Abstract
This work reports the study on the evolution of native defects in ZnO nanorods irradiated with hydrogen ion. ZnO nanorod arrays grown vertically on silicon substrates were irradiated by 180 keV H+ ions to a total fluence of 8.50 × 1015 ions/cm2. The X-ray diffraction spectra, photoluminescence spectra before and after irradiation and the real-time ionoluminescence spectra of the nanorod arrays during the irradiating process were measured. Formation and evolution of defects during H+ ion irradiation and effects of irradiation on the crystal structure and optical property were studied. Blue shift of exciton emission, shrink of lattice c and improvement of the crystallinity of ZnO nanorods after irradiation were observed. Simple surface passivation of the nanorods could improve the radiation resistance. Formation and evolution of the defects during H+ ion irradiation could be clarified into four stages and the related models are provided.
Similar content being viewed by others
Introduction
ZnO has a wide bandgap of 3.37 eV at room temperature and a higher exciton binding energy (60 meV), which has attracted much attention for several decades because of its potential applications in UV detectors, lasers, transparent electronics, piezo-phototronics, solar cells and so on1,2. There are various native defects in ZnO such as oxygen vacancy (VO), zinc vacancy (VZn), oxygen interstitial (Oi), Zn interstitial (Zni), Zn at VO (ZnO), O at VZn (OZn) and their pairs or complexes3,4,5,6. The as-grown ZnO usually exhibits n-type which is traditionally attributed to the native defects such as Zni, VO, ZnO and H related shallow defects3,7,8. However, the electrical behaviors and origin of the luminescence related with native defects are still in debate. Until now, difficulties still exist in the formation, evolution and control of the native defects, especially in controlling the concentration of native defects during growth under equilibrium condition6.
Ion implantation is an attractive tool for semiconductor processing such as doping and isolation, creating controllable defects through non equilibrium9,10,11. There are many reports on the effects of native defects on ZnO properties investigated by ion implantation6,7,8,9,12,13,14,15,16,17,18,19,20,21,22,23. Compared with other ion implantation, H ion implantation is still an active topic because H plays a significant role in conductivity of ZnO and it is unavoidably introduced during material growth and processing6,7. Most studies concentrate on H ion implantation effects on properties of bulk ZnO crystals7,15,16,17,18. Heinhold et al. investigated H related defects in bulk ZnO and ascribed lithium-hydrogen defect complexes LiZn-HO, AlZn-HO-LiZn, and VZn-H as donors7, while Kaida et al. attributed the shallow donors to H interstitials14. Chan et al. observed a lattices elongating of ZnO along c-axis and stabilization of H by defect complexes, such as HO and/or LiZn-OH15. They also observed a more efficient damage recovery in the samples implanted with higher dose. Empizo et al. observed a suppression of visible emission and a recovery of the photoluminescence of bulk ZnO after being irradiated with H or D ions without any treatment at room temperature16. Obviously, dynamic process of ZnO during ion implantation would affect the defect stability and the crystal properties. Thermal annealing effect of ZnO nanorod arrays during photoluminescence (PL) measurement has been reported19, indicating that the nanostructures are more sensitive to dynamic annealing. Nanorods/nanowires represent an exclusive and sensitively system for analyzing ion implantation phenomena and bring about significant changes in their properties11,24.
Nanostructures of ZnO have attracted much attention in recent years owing to their peculiar and unique properties such as larger specific surface area, more flexibility, obvious quantum effects and so on1. There are several reports on irradiation effects of ZnO microstructures and nanostructures21,25,26,27. Botsch et al. observed a persistent spin helix in H+ ion implanted Li-doped ZnO microwires21. They attributed Rashba coupling to the formation of interface in the (10\(\bar{1}\)0) plane resulted from the Li dopant which stabilize the VZn and VZn-OH complexes produced by the H+ ion implantation. Ranjith et al. observed a surface oxygen-deficiency of ZnO nanorods after irradiated by swift heavy ions24. Dee et al. observed the transformation of ZnO nanowires from wurtzite structure into a disordered amorphous structure irradiated with 70 keV H+ ions to a dose of 2 × 1017 ions/cm2, which is much lower than that in bulk ZnO25. Anyhow, evolution of defects during ion irradiation, especially at the early stage of irradiation is still unclear. Beam-induced luminescence (IL) is a valuable tool for monitoring real-time information during the irradiation, such as the pre-existing defects, the formation of trap centers and their evolution with ion fluence28,29,30,31. There are only few reports on IL spectra of a bulk ZnO single crystal irradiated by energetic ions9,13. Until now, there are seldom reports on IL spectra of ZnO nanostructures.
In this work, ZnO nanorod arrays were grown by the solution method and then irradiated with 180 keV H+ ions. Formation and evolution of defects were investigated systematically by real-time IL spectra, combined with X-ray diffraction (XRD) and photoluminescence (PL) analyses.
