Abstract
Recent research has identified a population of PD-1hiCXCR5− ‘peripheral helper’ T (Tph) cells that simulate plasma cell differentiation by interactions between IL-21 and SLAMF5. However, the alteration of circulating Tph and CD138+ B in IgA nephropathy (IgAN) remains poorly understood. Flow cytometry analysis was used to measure the frequency of circulating PD-1hiCXCR5− T cells and CD138+ B cells in 37 patients with IgAN and 23 healthy controls (HCs). Estimated glomerular filtration rate (eGFR), 24 h urinary protein and serum cytokine concentrations were measured. The percentage of different subsets of circulating PD-1hiCXCR5− T cells and CD138+ B cells were significantly higher in patients with IgAN compared to HCs. Pretreatment, the percentage of different subsets of circulating PD-1hiCXCR5− T cells and CD138+ B cells were negatively correlated with eGFR, the percentage of circulating CD138+ B cells was positively correlated with 24-h urinary protein concentration, and the percentage of circulating PD-1hiCXCR5−, CD28+ and ICOS+ T cells. Posttreatment, the percentage of different subsets of circulating PD-1hiCXCR5− T cells and CD138+ B cells and serum IL-21 concentration were significantly reduced. Different subsets of circulating PD-1hiCXCR5− T cells contribute to the progression and pathogenesis of IgAN by regulating the differentiation of CD138+ B cells through a combination of surface molecules.
Similar content being viewed by others
Introduction
IgA nephropathy (IgAN) is the most common form of glomerulonephritis (GN), affecting up to 30–45% of all patients with primary GN in Asia1,2. IgAN is a chronic progressive disease; an estimated 25–30% of patients require renal replacement therapy within 20–25 years of initial IgAN diagnosis, while 1.5% of patients with IgAN reach end-stage kidney disease (ESKD) each year3.
IgAN is characterized by deposition of IgA and IgG antibodies in the mesangium and the presence of immune complement complexes in the glomeruli2. Currently, the mechanisms underlying the pathogenesis of IgAN are unknown, but studies to-date show it to be a mutlifactorial process4,5.
T cells promote IgA production6 and mediate the course of IgAN disease. However, the roles of the different CD4+ helper T cell types in the pathogenesis of IgAN remain to be elucidated. Some evidence suggests that Th2 cytokines control the abnormal glycosylation of IgA1 in IgAN7, and other studies show a Th1 predominance8.
Recent research has identified a population of PD-1hiCXCR5− ‘peripheral helper’ T (Tph) cells that are distinct from PD-1hiCXCR5+ T follicular helper (Tfh) cells. Tph cells express Blimp1 and the inflammatory chemokine receptors CCR2, CCR5, and CX3CR1 and simulate plasma cell differentiation by interactions between IL-21 and SLAMF59,10. Tph cells support B-cell responses and antibody production in pathologically inflamed non-lymphoid tissues9. A previous study reported a high frequency of CXCR5+CD4+ Tfh cells in patients with minimal change disease11. However, information about the frequency of PD-1hiCXCR5− T cells and B cells in patients with IgAN is scarce.
In this study, we analyzed the percentage of various subsets of circulating PD-1hiCXCR5− T cells and CD138+ B cells in adults with IgAN, and investigated their potential associations with clinical parameters before and after treatment to explore the putative contribution of Tph and CD138+ B cells to IgAN.
Materials and Methods
Study subjects
Patients with IgAN identified at our institution between November 2017 and July 2018 were eligible for this study. Inclusion criteria were (1) estimated glomerular filtration rate (eGFR) <60 mL/min/1.73 m2 calculated using the revised eGFR formula12 or ratio of urinary albumin/creatinine >30 for more than 3 months; and (2) IgA-related nephrologic damage in biopsied kidney tissues, according to Lee’s grading system13. Exclusion criteria were complications (progressive IgAN, secondary IgAN, such as Henoch–Schonlein purpura, lupus nephritis, and other primary GN, pregnant or planning a pregnancy, diabetes mellitus, neoplasia, active peptic ulcer disease, viral hepatitis, or recent infection), selected according to published reports14. Age- and gender-matched healthy controls (HCs) with no history of chronic illness or recent infection were recruited from the Physical Examination Center of the same hospital.
