XbaI digestion, AceSat02–750 revealed a ladder-like pattern (Fig. 3 and S3B), confirming its organization in the form of tandemly repetitive sequences.
Southern blotting analysis of AceSat02–750 revealed a ladder-like pattern typical for satellite DNA. The genomic DNA was digested with EcoRI and XbaI separately.
Chromosome localization of AceSat01–377 and AceSat02–750
SatDNA sequences were located at heterochromatic regions, which appear not only at the centromeric and subtelomeric regions of the chromosomes, but also at intercalary positions. FISH with AceSat01–377, AceSat02–750 and 45 S rDNA was carried out on the metaphase chromosomes of A. cepa to investigate their chromosomal distribution (Figs 4 and 5). 45 S rDNA localized on three chromosomes (Fig. 4A and S5). In most cases in A. cepa, there are two pairs 45 S rDNA loci reported8. However, in A. cepa, two, three, or four loci of 45 S rDNA would be expected, which might be due to mobility of NOR33. The AceSat01–377 clone hybridized at sub-terminal regions at both ends of only one pair of chromosomes, and labeled only one end of rest of chromosomes except two chromosomes (Figs 4B and 5). The heterozygous signals of AceSat01–377 for each chromosome are strong enough and it is unlikely one chromosome is unlabeled while the homologous is labeled due to technique issue. In addition, the heterozygous of rDNA and repeats are reported in Allium cepa33, Vicia faba34 and many other plants. AceSat02–750 hybridized to sub-terminal regions on three pairs of chromosomes. AceSat01–377 and AceSat02–750 are co-localized on three chromosome arms (Figs 4B and 5). Peška et al. (2019) also analyzed distribution pattern of similar repeats on chromosomes by FISH11. The AcepSAT356 and AcepSAT750 are similar to present AceSat01–377 and AceSat02–750, respectively, but the differences of FISH pattern in these two studies suggested the cultivar difference of these two repeats in A. cepa. AceSat02–750 occurred distal to AceSat01–377 at one end of three chromosomes (Figs 4B and 5). Taking together, we could identify 6 out of 16 chromosomes in A. cepa combining these three probes (Fig. 5). However, we failed to get FISH signals with other candidates (Table S1). Possibly, they are clustered in small groups, which are not sufficient to yield unambiguous FISH signals.
FISH with repeats on A. cepa chromosomes. (A) 45 S rDNA (green) and AceSat02–750 (red). (B) AceSat01–377 (green) and AceSat02–750 (red). Scale bar = 10 um.
Idiograms of A. cepa chromosomes with marked localization of AceSat01–377 (yellow), AceSat02–750 (red) and 45 S rDNA (green) repeats. The chromosomes which could be identified are marked with*.
Data availability
All the data pertaining to the present study have been included in tables and/or figures in the present manuscript and the raw reads of sequencing data have been uploaded on the NCBI SRA database. The output of RepeatExplorer archive has been uploaded on the Figshare.com (https://figshare.com/s/b5adf97d66269b0369bc).
References
Leitch, A. R. & Leitch, I. J. Ecological and genetic factors linked to contrasting genome dynamics in seed plants. New Phytol. 194, 629–646 (2012).
Schnable, P. S. et al. The B73 maize genome: complexity, diversity, and dynamics. Science. 326, 1112–1115 (2009).
Fritsch, R. M. & Friesen, N. Evolution, domestication, and taxonomy. In: Rabinowitch, H. D. and Currah, L., Eds, Allium Crop Science: Recent Advances, CABI Publishing, Wallingford, U. K., pp5-30 (2002).
Ricroch, A., Yockteng, R., Brown, S. C. & Nadot, S. Evolution of genome size across some cultivated Allium species. Genome. 48, 511–520 (2005).
Flavell, R. B., Bennett, M. D., Smith, J. B. & Smith, D. B. Genome size and the proportion of repeated nucleotide sequence DNA in plants. Biochem Genet. 12, 257–269 (1974).