Results and Discussion
Irradiation effects of ZnO nanorod arrays
Figure 1 shows the surface morphology and cross-sectional SEM images of the ZnO nanorods grown on silicon substrates. High density and uniform distributed nanorods with well-defined hexagonal facets were grown vertically on the substrates. Diameters of the nanorods are from 80 to 120 nm and the length of the nanorods is about 2.40 μm measured from the cross-sectional image. The morphologies of the nanorods before and after the ion implantation are similar. The electronic energy loss (Se(E)), nuclear energy loss (Sn(E)) and the concentration of the H atoms in the ZnO nanorod layer were simulated by SRIM-TRIM (2013) code and are shown in Figure 2. The electronic energy loss of H+ ions distributes almost uniformly within 1.3 μm and nuclear energy loss is mainly distributed in a narrow region around depth of 1.5 μm. Otherwise, the electronic energy loss dominates and is much higher than that of the nuclear energy loss along most of the ion path. The ion range of H+ ion is around 1.603 μm, which is shorter than the length of the nanorods (2.40 μm), indicating that the implanted H ions would be stopped in the ZnO nanorods.
SEM images of the as-grown ZnO nanorods grown on Si substrates. (a) cross-sectional view (b) plan-view (c) enlarged plane view.
The electronic energy loss (Se), nuclear energy loss (Sn) of 180 keV H+ ions and H distribution within the ZnO nanorod layer calculated with SRIM-TRIM (2013).
To investigate the effect of H+ ion irradiation on the crystal properties of ZnO nanorods, XRD spectra of the nanorods were measured before and after irradiation. Figure 3 shows XRD patterns of the ZnO nanorods before and after H+ ion irradiation. Only (002) plane diffraction is observed, indicating that the nanorods grow along c-axis. The diffraction peak of the as-grown nanorods locates at 2θ = 34.43° with a FWHM of 0.168°, indicating that ZnO nanorods have good crystallinity. After the irradiation, the diffraction peak shifts to a higher angle of 2θ = 34.45°. Meanwhile, the diffraction intensity increases and FWHM decreases to 0.150°, which means that the irradiation results in a shrink of the lattice parameter c and improvement of the crystallinity of the nanorods. Nagar et al. observed a similar compression of lattice c in PLD deposited ZnO films27. However, Chan et al. observed a elongation of the lattice c of bulk ZnO single crystals after H+ ion implantation, but most of the strain in the deformed layers could be annealed out after heat treatment at 873~1073 K15. The implanted H+ ions lose their energy in ZnO nanorods through nuclear collisions and electronic energy loss. Nuclear collisions would result in the formation of point defects such as vacancies, interstitials, etc. by displacement of the lattice atoms, which would degenerate the nanorod crystallinity. The electronic energy loss would excite electrons and phonons, and ionize target atoms in the nanorod along their paths. Then the energy would be released in the form of heat and photons, which could result in annealing of defects and act as the excitation source for the IL spectra13. Bulk ZnO has excellent thermal conductivity. Nanorod arrays in this work stand vertically on the surface and there are separate regions between most of nanorods. The heat produced by ions could not efficiently transfer between nanorods. Under the same irradiation fluence, the temperature of the nanorod arrays would be much higher than that of the bulk ZnO. The defects produced by implantation could be annealed more efficiently in ZnO nanorod arrays than that in bulk ZnO. Otherwise, Zni and Oi produced by H+ ions are sufficiently mobile in the temperature of 290~325 K8, while VZn and VO are much stable4. The diameters of ZnO nanorods are 80~120 nm. The movable interstitials could diffuse easily to the nanorod surfaces. Then the remaining vacancies would be compensated by newly produced interstitials. H interstitials are also easy to move and the implanted H atoms could be stabilized by VZn, VO and their complex7,17,19. All this would result in a shrink of the lattice and improvement of the crystallinity of ZnO nanorods as that shown in Figure 3.
XRD patterns of ZnO nanorod arrays before and after H+ ion irradiation.
To investigate irradiation effects on the nanorod optical properties, PL spectra of the nanorods were measured before and after irradiation and are shown in Figure 4. Before irradiation, the ZnO nanorods have a strong UV emission at 3.32 eV related with exciton emissions and weak emission at 2.15 eV related with defects. After irradiation, the intensity of UV emission decreases while the intensity of defect related emission is unchanged. Meanwhile, the UV emission peak shifts to 3.36 eV. The weakening of the UV emission is mainly due to the generation of non-radiative recombination centers during the ion implantation. Wang et al. observed a blue shift of UV emission of ZnO nanowires excited by a laser with high power. They attributed it to the reduction of the built-in electric field induced by excited carriers32. However, a red shift of the UV emission was observed in ZnO nanorods grown with similar method to this work19,33. Alvi et al. observed a similar blue shift of UV emission in ZnO nanorods/p-GaN light emitting diodes irradiated by helium-ion bombardment26. They attributed the shift to compression strain in ZnO nanorods. Compression strain would result in widening of semiconductor bandgap34. In this work, compression is also observed as that shown in Figure 3. The blue shift of the UV emission in Figure 4 could be ascribed to the compression of ZnO nanorods after irradiated with H+ ions.
PL spectra of ZnO nanorods before and after H+ ion irradiation.