All study subjects provided written informed consent. The experiment was approved by The Ethics Committee of First Hospital of Jilin University (Registration Number: 2017-370, Date of Registration: October 11, 2017). All methods were performed in accordance with the relevant guidelines and regulations.
Treatment and follow up
Treatment for patients with IgAN and 24-h urinary protein >1 g included pednisone (PDN, Tianyao Pharmaceuticals, Tianjin, China) 1 mg/kg/d for the first two months, gradually decreasing to a maintenance dose of 10 mg/d over the next 6 months. Benazepril (10 mg/d) or valsartan (80 mg/d, Novartis Pharma, Beijing, China) was administered to other patients.
Aspirin (100 mg/d, Bayer, Germany) or dipyridamole (100 mg/d, Yunpeng Pharmaceutical, Shanxi, China) was provided to patients with a high risk of clotting.
Patients visited the clinic monthly and were followed up for at least 8–12 weeks after the initiation of treatment.
Blood sampling
Fasting venous blood was collected from all study subjects. For patients with IgAN, blood samples were obtained at the time of kidney biopsy and after 8–12 weeks of treatment. Blood samples from HC were obtained at the same time. Peripheral blood mononuclear cells (PBMCs) were isolated with Ficoll-Paque Plus (Amersham Biosciences, Little Chalfont, UK) from one blood sample collected at each time point; the remaining blood samples were used to prepare serum.
Flow cytometry analysis
For flow cytometry analysis, PBMCs (106/tube) were stimulated with 50 ng/ml phorbol 12- myristate 13-acetate (PMA) and 1.0 mg/ml of ionomycin (Sigma, St. Louis, MO, USA) in 10% fetal bovine serum (FBS)-RPMI 1640 medium at 37 °C in a humidified incubator at 5% carbon dioxide for 2 h. Cells were cultured in the presence of 0.5 mg/mL brefeldin A (BFA, Sigma) for 4 h, harvested, stained with APC-H7-anti-CD4, BV510-anti-CD3, FITC-anti-CD154, FITC-anti-CD138, PE-Cy7-anti-CD19, PE-Cy7-anti-CD28, BV421-anti-PD1, PE-anti-ICOS and APC-anti-IL21, (BD Biosciences, San Diego, CA), washed with buffer (1 ml per tube; BD Biosciences, San Diego, CA), and centrifuged (250 × g), according to the manufacturer’s, instructions. Controls were isotype-matched antibodies. Cells were washed with PBS and subjected to flow cytometry analysis using a FACSAria II. At least 50,000 events per sample were analyzed using FlowJo software (v5.7.2)15.
ELISA for serum IL-21
Serum IL-21 concentrations were measured using human IL-21 ELISA kits (Biolegend, San Diego, CA, USA), according to the manufacturer’s instructions.
Cytometric Bead Array (CBA) analysis of serum cytokines
Serum IFN-γ, TNF-α, IL-2, IL-4, IL-10, IL-6, and IL-17A concentrations were determined by CBA16, according to the manufacturer’s instructions (BD Biosciences), with minor modifications17. Serum cytokine concentrations were quantified on a FACSAria II using the CellQuest Pro and CBA software (Becton Dickinson).
Statistical analysis
Statistical analyses were performed using GraphPad Prism version 5.01 software. Data are reported as median and range and were analyzed using the Kruskal-Wallis H non-parametric test. The relationship between variables was analyzed using Spearman’s rank correlation test. All tests were two-sided and a P-value of <0.05 was considered significant.