Kim, S., Park, J. Y. & Yang, T. J. Characterization of three active transposable elements recently inserted in three independent DFR-A alleles and one high-copy DNA transposon isolated from the pink allele of the ANS gene in onion (Allium cepa L.). Mol Genet Genomics. 290, 1027–1037 (2015).
Barnes, S. R., James, A. M. & Jamieson, G. The organisation, nucleotide sequence, and chromosomal distribution of a satellite DNA from Allium cepa. Chromosoma. 92, 185–192 (1985).
Do, G. S., Seo, B. B., Yamamoto, M., Suzuki, G. & Mukai, Y. Identification and chromosomal location of tandemly repeated DNA sequences in Allium cepa. Genes Genet. Syst. 76, 53–60 (2001).
Mancia, F. H. et al. Distribution of various types of repetitive DNAs in Allium cepa L. based on dual color FISH. Hortic. Environ. Biotechnol. 56, 793–799 (2015).
Fajkus, P. et al. Allium telomeres unmasked: the unusual telomeric sequence (CTCGGTTATGGG)n is synthesized by telomerase. Plant J. 85, 337–347 (2016).
Peška, V., Mandáková, T., Ihradská, V. & Fajkus, J. Comparative dissection of three giant genomes: Allium cepa, Allium sativum, and Allium ursinum. Int. J. Mol. Sci. 20, E733 (2019).
Kelly, L. J. & Leitch, I. J. Exploring giant plant genomes with next-generation sequencing technology. Chromosome Res. 19, 939–953 (2011).
Novák, P., Neumann, P. & Macas, J. Graph-based clustering and characterization of repetitive sequences in next-generation sequencing data. Bioinformatics. 11, 378 (2010).
Novák, P., Neumann, P., Pech, J., Steinhaisl, J. & Macas, J. RepeatExplorer: a Galaxy-based web server for genome-wide characterization of eukaryotic repetitive elements from next-generation sequence reads. Bioinformatics. 29, 792–793 (2013).
Mehrotra, S. & Goyal, V. Repetitive sequences in plant nuclear DNA: types, distribution, evolution and function. Genom Proteom Bioinf. 12, 164–171 (2014).
Wicker, T. et al. A unified classification system for eukaryotic transposable elements. Nat Rev Genet. 8, 973–982 (2007).
Altschul, S. F., Gish, W., Miller, W., Myers, E. W. & Lipman, D. J. Basic local alignment search tool. J. Mol. Biol. 215, 403–410 (1990).
He, S. B. et al. Comparative analysis of genome-wide chromosomal histone modification patterns in maize cultivars and their wild relatives. PLoS One. 9, e97364 (2014).
Li, L., Arumuganathan, K., Gill, K. S. & Song, Y. Flow sorting and microcloning of maize chromosome 1. Hereditas. 141, 55–60 (2004).
Weiss-Schneeweiss, H., Leitch, A. R., McCann, J., Jang, T. S. & Macas, J. Employing next generation sequencing to explore the repeat landscape of the plant genome. In: Hörandl, E. & Appelhans, M. S. (eds) Next-generation sequencing in plant systematics. International Association for Plant Taxonomy Publishing, Germany, pp 1–25 (2015).
Hansen, K. D., Brenner, S. E. & Dudoit, S. Biases in Illumina transcriptome sequencing caused by random hexamer priming. Nucleic Acids Res. 38, e131 (2010).
Metcalfe, C. J., Filee, J., Germon, I., Joss, J. & Casane, D. Evolution of the Australian lungfish (Neoceratodus forsteri) genome: A major role for CR1 and L2 line Elements. Mol. Biol. Evol. 29, 3529–3539 (2012).
Sun, C. et al. LTR retrotransposons contribute to genomic gigantism in plethodontid salamanders. Genome Biol. Evol. 4, 168–183 (2011).
Kelly, L. J. et al. Analysis of the giant genomes of Fritillaria (Liliaceae) indicates that a lack of DNA removal characterizes extreme expansions in genome size. New Phytol. 208, 596–607 (2015).
Bennetzen, J. L. & Wang, H. The contributions of transposable elements to the structure, function, and evolution of plant genomes. Annu. Rev. Plant Biol. 65, 505–530 (2014).