Evolution of the real-time IL spectra of ZnO nanorod arrays
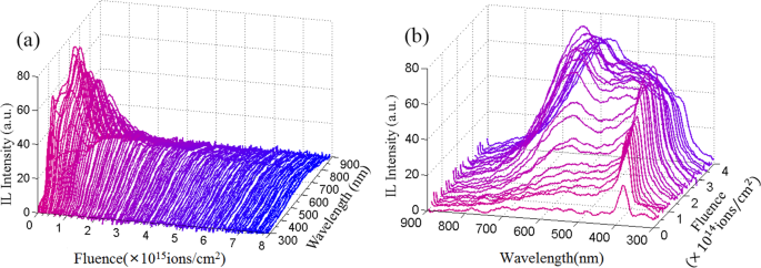
To investigate the evolution of the irradiation effects, real-time IL spectra of ZnO nanorods were collected during H+ ion implantation. The evolution of the spectra with the increasing of H+ ion fluence is shown in Figure 5(a). Both of the UV and visible emission and their relative intensity vary dramatically with the increasing of the irradiation fluence, especially at the beginning stage with the irradiation fluence lower than 2 × 1014 ions/cm2. With a further increase in H+ ion fluence, the UV emission decreases. Meanwhile, the visible emission decreases gradually. To see the variation of the emission at early stage clearly, typical spectra of ZnO nanorods irradiated with different fluence lower than 4 × 1014 ions/cm2 are shown in Figure 5(b). Primitively, only UV emission centered at 387 nm and very weak visible emission at 593 nm are observed. Once the nanorods are irradiated to a fluence of 8 × 1013 ions/cm2, both of the UV emission and visible emission enhance dramatically. Otherwise, the IL spectrum line shape changes obviously. This suggests that activation/formation and quenching/passivation of emission centers are very sensitive to H+ ion fluence at the early stage. To investigate the evolution of emission centers clearly, representative IL spectra after irradiated for different H+ ion fluences are fitted by multi-peak Gauss functions. IL spectra after irradiation for 1 s, 5 s, 10 s and 15 s, corresponding the ion fluence of 1.60 × 1013, 8.00 × 1013, 1.60 × 1014 and 2.40 × 1014 ions/cm2 are shown in Figure 6. Note that these IL spectra have been converted from wavelength space (originally in units of I(λ)dλ) to energy space (I(E)dE), which is required to represent the relative photon yields between different emission peaks. At the beginning stage of ion fluence of 1.6 × 1013 ions/cm2, only an obvious peak at 3.20 eV and a relatively weak band centered at 2.09 eV are observed. Comparing with PL spectra in Figure 4, UV emission center shifts from 3.32 to 3.20 eV. UV emission energy detected by IL spectra in bulk ZnO is around 3.22~3.26 eV, which is also lower than that detected by PL spectra and the emission has been attributed to near band edge emission12,16. IL spectra were measured during ion irradiation and the temperature of the samples would be higher than room temperature, which would result in narrowing of the bandgap and lead to a red shift of the emission. On the other hand, weak excitation during IL collection would result in the dominance of near band edge emission and vanishing of exciton emission. Emission at 2.09 eV has been ascribed to VZn cluster related transitions by Dong et al. based on positron annihilation analysis12. As the implantation fluence increases to 8.0 × 1013 ions/cm2, both of emission around 3.20 eV and 2.06 eV enhances dramatically. Meanwhile, strong broad blue emission band centered at 2.84 eV is observed (Figure 6(b)). The dramatic enhancement of light emission can be attributed to the local thermal annealing effect by the electron energy loss during the ion irradiation24, which makes the crystallinity of the nanostructures better. Notably, the blue band has not observed in the IL spectra of bulk ZnO under irradiation9,13. This indicates that the emission center at 2.84 eV is related with surface defects which is passivated after growth and excited by H+ ion irradiation. Absorption of O2 or adsorption of -OH on ZnO nanostructure surface would passivate the surface defect emission35. ZnO nanorods were grown in solution and the main reactions are as follows36:
(a) IL spectra of ZnO nanorods irradiated by 180 keV H+ to different ion fluences (b) IL spectra at the beginning stages of irradiation with ion fluence from 0 to 4.8 × 1014 ions/cm2.
Gaussian decomposition of the real-time IL spectrum of the ZnO nanorods after irradiation by 180 keV H+ ions for (a) 1 s, (b) 5 s, (c) 10 s, (d) 15 s, the corresponding H+ ions fluences are 1.6 × 1013, 8.0 × 1013, 1.6 × 1014, 2.4 × 1014 ions/cm2, respectively.