Results
Characteristics of the study subjects
This study included 37 patients with IgAN and 23 age- and gender-matched HCs. Demographic and clinical characteristics of the study subjects are shown in Table 1. There were no significant differences in age, gender, leukocyte and lymphocyte counts, serum uric acid, triglyceride, cholesterol, or albumin levels, or microscopic hematuria between patients with IgAN and HCs. However, 24 h urinary protein concentration was higher and eGFR was lower in patients with IgAN, suggesting that patients with IgAN had impaired kidney function.
Pre-treatment frequency of various subsets of circulating PD1hiCXCR5− T cells and CD138+ CD19+ B cells was higher in patients with IgAN compared to HCs
There was no significant difference in the percentage of circulating CD3+CD4+ T cells between patients with IgAN and HCs. However, analysis of the frequency of circulating PD1hiCXCR5− T cells indicated that the percentage of circulating PD1hiCXCR5− (p < 0.0001), CD28+PD-1hiCXCR5− (p < 0.0001), CD154+PD-1hiCXCR5− (p = 0.0068), ICOS+PD-1hiCXCR5− (p < 0.0001), and IL21+PD-1hiCXCR5− (p < 0.0001) T cells was significantly higher in patients with IgAN compared to HCs (Fig. 1B–F), and that the percentage of circulating PD1hiCXCR5− T cells was significantly higher than the percentage of circulating PD1hiCXCR5+ T cells in patients with IgAN (p < 0.0001; Fig. 1G). Furthermore, the percentage of circulating CD138+CD19+ B cells was significantly higher in patients with IgAN compared to HCs (p = 0.0200; Fig. 2B).
Flow cytometry analysis of the frequency of various subsets of PD1hiCXCR5− T cells. PBMCs from patients with IgAN and HCs were stained with anti-CD4, anti-CD3, anti-CXCR5, anti-PD-1, anti-CD28, anti-CD154, anti-ICOS, and anti-IL-21. Cells were gated on living lymphocytes and CD3+CD4+ T cells. The frequency of PD-1hiCXCR5−, PD-1hiCXCR5− CD28+, PD-1hiCXCR5−CD154+, PD-1hiCXCR5−ICOS+, and PD-1hiCXCR5−IL21+ T cells was analyzed by flow cytometry. (A) Flow cytometry analysis. (B–G) Quantitative analyses: data are representative dot plots or are expressed as the mean % of different subsets of Tph and Tfh cells in the total CD3+CD4+ T cells from individual subjects from three separate experiments. Horizontal lines represent the medians of all subjects.
Flow cytometry analysis of plasma cells. PBMCs from patients with IgAN and HCs were stained with anti-CD19, anti-CD138 antibody. Cells were gated on living lymphocytes and CD19+ B cells. (A) Flow cytometry analysis. (B) Quantitative analyses showing CD138+CD19+ B cells in individual subjects. Horizontal lines represent the medians of all subjects.
Associations between different subsets of PD1hiCXCR5− T cells, CD138+ CD19+ B cells, and clinical parameters in patients with IgAN
The percentage of circulating PD1hiCXCR5− (r = −0.5275, p = 0.0008), CD28+PD-1hiCXCR5− (r = −0.4336, p = 0.0073), CD154+PD-1hiCXCR5− (r = −0.3692, p = 0.0245), ICOS+PD-1hiCXCR5− (r = −0.3782, p = 0.0210), and IL21+PD-1hiCXCR5− (r = −0.3689, p = 0.0243) T cells and CD138+ CD19+ B cells (r = −0.4360, p = 0.0070) were negatively correlated with eGFR (Fig. 3A–F). The percentage of circulating CD138+ CD19+ B cells was positively correlated with the 24 h urinary protein concentration (r = 0.3959, p = 0.0153) (Fig. 3G). The percentage of circulating PD1hiCXCR5− (r = 0.3642, p = 0.0267), CD28+PD-1hiCXCR5− (r = 0.3689, p = 0.0243), and ICOS+PD-1hiCXCR5− (r = 0.5598, p = 0.0003) T cells were positively correlated with the percentage of CD138+ CD19+ B cells (Fig. 3H–J). The percentage of circulating PD1hiCXCR5− (r = 0.3344, p = 0.0369) and IL21+PD-1hiCXCR5− (r=0.4751, p = 0.0030) T cells were positively correlated with serum IL-21 concentrations (Fig. 3K,L). The percentage of circulating PD1hiCXCR5− T cells was positively correlated with the percentage of circulating PD1hiCXCR5+T cells (r = 0.6655, p < 0.0001; Fig. 3M).