Hertweck, K. L. Assembly and comparative analysis of transposable elements from low coverage genomic sequence data in Asparagales. Genome. 56, 487–494 (2013).
Kiseleva, A. V., Kirov, I. V. & Khrustaleva, L. I. Chromosomal organization of centromeric Ty3/gypsy retrotransposons in Allium cepa L. and Allium fistulosum L. Russ J Genet. 50, 586–592 (2014).
Heckmann, S. et al. The holocentric species Luzula elegans shows interplay between centromere and large-scale genome organization. Plant J. 73, 555–565 (2013).
Ruiz-Ruano, F. J., López-León, M. D., Cabrero, J. & Camacho, J. P. M. High-throughput analysis of the satellitome illuminates satellite DNA evolution. Sci Rep. 6, 28333 (2016).
Renny-Byfield, S. et al. Independent, rapid and targeted loss of highly repetitive DNA in natural and synthetic allopolyploids of Nicotiana tabacum. PLoS One. 7, e36963 (2012).
Kirov, I. V., Kiseleva, A. V., Laere, K. V., Roy, N. V. & Khrustaleva, L. I. Tandem repeats of Allium fistulosum associated with major chromosomal landmarks. Mol Genet Genomics. 292, 453–464 (2017).
Pich, U., Fritsch, R. & Schubert, I. Closely related Allium species (Alliaceae) similar satellite sequence. PI. Syst. Evol. 202, 255–264 (1996).
Schubert, I. & Wobus, U. In situ hybridization confirms jumping nucleolus organizing regions in Allium. Chromosoma. 92, 143–148 (1985).
Ávila Robledillo, L. et al. Satellite DNA in Vicia faba is characterized by remarkable diversity in its sequence composition, association with centromeres, and replication timing. Sci Rep. 8, 5838 (2018).
Acknowledgements
This work was supported by National Natural Science Foundation of China (NSFC Nos. 31571265 and 31801026). Computational resources were provided by the ELIXIR-CZ project (LM2015047), part of the international ELIXIR infrastructure.
Author information
Authors and Affiliations
Contributions
J.F., Z.Q., L.L. conceived the project and designed this research; J.F., F.G., H.Z. performed the experiments with assistance from L.M., J.W., M.Y., L.L. and X.Z. All authors analyzed the data and discussed the results; J.F., H.Z., L.M., L.L. and Z.Q. wrote the article. All the authors have approved the manuscript.
Corresponding authors
Ethics declarations
Competing interests
The authors declare no competing interests.
Additional information
Publisher’s note Springer Nature remains neutral with regard to jurisdictional claims in published maps and institutional affiliations.
Supplementary information
Rights and permissions
Open Access This article is licensed under a Creative Commons Attribution 4.0 International License, which permits use, sharing, adaptation, distribution and reproduction in any medium or format, as long as you give appropriate credit to the original author(s) and the source, provide a link to the Creative Commons license, and indicate if changes were made. The images or other third party material in this article are included in the article’s Creative Commons license, unless indicated otherwise in a credit line to the material. If material is not included in the article’s Creative Commons license and your intended use is not permitted by statutory regulation or exceeds the permitted use, you will need to obtain permission directly from the copyright holder. To view a copy of this license, visit http://creativecommons.org/licenses/by/4.0/.
About this article
Cite this article
Fu, J., Zhang, H., Guo, F. et al. Identification and characterization of abundant repetitive sequences in Allium cepa. Sci Rep 9, 16756 (2019). https://doi.org/10.1038/s41598-019-52995-9
Received:
Accepted:
Published:
Version of record:
DOI: https://doi.org/10.1038/s41598-019-52995-9
This article is cited by
-
Consequences of polyploidy and divergence as revealed by cytogenetic mapping of tandem repeats in African clawed frogs (Xenopus, Pipidae)
European Journal of Wildlife Research (2023)
-
Chromosome-level genomes of three key Allium crops and their trait evolution
Nature Genetics (2023)
-
Genetic diversity and population structure in onion (Allium cepa L.) accessions based on morphological and molecular approaches
Physiology and Molecular Biology of Plants (2021)