-OH bonds could easily form on the surface of the as-grown ZnO nanorods. -OH bonds could desorb at 150°C and leave Zn dangling bonds37. During H+ irradiation, the nanorods could be heated locally by energy from H+ ions, which would lead to desorption of -OH on the surface, resulting in rapid emergence of blue emission at 2.84 eV related to surface Zn dangling bonds. Meanwhile, desorption of -OH which acting as blind centers could also enhance the total emission as that shown in Fig. 6(b). With a further increase in H+ ion fluence to 1.6 × 1014 ions/cm2, a relatively weak green emission at 2.54 eV is observed in Figure 6(c). The emission center around 2.5 eV has been reported in PL spectra and is ascribed to recombination of a delocalized electron near the conduction band with the deeply trapped hole in VO16,38,39,40,41. Therefore, the green emission center around 2.54 eV could be ascribed to emission of Vo. With a continuous increase in H+ ion fluence to 2.40 × 1014 ions/cm2, all of the emissions at 2.06, 2.84 and 2.54 eV enhance except that the emission at 3.20 eV decreases as shown in Figure 6(d). The weakening of the UV emission is mainly due to the competition of the defect related luminescence. When H+ ion fluence increases continuously further, the total emission intensity weakens gradually, but the spectral shape changes as that shown in Figure 7. As the irradiated H+ ion fluence increases to 4.8 × 1014 ions/cm2, new emission centered at 1.68 eV is observed (Figure 7(a)). Emission from 1.65~1.77 eV has been reported in ZnO under ion irradiation and is ascribed to the emission related with single VZn13,42. This means that VZn clusters formed at early stage of the irradiation would decompose to single VZn under further ion irradiation. With increasing of H+ ion fluence to 6.4 × 1014 ions/cm2, the emission related with VO is enhanced obviously accompanying with the quenching of blue emission around 2.84 eV and recovery of UV emission at 3.10 eV (Figure 7(b,c)). Emissions at 3.10~3.15 eV are usually attributed to the transition from shallow defects such as Zni43, Hi16 and Ho7 to the valence band. Quenching of emission at 2.84 eV could be ascribed to the passivation of surface Zn dangling bonds by out diffused O and H interstitials produced by H+ ions, leaving more VO in the ZnO nanorods which enhances the emission around 2.5 eV. As H+ ion fluence increases further, the emission at 1.65~1.74 eV increases, while emission of VO at 2.45 eV weakens as shown in Fig. 7(d). As H+ ion fluence increases to 2.4 × 1015 ions/cm2, emission around 1.74 eV becomes dominate, accompanying with quenching of green emission and recovery of blue emission around 2.82eV (Fig. 7(e,f)). With a further increase in H+ ion fluence, the emission becomes too weak to be investigated in detail. Quenching of green emission has been attributed to the formation of VO-OH clusters in ZnO through combination of VO with H and O interstitials44. Then recovery of blue emission around 2.84 eV could be ascribed to incomplete passivation of surface Zn dangling bonds under higher H+ ion fluence.
Gaussian decomposition of the real-time IL spectrum of the ZnO nanorods after irradiation by 180 keV H+ ions for (a) 30 s, (b) 40 s, (c) 60 s, (d)125 s, (e)150 s, (f) 300 s, the corresponding H+ ions fluences are 4.8 × 1014, 6.4 × 1014, 9.6 × 1014, 1.9 × 1015, 2.4 × 1015, 4.8 × 1015 ions/cm2, respectively.
To further confirm the relation of the emission center at 2.84 eV with the nanorod surface states, some of the as-grown ZnO nanorods were passivated in 0.01M C4H7AlO5·2H2O solution and the other ones were annealed in O2 at 350 °C for 30 min, respectively. For comparison, these ZnO nanorod arrays were irradiated by 180 keV H+ under the same conditions with that of the as gown nanorods. Figure 8 show the representative IL spectra of ZnO nanorods passivated with 0.01M C4H7AlO5·2H2O solution and IL spectra of ZnO nanorods annealed in O2 separately. UV emission at 3.23 eV and weak emission at 1.88 eV and 2.26 eV are observed in surface passivated ZnO nanorods at the beginning of the irradiation (Figure 8(a)). However, as the ion fluence increased to 1.60 × 1014 ions/cm2, a sharp UV peak and a relatively weak visible emission band can be observed. Gaussian fitting indicates that the luminescence centers locate at 3.23, 3.16, 2.54, and 1.90 eV (Figure 8(c)). The emission at the beginning of the irradiation and after irradiation are much similar to that reported in ZnO bulk12, and are different from that of the as-grown ZnO nanorods (Figure 6). This means that the simple surface passivation could improve the radiation resistance of ZnO nanorods. Comparing the IL spectra of the annealed ZnO nanorods with that of unannealed or passivated ones, much stronger visible emission at 1.88 eV and weaker emission at 3.22 eV are observed at the beginning of irradiation (Figure 8(b)). The strong visible emission could be attributed to elimination of non-radiative centers and production of VZn related defects after annealing in O2 atmosphere. As the ion fluence reaches 1.60 × 1014 ions/cm2, a significant enhancement of visible emission by 5 times is observed. At the same times, a new blue emission at 2.94 eV and a green emission at 2.59 eV are observed (Figure 8(d)), which are similar to that of the as-grown ones. Appearance of blue emission in IL spectra of both the as-grown and annealed ZnO nanorods and disappearance in the ZnO nanorods passivated in C4H7AlO5·2H2O solution after irradiation further confirm that blue emission is related to the surface defects.
IL spectra of ZnO nanorods passivated in 0.01M C4H7AlO5·2H2O solution ((a,c)) and annealed in O2 at 350 °C for 20 min ((b,d)) after irradiation by 180 keV H+ ions for 1 s and 10 s, the corresponding H+ ions fluences are 1.6 × 1013 and 1.6 × 1014 ions/cm2.