Correlations between the frequency of various subsets of circulating PD1hiCXCR5− T cells, circulating CD138+CD19+ plasma cells, and clinical parameters in patients with IgAN. (A–F) eGFR was negatively correlated with the percentage of the different subsets of circulating PD1hiCXCR5− T cells and CD138+ B cells; (G–J) The percentage of circulating CD138+ B cells was positively correlated with 24-h urinary protein concentration and the percentage of circulating PD-1hiCXCR5−, PD-1hiCXCR5−CD28+, PD-1hiCXCR5−ICOS+ T cells; (K,L) The percentage of PD-1hiCXCR5− and PD-1hiCXCR5−IL-21+ T cells was positively correlated with serum IL-21 concentration; (M) The percentage of PD-1hiCXCR5− T cells was positively correlated with the percentage of PD-1hiCXCR5+ T cells.
Pre-treatment serum IL-4, IL-17A, IL-10, IFN-γ, and IL-21 concentrations were enhanced in patients with IgAN compared to HCs
Pretreatment serum IL-4 (p = 0.0027), IL-10 (p = 0.0002), IL-17A (p = 0.0062), IFN-γ (p = 0.0005), and IL-21 (p < 0.0001) concentrations were significantly higher in patients with IgAN compared to HCs (Fig. 4A–E)
Serum cytokine concentrations. (A–E) Serum Il-4, IL-10, IL-17A, IFN-γ and IL-21 concentrations in patients with IgAN and HCs were detected by CBA and ELISA. Data are expressed as the mean values of individual samples from three separate experiments. Horizontal lines represent the median values.
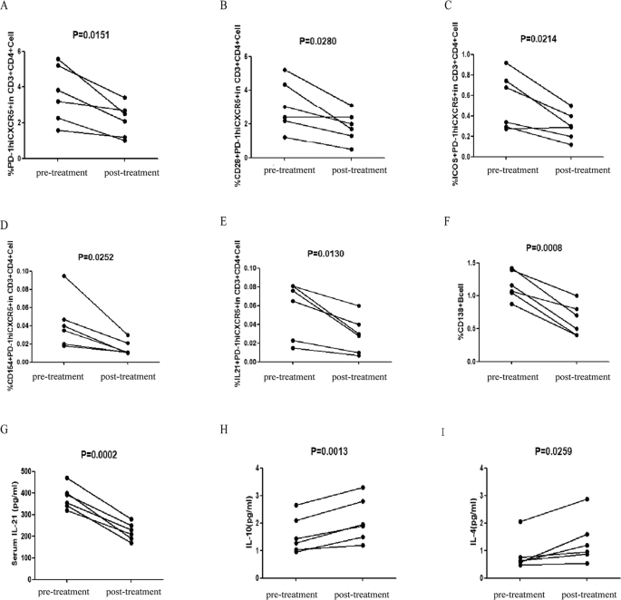
Frequency of different subsets of PD1hiCXCR5− T cells and CD138+ CD19+ B cells, serum cytokine concentrations, and clinical parameters in patients with IgAN following treatment
Six patients were followed-up for 8–12 weeks after the initiation of treatment. Among these patients, treatment resulted in a significant reduction in the percentage of circulating PD-1hiCXCR5− (p = 0.151), CD28+PD-1hiCXCR5− (p = 0.0280), CD154+PD-1hiCXCR5− (p = 0.0252), ICOS+PD-1hiCXCR5− (p = 0.0214), and IL21+PD-1hiCXCR5− (p = 0.0130) T cells, CD138+ CD19+ B cells (p = 0.0008), and serum IL-21 concentration (p = 0.0002) (Fig. 5A–G). In addition, there was a significant decrease in 24-h urinary protein concentration, but eGFR was significantly elevated (p < 0.05; Table 2). Treatment resulted in a significant increase in serum IL-10 (p = 0.0259) and IL-4 concentrations (p = 0.0013, Fig. 5H,I). There were no significant differences in the concentrators of other serum cytokines before and after treatment (data not shown).
