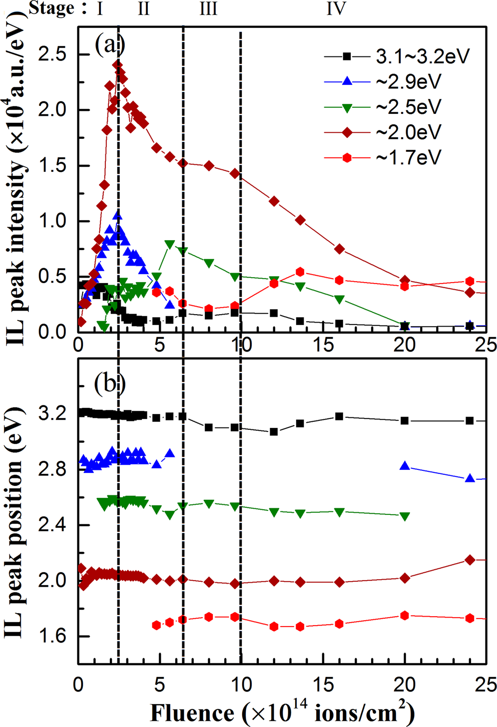
Figure 9
From: Evolution of native defects in ZnO nanorods irradiated with hydrogen ion

Evolution of (a) emission peak intensity and (b) peak energy with H+ ion fluence derived from Gaussian fitting of the IL spectra of ZnO nanorod arrays irradiated by 180 keV H+ ions.