Evolution model of native defects under irradiation
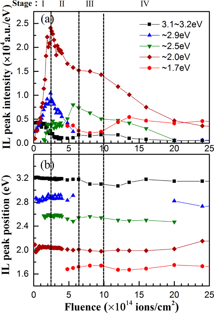
From the evolution of the IL spectra from Figure 5–8, it can be seen that the evolution of ZnO nanorod emission is very sensitive to the irradiation fluence. Activation or passivation of UV, blue, green, yellow and red emissions vary obviously with H+ ion fluence. To investigate the evolution model of native defects under irradiation, dependence of the emission peak energy and intensity on H+ ion fluence are summarized in Figure 9. According to the activation/passivation of different emission centers and variation of the emission intensity, defects evolution under H+ ions are divided into four stages as that shown in Figure 10.
Evolution of (a) emission peak intensity and (b) peak energy with H+ ion fluence derived from Gaussian fitting of the IL spectra of ZnO nanorod arrays irradiated by 180 keV H+ ions.
Schematic diagrams indicating the generation, evolution and annihilation of defects in ZnO nanorod arrays under 180 keV H+ ion beam irradiation.
Stage I: H+ ion fluence varies from 0 to 2.5 × 1014 ions/cm2. H+ ions transfer their energy to ZnO lattices through electronic energy loss process, annealing out the absorbed -OH bonded on the surfaces38 and eliminating some of blind centers. Then the light emission enhances and the surface defect emission are excited at initial stage of irradiation. Meanwhile, H+ ions transfer their energy to lattice atoms through nuclear energy loss resulting in the displacement of lattice Zn and O atoms. Displacement energy for the Zn and O atoms are 30 and 52 eV, respectively, so VZn and Zni are the main defects in the initial stage of ion implantation37. Therefore, VZn clusters are rapidly generated, and their concentration increases significantly with the increasing of H+ ion fluence, which result in a very strong emission around 2.0 eV. The emitted light intensity is enhanced dramatically by implanted H+ ions.
Stage II: H+ ion fluence varies from 2.5 to 6.4 × 1014 ions/cm2. Zni, Oi and Hi produced by H+ irradiation would diffuse to the nanorod surfaces and passivate the surface defect emission centers due to the easily migration of Zni, Oi and Hi at 290~325 K9,45. Meanwhile, VZn and VO would remain inside the nanorods due to their higher migration energy4,8. Otherwise, the migration energy of Oi is much lower than that of Zni4. Then VO concentration would increase with an increase in H+ ion fluence, while some VZn clusters would decompose into single VZn through combination with newly produced Zni. Therefore, blue emission around 2.9 eV is quenched quickly and the emission of VZn clusters round 2.0 eV would weaken, while the emission of single VZn emerges and the emission of VO are further enhanced.
Stage III: H+ ion fluence varies from 6.4 × 1014 to 1.0 × 1015 ions/cm2. Each kinds of defects remains relatively stable. During H+ ion irradiation, the existing defects would be compensated by newly produced vacancies and interstitials, thus achieving a relative dynamic balance of defect concentrations. Otherwise, the implanted H atoms could combine with VO to form HO complex impurities17 or combine with VZn to form VZn-OH clusters which passivate the green emission21. Therefore, all emissions keep relatively stable except that the green emission of Vo+ is weakened.
Stage IV: H+ ion fluence is higher than 1.0 × 1015 ions/cm2. In this stage, more vacancies and interstitials are produced. More VZn clusters would combine with newly produced Zni and decompose into isolated VZn until the concentration reaches a relative stable state. Otherwise more H atoms would combine with VO to form HO complex which would passivate green emission related with VO as shown in Figure 9 and 10. Meanwhile, the blind centers would be introduced which results in the weakening of the total light intensity.
In summary, well-aligned ZnO nanorod arrays were grown on Si substrates in aqueous solution of methenamine and zinc acetate. Then the nanorods were irradiated with 180 keV H+ ions to a total fluence of 8.0 × 1015 ions/cm2. The annealing effect during irradiation would improve the crystallinity of the nanorods. Out-diffusion of the interstitial atoms and the stabilization of H by vacancies would lead to the lattice contraction, which would induce a blue-shift of the UV emission. Evolution of the defects are very sensitive to the irradiated H+ ion fluence, especially in the beginning stage. Evolution of the defects under H+ ion irradiation could be classified into IV stages. Surface defect emission center round 2.84~2.90 eV could be activated by annealing effects of H+ ion and passivated by out diffused interstitials. Green emission of \({V}_{O}\) could be activated by H+ ion at the beginning stage of irradiation and be passivated by combination with H+ ions as the fluence is higher than 2.0 × 1015 ions/cm2. VZn clusters would form in the beginning stage of irradiation and decompose into isolated VZn under higher irradiation. Combination of the existed defects with newly produced ones could perform a relative stable stage of defects. Surface passivation of ZnO nanorods in C4H7AlO5 aqueous solution could improve the irradiation resistance of ZnO nanorods.