Altered frequency of TPH cells, B cells and levels of serum cytokines in IgAN patients after treatment. The percentages of different subsets of TPH cells and the levels of serum cytokines were compared in IgAN patients before and after the treatment. Data are expressed as the mean % or concentrations of individual subjects from two separate experiments. The numbers of circulating PD-1+, CD28+, CD154+, ICOS+, IL-21+ TFH cells, CD138+CD19+ B cells and the level of serum IL-21 of individual patients in the pre- and post-treatment stages, (A–G) respectively. The levels of serum IL-4 and IL-10 of individual patients in the pre- and post-treatment stages, (H–I) respectively.
Discussion
This study described the percentage of various subsets of circulating PD-1hiCXCR5− T cells and CD138+ B cells in adults with IgAN and HCs. Findings showed that the percentage of different subsets of circulating PD-1hiCXCR5− T cells and CD138+ B cells were significantly increased in patients with IgAN compared to HCs. To understand the roles of circulating PD-1hiCXCR5− T cells and CD138+ B cells in the progression of IgAN, we investigated potential associations between the percentages of different subsets of circulating PD1hiCXCR5− T cells, CD138+ CD19+B cells, and clinical parameters in patients with IgAN. Results showed that the percentage of circulating PD1hiCXCR5−, CD28+PD-1hiCXCR5−, CD154+PD-1hiCXCR5−, ICOS+PD-1hiCXCR5−, and IL21+PD-1hiCXCR5− T cells and CD138+ CD19+ B cells were negatively correlated with eGFR. The percentage of circulating CD138+ CD19+ B cells was positively correlated with the 24 h urinary protein concentration. IgAN treatment significantly reduced the frequency of circulating PD-1hiCXCR5− T cells and CD138+ B cells. These findings support the hypothesis that different subsets of circulating PD-1hiCXCR5− T cells and CD138+ B cells contribute to the progression and pathogenesis of IgAN and show that treatment dramatically improved the clinical parameters of IgAN disease.
Evidence suggests that abnormal T- and/or B-cell expression has an important role in the pathophysiology of immune diseases. A previous report revealed that PD-1hiCXCR5− T cells secrete IL-21 and promote plasma cell differentiation, similar to PD-1hiCXCR5+ Tfh cells9. Other studies have identified a role for T- and B-cell dysregulation in the pathophysiology of autoimmune diseases18,19,20, and more specifically, kidney damage in minimal change nephropathy, systemic lupus erythematosus, and membranous nephropathy21.
Some research shows that T cells with a high expression of programmed cell death protein-1 (PD-1) have impaired cytotoxicity22,23,24,25, while other reports suggest that PD-1+T cells induce high levels of autoantibody production by activating antigen-specific autoreactive B cells and promoting the survival of long-lived plasma cells26. In the present study, the percentage of different subsets of circulating PD-1hiCXCR5− T cells and CD138+ B cells was significantly higher in patients with IgAN compared to HCs, and the percentage of circulating CD138+ B cells was positively correlated with the percentage of circulating PD1hiCXCR5−, CD28+PD-1hiCXCR5−, and ICOS+PD-1hiCXCR5− T cells. These data suggest that PD-1hiCXCR5− T cells support B-cell responses and antibody production by mechanisms that are dependent on costimulation through CD28 or includible costimulator (ICOS). Accordingly, previous studies demonstrated that CD28 is a costimulatory receptor that binds CD80 and CD86 and plays an important role in T cell-B cell interactions27, and ICOS costimulation in necessary for T cell proliferation and is involved in humoral immune responses (B cell germinal center formation)28.