Experimental
Growth of ZnO nanorod arrays
The ZnO nanorod arrays were grown vertically on Si (100) substrates by the two-step method19. Typically, the substrates were cleaned in the ultrasonic bath with acetone, ethanol and deionized water, and then etched by 10% HF solution for 10 min to remove the residual oxide layer. Then 25 nm thick ZnO seed layer was deposited on the substrate by radio frequency magnetron sputtering. Then ZnO nanorod arrays were grown in aqueous solutions of 0.02M Zn(CH3COO)2·2H2O and hexamethylenete-tramine (HMTA) at 95 °C for 2 h. After the growth, the substrates with ZnO nanorods were washed with deionized water, and then dried in a vacuum oven at room temperature. The passivation of ZnO nanorod arrays were performed by immerging the as-grown ZnO nanorods directly in 0.01M aluminium hydroxide acetate (C4H7AlO5·2H2O) aqueous solutions for 10 s. Then the nanorods were dried at 75 °C for 5 min. To adjust the shell thickness, the dipping and drying processes were also repeated for 3 times. The annealing process for ZnO nanorod arrays was carried out in oxygen atmosphere with O2 flow of 300 sccm at 350 °C for 30 min.
Irradiation and collection of IL spectra of ZnO nanorod arrays
The ZnO nanorod arrays were irradiated by 180 keV H+ with a BNU 400 keV Ion Implanter. The total irradiation fluence is 8 × 1015 ions/cm2 and the ion flux was 8.02 × 1013 ions/cm2. During H+ ion irradiation, real-time IL spectra were recorded in a chamber with a base pressure of 5 × 10−4 Pa connected to the ion implanter. The sample was set in the center of the stage and irradiated continually by 180 keV H+ ion beam with an incident angle of 15° with the sample normal direction. The ion beam with a quadrate spot size of 40 × 40 mm2 could cover the whole nanorods. A silica lens and an optical fiber were placed at an angle of 32° from the incident H+ beam direction to collect the luminescence of IL spectra.
Characterization of the nanorods before and after irradiation
Surface morphologies and cross sectional images of ZnO nanorods were observed by a field emission scanning electron microscope (FESEM, HITACHI S-4800). The X-ray diffractometer (SHIMADZU XRD-6000) with a Cu Kα radiation was used to investigate the crystal structures of all samples. Photoluminescence (PL) spectra were acquired by a Jobin-Yvon micro-Raman spectrometer using a 325 nm He-Cd laser as an excitation source.
References
Fan, F. R., Tang, W. & Wang, Z. L. Flexible Nanogenerators for Energy Harvesting and Self-Powered Electronics. Advanced Materials 28, 4283–4305, https://doi.org/10.1002/adma.201504299 (2016).
Ong, C. B., Ng, L. Y. & Mohammad, A. W. A review of ZnO nanoparticles as solar photocatalysts: Synthesis, mechanisms and applications. Renewable and Sustainable Energy Reviews 81, 536–551, https://doi.org/10.1016/j.rser.2017.08.020 (2018).
Vidya, R. et al. Energetics of intrinsic defects and their complexes in ZnO investigated by density functional calculations. Physical Review B 83, https://doi.org/10.1103/PhysRevB.83.045206 (2011).
Janotti, A. & Van de Walle, C.G. Native point defects in ZnO. Physical Review B 76, https://doi.org/10.1103/PhysRevB.76.165202 (2007).
Oba, F., Togo, A., Tanaka, I., Paier, J. & Kresse, G. Defect energetics in ZnO: A hybrid Hartree-Fock density functional study. Physical Review B 77, https://doi.org/10.1103/PhysRevB.77.245202 (2008).
Tang, K. et al. Recent progress of the native defects and p-type doping of zinc oxide. Chinese Physics B 26, https://doi.org/10.1088/1674-1056/26/4/047702 (2017).
Heinhold, R. et al. Hydrogen-related excitons and their excited-state transitions in ZnO. Physical Review B 95, https://doi.org/10.1103/PhysRevB.95.054120 (2017).
Bhoodoo, C., Hupfer, A., Vines, L., Monakhov, E. V. & Svensson, B. G. Evolution kinetics of elementary point defects in ZnO implanted with low fluences of helium at cryogenic temperature. Physical Review B 94, https://doi.org/10.1103/PhysRevB.94.205204 (2016).
Epie, E. N. & Chu, W. K. Ionoluminescence study of Zn− and O− implanted ZnO crystals: An additional perspective. Applied Surface Science 371, 28–34, https://doi.org/10.1016/j.apsusc.2016.02.174 (2016).
Li, W. Q. et al. A Review of Recent Applications of Ion Beam Techniques on Nanomaterial Surface Modification: Design of Nanostructures and Energy Harvesting. Small 15, e1901820, https://doi.org/10.1002/smll.201901820 (2019).
Song, X. Y. et al. The Midas Touch Transformation of TiO2 Nanowire Arrays during Visible Light Photoelectrochemical Performance by Carbon Nitrogen Co-implantation. Advanced Energy Materials 8, 1800165, https://doi.org/10.1002/aenm.201800165 (2018).
Dong, Y., Tuomisto, F., Svensson, B. G., Kuznetsov, A. Y. & Brillson, L. J. Vacancy defect and defect cluster energetics in ion-implanted ZnO. Physical Review B 81, https://doi.org/10.1103/PhysRevB.81.081201 (2010).
Zheng, L. et al. Ionoluminescence Spectra of a ZnO Single Crystal Irradiated with 2.5 MeV H+ Ions. Chinese Physics Letters 34, https://doi.org/10.1088/0256-307x/34/8/087801 (2017).
Kaida, T. et al. Hydrogen interstitial in H-ion implanted ZnO bulk single crystals: Evaluation by elastic recoil detection analysis and electron paramagnetic resonance. Nuclear Instruments and Methods in Physics Research Section B: Beam Interactions with Materials and Atoms 365, 171–174, https://doi.org/10.1016/j.nimb.2015.07.014 (2015).
Chan, K. S. et al. Defect formation and thermal stability of H in high dose H implanted ZnO. Journal of Applied Physics 114, 083111, https://doi.org/10.1063/1.4819216 (2013).
Empizo, M. J. F. et al. Optical damage assessment and recovery investigation of hydrogen-ion and deuterium-ion plasma-irradiated bulk ZnO single crystals. Journal of Applied Physics 121, 175102, https://doi.org/10.1063/1.4982346 (2017).
Azarov, A., Rauwel, P., Hallén, A., Monakhov, E. & Svensson, B. G. Extended defects in ZnO: Efficient sinks for point defects. Applied Physics Letters 110, https://doi.org/10.1063/1.4973463 (2017).
Sarkar, A. et al. Defects in 6 MeV H+ irradiated hydrothermal ZnO single crystal. Journal of Physics-Condensed Matter 25, 385501, https://doi.org/10.1088/0953-8984/25/38/385501 (2013).
Wang, Y. H. et al. Enormous enhancement of ZnO nanorod photoluminescence. Journal of Luminescence 132, 1885–1889, https://doi.org/10.1016/j.jlumin.2012.03.017 (2012).
Narula, C. & Chauhan, R. P. Proton implantation effect on CdSe nanowires. Journal of Materials Science: Materials in Electronics 28, 3175–3184, https://doi.org/10.1007/s10854-016-5906-2 (2016).
Botsch, L., Lorite, I., Kumar, Y. & Esquinazi, P. Indirect experimental evidence of a persistent spin helix in H+ implanted Li-doped ZnO by photogalvanic spectroscopy. Physical Review B 95, https://doi.org/10.1103/PhysRevB.95.201405 (2017).
Azarov, A. Y. et al. Effect of implanted species on thermal evolution of ion-induced defects in ZnO. Journal of Applied Physics 115, https://doi.org/10.1063/1.4866055 (2014).
Song, Y. et al. Microstructure property study of ZnO single crystal irradiated with 200 MeV 86 Kr17+ ions. Materials Research Express 6, https://doi.org/10.1088/2053-1591/aaed1d (2018).
Ranjith, K. S. et al. Robust water repellent ZnO nanorod array by Swift Heavy Ion Irradiation: Effect of Electronic Excitation Induced Local Chemical State Modification. Scitific Reports 7, 3251, https://doi.org/10.1038/s41598-017-03313-8 (2017).
Dee, C. F., Ahmad, I., Yan, L., Zhou, X. & Majlis, B. Y. Amorphization of ZnO Nanowires By Proton Beam Irradiation. Nano 06, 259–263, https://doi.org/10.1142/s1793292011002524 (2011).
Alvi, N. U., Hussain, S., Jensen, J., Nur, O. & Willander, M. Influence of helium-ion bombardment on the optical properties of ZnO nanorods/p-GaN light-emitting diodes. 6, 628, https://doi.org/10.1186/1556-276X-6-628 (2011).
Nagar, S., Gupta, S. K. & Chakrabarti, S. Increased photoluminescence of hydrogen-implanted ZnO thin films deposited using a pulsed laser deposition technique. Journal of Luminescence 153, 307–311, https://doi.org/10.1016/j.jlumin.2014.03.052 (2014).
Vines, L., Wong-Leung, J., Jagadish, C., Monakhov, E. V. & Svensson, B. G. Ion implantation induced defects in ZnO. Physica B: Condensed Matter 407, 1481–1484, https://doi.org/10.1016/j.physb.2011.09.066 (2012).
Perillat-Merceroz, G. et al. Formation and annealing of dislocation loops induced by nitrogen implantation of ZnO. Journal of Applied Physics 109, https://doi.org/10.1063/1.3537917 (2011).
Yang, Y., Zhang, C., Su, C., Ding, Z. & Song, Y. Damage and recovery behavior of 4H-SiC implanted with He ions. Nuclear Instruments and Methods in Physics Research Section B: Beam Interactions with Materials and Atoms 449, 54–57, https://doi.org/10.1016/j.nimb.2019.04.055 (2019).
Townsend, P. D. & Wang, Y. Defect Studies Using Advances with Ion Beam Excited Luminescence. Energy Procedia 41, 64–79, https://doi.org/10.1016/j.egypro.2013.09.008 (2013).
Wang, D. D. et al. Abnormal blueshift of UV emission in single-crystalline ZnO nanowires. Journal of Luminescence 129, 996–999, https://doi.org/10.1016/j.jlumin.2009.04.012 (2009).