IL-21 production is mostly restricted to Tfh cells, and is important for Tfh cell differentiation29. However, some evidence shows that PD-1hiCXCR5− T (Tph) cells also express and release IL-219 to recruit B cells and Tfh cells and promote the production of autoantibodies30,31. One report showed that plasma cell differentiation can be induced in vitro by Tph cells through IL-21 secretion and surface molecule interaction9. In this study, we found a positive correlation between the percentage of circulating PD-1hiCXCR5− and IL21+PD-1hiCXCR5− T cells and serum IL-21 concentrations. Most importantly, serum IL21 concentrations were significantly higher in patients with IgAN than HCs.
Corticosteroids are widely used as immunotherapy as they inhibit the T/B response and the production of cytokines. In this study, corticosteroid treatment of patients with IgAN significantly reduced the percentage of circulating PD-1hiCXCR5− T cells and CD138+ B cells, as well as serum IL-21 concentration; these findings align with those of a previous study11. Th1 cells selectively produce IFN-γ and IL-2 and increase cell-mediated immunity. Th2 cells selectively produce IL-4 and IL-10 and are responsible for antibody production. IL-17A is a characteristic cytokine of Th17 cells with a key role in the pathogenesis of chronic inflammatory diseases and autoimmune responses32. In this study, serum IL-4, IL-10, IL-17A, and IFN-γ concentrations were significantly higher in patients with IgAN compared to HCs. We speculate that Th1 responses may be involved in the mechanism of IgAN and induce anti-inflammatory Th2 cells, which feedback to down regulate proinflammatory responses during the pathogenesis of IgA. This hypothesis is consistent with previous reports33. After treatment, serum IL-10 and IL-4 concentrations were significantly increased in patients with IgAN, while the concentrations of other cytokines were unchanged. Taken together, these data suggest that pro-inflammatory Th1 and Th17 responses may be involved in the pathogenesis of IgAN and the anti-inflammatory Th2 response may predominate after corticosteroid treatment.
We recognize that our study has limitations, including a small sample size and the lack of functional investigations exploring different types of PD-1hiCXCR5− T cells and B cells. Thus, further studies in a larger population are warranted.
In conclusion, our study revealed that patients with IgAN have higher levels of circulating PD-1hiCXCR5− T cells and B cells than HCs, and the percentage of these cells is correlated with disease severity. These findings offer new insights into understanding the pathogenesis of IgAN. Furthermore, the high expression of PD-1 on Tph cells in patients with IgAN represents a potential strategy for therapeutic targeting.
References
Li, L. & Liu, Z. Epidemiologic data of renal diseases from a single unit in China: Analysis based on 13,519 renal biopsies. Kidney Int. 66, 920–923 (2004).
Wyatt, R. J. & Julian, B. A. IgA Nephropathy. N. Engl. J. Med. 368, 2402–14 (2013).
Barratt, J. & Feehally, J. IgA Nephropathy. J. Am. Soc. Nephrol. 16, 2088–97 (2005).
Suzuki, Y. & Tomino, Y. Potential Immunopathogenic Role of the Mucosa–Bone Marrow Axis in IgA Nephropathy: Insights From Animal Models. Semin. Nephrol. 28, 66–77 (2008).
Yu, H. et al. Genetics and Immunopathogenesis of IgA Nephropathy. Clin. Rev. Allerg. Immu 41, 198–213 (2011).
Chao, T. K. et al. The endogenous immune response modulates the course of IgA-immune complex mediated nephropathy. Kidney Int. 70, 283–297 (2006).
Yamada, K. et al. Down-regulation of core 1 beta 1,3-galactosyltransferase and Cosmc by Th2 cytokine alters O-glycosylation of IgA1. Nephrol. Dial. Transpl. 25, 3890–3897 (2010).
Suzuki, H. et al. Th1 polarization in murine IgA nephropathy directed by bone marrow-derived cells. Kidney Int. 72, 319–27 (2007).
Rao, D. A. et al. Pathologically expanded peripheral T helper cell subset drives B cells in rheumatoid arthritis. Nature 542, 110–114 (2017).
Crotty, S. Follicular Helper CD4 T Cells (TFH). Annu. Rev. Immunol. 29, 621–63 (2011).
Zhang, L., Wang, Y., Shi, X., Zou, H. & Jiang, Y. A higher frequency of CD4(+)CXCR5(+) T follicular helper cells in patients with newly diagnosed IgA nephropathy. Immunol. Lett. 158, 101–8 (2014).
Matsuo, S. et al. Revised Equations for Estimated GFR From Serum Creatinine in Japan. Am. J. Kidney Dis. 53, 982–92 (2009).
Lee, H. S. et al. Histological grading of IgA nephropathy predicting renal outcome: revisiting H. S. Lee’s glomerular grading system. Nephrol. Dial. Transpl. 20, 342–8 (2005).
Shi, B. et al. Serum IL-18 Is Closely Associated with Renal Tubulointerstitial Injury and Predicts Renal Prognosis in IgA Nephropathy. Mediat Inflamm 2012 (2012).
Jiang, Y. et al. Th1 and Th2 Immune Response in Chronic Hepatitis B Patients during a Long-Term Treatment with Adefovir Dipivoxil. Mediat Inflamm 2010 (2010).
Morgan, E. et al. Cytometric bead array: a multiplexed assay platform with applications in various areas of biology. Clin. Immunol. 110, 252–66 (2004).
Tarnok, A. Cytometric Bead Array to Measure Six Cytokines in Twenty-Five Microliters of Serum. Clin. Chem. 49, 1000–2 (2003).
Vergani, D. & Mieli-Vergani, G. The Impact of Autoimmunity on Hepatocytes. Semin. Liver Dis. 27, 140–51 (2007).
Simpson, N. et al. Expansion of circulating T cells resembling follicular helper T cells is a fixed phenotype that identifies a subset of severe systemic lupus erythematosus. Arthritis & Rheumatism 62, 234–44 (2010).
Bijl, M., Horst, G., Limburg, P. C. & Kallenberg, C. G. Fas expression on peripheral blood lymphocytes in systemic lupus erythematosus (SLE): relation to lymphocyte activation and disease activity. Lupus 10, 866–872 (2016).
Li, T. et al. Increased PD-1+CD154+ Tfh cells are possibly the most important functional subset of PD-1+ T follicular helper cells in adult patients with minimal change disease. Mol. Immunol. 94, 98–106 (2018).
Wherry, E. J. & Kurachi, M. Molecular and cellular insights into T cell exhaustion. Nat. Rev. Immunol. 15, 486–99 (2015).
Kamphorst, A. O. & Ahmed, R. Manipulating the PD-1 pathway to improve immunity. Curr. Opin. Immunol. 25, 381–8 (2013).
Laurent, C., Fazilleau, N. & Brousset, P. A novel subset of T-helper cells: follicular T-helper cells and their markers. Haematologica 95, 356–8 (2010).
Linterman, M. A. & Vinuesa, C. G. Signals that influence T follicular helper cell differentiation and function. Semin. Immunopathol. 32, 183–96 (2010).
Breitfeld, D. et al. Follicular B Helper T Cells Express Cxc Chemokine Receptor 5, Localize to B Cell Follicles, and Support Immunoglobulin Production. J. Of. Exp. Med. 192, 1545–52 (2000).