Dong, H. X. et al. Single-crystalline tower-like ZnO microrod UV lasers. J. Mater. Chem. C 1, 202–206, https://doi.org/10.1039/c2tc00070a (2013).
Jain, S., Willander, M. & Overstraeten, R. V. Compound Semiconductors Strained Layers and Devices. 115–157 (2009).
Tam, K. H. et al. Defects in ZnO nanorods prepared by a hydrothermal method. J Phys Chem B 110, 20865–20871, https://doi.org/10.1021/jp063239w (2006).
Yu, L., Zhang, G., Li, S., Xi, Z. & Guo, D. Fabrication of arrays of zinc oxide nanorods and nanotubes in aqueous solution under an external voltage. Journal of Crystal Growth 299, 184–188, https://doi.org/10.1016/j.jcrysgro.2006.10.237 (2007).
Lv, J., Li, C. & Liu, Y. Oxygen-deficient defects facilitate H+ radiation resistance in ZnO. physica status solidi (b) 254, https://doi.org/10.1002/pssb.201600411 (2017).
Vanheusden, K., Seager, C. H., Warren, W. L., Tallant, D. R. & Voigt, J. A. Correlation between photoluminescence and oxygen vacancies in ZnO phosphors. Applied Physics Letters 68, 403–405, https://doi.org/10.1063/1.116699 (1996).
Rajalakshmi, M. et al. Blue green and UV emitting ZnO nanoparticles synthesized through a non-aqueous route. Optical Materials 34, 1241–1245, https://doi.org/10.1016/j.optmat.2012.01.021 (2012).
Knutsen, K. E. et al. Zinc vacancy and oxygen interstitial in ZnO revealed by sequential annealing and electron irradiation. Physical Review B 86, https://doi.org/10.1103/PhysRevB.86.121203 (2012).
Azarov, A. et al. Normal and reverse defect annealing in ion implanted II-VI oxide semiconductors. Journal of Applied Physics 122, https://doi.org/10.1063/1.4997847 (2017).
Lv, Z., Zhong, Q. & Ou, M. Utilizing peroxide as precursor for the synthesis of CeO 2 /ZnO composite oxide with enhanced photocatalytic activity. Applied Surface Science 376, 91–96, https://doi.org/10.1016/j.apsusc.2016.01.280 (2016).
Khan, E. H., Weber, M. H. & McCluskey, M. D. Formation of isolated Zn vacancies in ZnO single crystals by absorption of ultraviolet radiation: a combined study using positron annihilation, photoluminescence, and mass spectroscopy. Phys Rev Lett 111, 017401, https://doi.org/10.1103/PhysRevLett.111.017401 (2013).
Agarwal, D. C. et al. Formation of self-affine nanostructures on ZnO surfaces by swift heavy ions. Journal of Applied Physics 104, https://doi.org/10.1063/1.2953177 (2008).
Hu, Y., Xue, X. & Wu, Y. Slow positron beam study of hydrogen ion implanted ZnO thin films. Radiation Physics and Chemistry 101, 20–23, https://doi.org/10.1016/j.radphyschem.2014.03.045 (2014).
Acknowledgements
Tengfei Wu and Aiji Wang contributed equally to this work. The authors acknowledge the financial support by Beijing NOVA Program (Z181100006218121) and National Natural Science Foundation of China (Grant No. 11374041)
Author information
Authors and Affiliations
Contributions
Tengfei Wu, Aiji Wang and Zilin Liu performed the experiments. Li Zheng and Guangfu Wang performed the H+ ion irradiation. Bowen Lv performed the XRD spectra collection. Zhenglong Wu performed the PL spectra collection. Tengfei Wu, Aiji Wang, Qingyun Tu and Yinshu Wang performed the data analysis and experimental planning. The project was conceived, planned and supervised by Tengfei Wu, Aiji Wang and Yinshu Wang. The manuscript was written by Tengfei Wu, Aiji Wang and Yinshu Wang. All authors reviewed the manuscript.
Corresponding author
Ethics declarations
Competing interests
The authors declare no competing interests.
Additional information
Publisher’s note Springer Nature remains neutral with regard to jurisdictional claims in published maps and institutional affiliations.
Rights and permissions
Open Access This article is licensed under a Creative Commons Attribution 4.0 International License, which permits use, sharing, adaptation, distribution and reproduction in any medium or format, as long as you give appropriate credit to the original author(s) and the source, provide a link to the Creative Commons license, and indicate if changes were made. The images or other third party material in this article are included in the article’s Creative Commons license, unless indicated otherwise in a credit line to the material. If material is not included in the article’s Creative Commons license and your intended use is not permitted by statutory regulation or exceeds the permitted use, you will need to obtain permission directly from the copyright holder. To view a copy of this license, visit http://creativecommons.org/licenses/by/4.0/.
About this article
Cite this article
Wu, T., Wang, A., Zheng, L. et al. Evolution of native defects in ZnO nanorods irradiated with hydrogen ion. Sci Rep 9, 17393 (2019). https://doi.org/10.1038/s41598-019-53951-3
Received:
Accepted:
Published:
Version of record:
DOI: https://doi.org/10.1038/s41598-019-53951-3