Esensten, J. H., Helou, Y. A., Chopra, G., Weiss, A. & Bluestone, J. A. CD28 Costimulation: From Mechanism to Therapy. Immunity 44, 973–88 (2016).
Jogdand, G. M. et al. Inducible Costimulator Expressing T Cells Promote Parasitic Growth During Blood Stage Plasmodium berghei ANKA Infection. Front Immunol 9 (2018).
Eto, D. et al. IL-21 and IL-6 Are Critical for Different Aspects of B Cell Immunity and Redundantly Induce Optimal Follicular Helper CD4 T Cell (Tfh) Differentiation. PLoS One 6, e17739 (2011).
Humby, F. et al. Ectopic Lymphoid Structures Support Ongoing Production of Class-Switched Autoantibodies in Rheumatoid Synovium. PLoS Med. 6, e1 (2009).
Shen, P. & Fillatreau, S. Antibody-independent functions of B cells: a focus on cytokines. Nat. Rev. Immunol. 15, 441–51 (2015).
Rodrigues-Díez, R. et al. IL-17A is a novel player in dialysis-induced peritoneal damage. Kidney Int. 86, 303–15 (2014).
Zhang, Z. et al., Serum Levels of Soluble ST2 and IL-10 Are Associated with Disease Severity in Patients with IgA Nephropathy. J Immunol Res 2016 (2016).
Acknowledgements
This research was funded by the National Natural Science Foundation of China (nos. 30972610, 81273240, 91742107, and 81570002), National Key Research and Development Program (nos. 2017YFC0910000 and 2017YFD0501300), Jilin Province Science and Technology Agency (nos. 20190101022JH, 2019J026, 20170622009JC, 2017C021, 2017J039, SXGJXX2017-8, JJKH20180197KJ, DBXM154-2018, and 2018SCZWSZX-015), and the Fund of the State Key Laboratory of Kidney Diseases in PLA General Hospital (No. KF-01-147).
Author information
Authors and Affiliations
Contributions
Y.J. participated in the study design and helped to draft the manuscript. T.L. and X.W. performed the statistical analysis and aided in drafting of the manuscript. J.C. and R.S. carried out the flow cytometry analysis. X.W. performed ELISA and provided writing assistance. Z.Q. participated in data acquisition. All authors have read and approved the final manuscript.
Corresponding author
Ethics declarations
Competing interests
The authors declare no competing interests.
Additional information
Publisher’s note Springer Nature remains neutral with regard to jurisdictional claims in published maps and institutional affiliations.
Rights and permissions
Open Access This article is licensed under a Creative Commons Attribution 4.0 International License, which permits use, sharing, adaptation, distribution and reproduction in any medium or format, as long as you give appropriate credit to the original author(s) and the source, provide a link to the Creative Commons license, and indicate if changes were made. The images or other third party material in this article are included in the article’s Creative Commons license, unless indicated otherwise in a credit line to the material. If material is not included in the article’s Creative Commons license and your intended use is not permitted by statutory regulation or exceeds the permitted use, you will need to obtain permission directly from the copyright holder. To view a copy of this license, visit http://creativecommons.org/licenses/by/4.0/.
About this article
Cite this article
Wang, X., Li, T., Si, R. et al. Increased frequency of PD-1hiCXCR5- T cells and B cells in patients with newly diagnosed IgA nephropathy. Sci Rep 10, 492 (2020). https://doi.org/10.1038/s41598-019-57324-8
Received:
Accepted:
Published:
Version of record:
DOI: https://doi.org/10.1038/s41598-019-57324-8
This article is cited by
-
New prognostic markers for IgA nephropathy in children
Pediatric Nephrology (2025)
-
Heterogeneity of circulating CXCR5-PD-1hiTph cells in patients of type 2 and type 1 diabetes in Chinese population
Acta Diabetologica (2023)







